Content-Based Image Retrieval Using Composite Feature Vectors with Edge Features Based on Color and Pixel Similarity

Content-Based Image Retrieval Using Composite Feature Vectors with Edge Features Based on Color and Pixel Similarity

Abdullah Orman

Department of Computer Technologies, Ankara Yıldırım Beyazıt University, Ankara 06010, Turkey

Corresponding Author Email: 
aorman@aybu.edu.tr
Page: 
1945-1952
|
DOI: 
https://doi.org/10.18280/ts.410424
Received: 
25 July 2023
|
Revised: 
2 April 2024
|
Accepted: 
17 May 2024
|
Available online: 
31 August 2024
| Citation

© 2024 The author. This article is published by IIETA and is licensed under the CC BY 4.0 license (http://creativecommons.org/licenses/by/4.0/).

OPEN ACCESS

Abstract: 

Content-based image retrieval involves searching for the desired image from an image database. It is realized using feature vectors obtained from the architectural image in question. Therefore, feature extraction is a crucial step. In this study, a novel feature vector representation method is proposed. In the proposed method, a composite feature vector is obtained by using color, edge, and gradient features. The most basic feature of the proposed method is that it uses the automatic pixel similarity approach for edge detection. The automatic pixel similarity approach offers a non-linear approach similar to the human visual system. Moreover, there is no need for any parameter or user intervention in edge detection. Additionally, the computational cost is much lower than those in many iterative non-linear edge detection approaches. In the study, experiments are carried out in the Corel-1K and Corel-10K databases, which are frequently used in image retrieval. The results of the proposed method are compared to those of 13 different methods. The superior performance of the proposed method is demonstrated. The high performance and low computational cost of the proposed method show that it can be easily implemented in many real-time image retrieval systems.

Keywords: 

content-based image retrieval, human visual system (HVS), edge-detection, pixel similarity, gradient

1. Introduction

In this study, a novel image retrieval architecture is proposed. An architecture is that handles the gradient structure and uses the automatic pixel similarity approach for edge detection is presented in the proposed method. The most important advantage of the method proposed in the study is edge detection with a non-linear edge detection algorithm that simulates the human visual system. The success of the proposed approach is compared to various current approaches. Additionally, the consistency of the experiments is ensured by using the Corel-1K and Corel-10K databases. The experimental results demonstrate the superiority of the proposed method.

1.1 Background on image retrieval

The development of Internet technologies and the increase in the use of images have made image retrieval a popular topic in recent years. High-quality images are processed in medicine, education, the military, and many other fields. Therefore, these images have led to the formation of large image databases. However, it has become a problem to find or search for the desired image in databases. Researchers have focused on the field of image retrieval to overcome this problem. Image retrieval is defined as the process of finding the desired image in an image database as quickly and accurately as possible. While the related process used to be primarily carried out by tagging the source images with textual expressions (text-based), it is now provided with feature vectors obtained from the image since labeling images with texts is a subjective approach. Additionally, the process in question requires large amounts of human labor. The process of image retrieval with feature vectors is called content-based image retrieval (CBIR). In this process, descriptors of images such as color, shape, and texture are used [1-6]. Thus, more objective and stable applications are achieved. In other words, instead of labeling images with words and different interpretations by different people, the features of the images are used.

1.2 Feature extraction and similarity measurement

A typical content-based image retrieval process consists of two stages. The first stage is the feature extraction stage, which is the most vital stage of the architecture because the ability of extracted features to represent images significantly affects the performance of CBIR systems. As a result, if the feature vectors obtained for images are not defined correctly, the performance of the systems will be low. Feature extraction methods are generally divided into global and local categories. Global methods are low-cost computation methods that work on the entire image. Local approaches, on the other hand, are techniques that take local characteristics into account. Histograms [7], color moments [8], and co-occurrence matrices [9] are commonly used global features. LBP [10], GIST [11], SIFT [12], and SURF [13] are typical techniques used for local features. The other stage is the similarity measurement stage. This is the step where feature vectors are encountered.

1.3 Color descriptors: Histograms

A histogram is among the well-known color descriptors. It is easy to compute and robust in scaling and rotation, making it an efficient feature vector. Many studies have used histograms [14-18]. However, in general, the use of histograms is an approach that neglects local features. Additionally, as the image size increases, the success of retrieval decreases. On the other hand, various approaches to computing histograms have been developed. Color structure, dominant color, color scheme, and scalable color techniques are some of these approaches [19, 20]. Due to their structure, histograms provide the gray-level distributions of all pixels in the image. However, they do not contain the coordinate information that is necessary to show the differences between a pixel and its neighbors. Therefore, there is a need to identify edge pixels and add edge information to the feature vector.

1.4 Edge detection techniques

In the literature, it is seen that the use of image features together makes the retrieval process more successful. Examples of these applications are LBP [10, 21], Texton-based [4, 22], color matching, and color difference [23] methods. The shape attribute is one of the important features for retrieval studies. However, segmentation approaches are important for shape vectors. It is a difficult problem to distinguish shapes in an image. Researchers have used key points and local features to overcome this problem [12, 24, 25]. One of the remarkable features is the edge attribute. The human visual system first detects edges, corners, or transitions in an image. Thus, many researchers benefit from edge information. Ashraf et al. designed a retrieval system using edge information. In the proposed method, image retrieval was performed in the YCbCr color space by using a Canny edge histogram and a discrete wavelet transform. The combination of an edge histogram and a discrete wavelet transform improves image retrieval performance for content-based search [26]. Another recent study was performed in the YCbCr color space, and several features were combined. In the aforementioned study, the Canny edge operator was applied to obtain shape features. An effective retrieval system was developed as a result [27]. A remarkable study using the edge operator was carried out by Yuan and Liu [28] in 2020. The aforementioned study offered an advantageous architecture as it had the power to distinguish histograms and edge information. The approach using the Sobel operator for edge information outperformed some state-of-the-art methods, including the Bow method, local binary pattern histogram, perceptual uniform descriptor, color volume histogram, and color difference histogram [28]. However, gradient-based approaches used for edge detection show linear differences between pixels. Therefore, the created feature vectors can also include small differences in calculation. On the other hand, the pixel similarity approach used in the proposed method calculates the edges non-linearly.

1.5 Pixel similarity approach

The pixel similarity approach, which is among important edge detection approaches, was developed by Demirci [29] in 2007. Demirci explained a new edge detection algorithm for color images in the algorithm he proposed. The technique proposed by Demirci has become a popular approach because it is non-linear and produces faster results than statistical edge detection models. Therefore, the pixel similarity approach has been applied to various subjects [30, 31]. Furthermore, the researchers developed upon the pixel similarity approach and automated the constant coefficient in this approach [30]. Tanyeri et al. [31] used the same approach for image filtering and obtained successful results.

The following sections of the work are organized as follows: In Section 2, automatic pixel similarity is explained in detail. Section 3 introduces the proposed CBIR architecture. Experimental Findings and Discussion are presented in Section 4. Finally, conclusions are made in Section 5.

2. Pixel Similarity-Based Automatic Edge Detection

Edge information refers to changes in the intensities of spatial coordinates. Therefore, the similarity of neighboring pixels is important. In other words, edge information represents the sudden changes between the edge pixels. Thus, edge detection in gray-level images with mathematical models such as derivatives is successfully implemented with the help of thresholding. However, the process in question is more complicated because there are 3 different color channels in color images. Demirci [29] proposed a new edge detection algorithm based on pixel similarity in 2007. The developed method reduces 3 different color channels to a one-dimensional structure. It produces successful results if the necessary parameters in the relevant technique are selected appropriately. The algorithm initially considers the similarities between the center pixel (P0) and its neighbors (P1, P2…, P7, P8). Figure 1 shows the center pixel and its neighbors. In the similarity transformation algorithm, the similarity between the center pixel and the neighbors is calculated as:

$S(P 0, P i)=e^{\frac{\|P 0-P i\|}{D n}}$      (1)

||$P 0-P i \|=\frac{1}{\sqrt{3}}\left(\Delta R^2+\Delta G^2+\Delta B^2\right)^{1 / 2}$       (2)

$\begin{aligned} & \Delta R=|R 0-R i| \\ & \Delta G=|G 0-G i| \\ & \Delta B=|B 0-B i|\end{aligned}$      (3)

||P0-Pi|| represents the normalized Euclidean distance, while Dn is the normalization coefficient. The average similarity of the 3×3 mask seen in Figure 1 is formulated as:

$S(P 0, P i)=\frac{1}{9} \sum_{i=0}^8 S(P 0, P i)$     (4)

Figure 1. 3×3 center pixel and its neighbors

Figure 2 represents a similar image obtained with different coefficients.

Figure 2. Similarity images: Cameraman a) Dn=16, b) Dn=32, c) Dn=64, d) Dn=128, e) Dn=256

Figure 3. (a) Pixel similarity image with automatic Dn coefficient, (b) Response of a human ganglion cell [32], (c) Pixel similarity graph for different da values

Incetas et al. [31] proposed an approach to automate the normalization coefficient and developed the similarity transformation approach in 2019. In their study, the Dn coefficient is calculated as:

$D n=\left(\frac{255}{d a^2+1}\right)+1$     (5)

Here, the average of the Euclidean distances between the center pixel and the neighbors is shown and is expressed as:

$d a=\frac{1}{9} \sum_{i=0}^8 d_{0, i}$       (6)

This definition allows the similarity transformation to be made automatically without the need for any user intervention. In other words, the method was made user-independent.

Figure 3 (a) shows the similarity image obtained by calculating the automatic coefficient. Thanks to the automatic pixel similarity-based edge detection approach, edge pixels can be calculated non-linearly rather than linearly like in gradient-based approaches. In gradient-based approaches, the difference between the gray-level values of pixels is directly used as an edge value. However, image edges are detected by performing non-linear calculations with the help of pixel similarity. Figure 3 (b) shows the way the human visual system perceives the gray-level change [32]. Although the gray-level change occurs linearly, the human visual system can only perceive areas where large changes occur. Similarity values for different da values, depending on the change in the difference between the gray-level values of two pixels, are also given in Figure 3 (c). The similarity between pixels is calculated not only by the differences between gray-level values but also by the averages of neighboring pixels and the differences between them. Thus, edge pixels are determined in a similar way to the human visual system.

3. Image Retrieval Using Pixel Similarity Approach

Feature extraction is the most important step in image retrieval studies. Therefore, the ability of the feature vector to represent the relevant image directly affects the success of retrieval. In a study of GSH [28], a contrasting color space was created, and the orientation selection mechanism in the relevant color space was reported. The gradient approach was used to determine the edges in the orientations. However, the Sobel operator was used to extract edge information, and the Pixel Similarity approach was used as an edge detection algorithm in the study. The pixel similarity technique is a non-linear approach that simulates the human visual system. Figure 4 shows the block diagram of the developed image retrieval architecture.

Color is the most important component of an image. HSV (hue, saturation, value), on the other hand, is a color space that helps define human color perception cylindrically. Both the HSV color space and the opponent color space [28] are used in this study. The pixel similarity approach is applied to images defined in the opponent color space. The HSV color space is reduced by uniform quantization. The $\mathrm{H}, \mathrm{S}$, and V components, which are the components of the HSV color space, are reduced to 6, 3, and 3 colors, respectively, and feature analyses are carried out. In this case, the obtained color set consists of 54 colors in total, in the form of $C_q=$ $\{0,1 \ldots, 53\}$. The density feature is obtained from the color channel V and is a vector with 16 elements, the related feature equals $I_q=\{0,1, \ldots, 15\}$. Another feature vector is the matrix containing the edge information. Similarly, edge orientation information is obtained by using pixel similarity after uniform quantization. A feature vector with 60 elements in total, including the edge orientation map $E_q=\{0,1, \ldots, 59\}$ is presented. The length of the resulting feature vector is 130. The feature vector in question is a new composite feature vector that includes color, edge orientation, and gradient structure. Gradient structures are derived from the consistency of the edges. Consistency can be expressed as the case where the edges have the same gradient value in the same direction. It is determined by a $3 \times 3$ mask for edge consistency in the gradient structure. If we assume that the center pixel in the mask is $g\left(x_0, y_0\right)$, and the neighboring pixels are $\left(x_1, y_1\right)$ and $\left(x_2, y_2\right)$, if the $g\left(x_1, y_1\right)=g\left(x_0, y_0\right)=g\left(x_2, y_2\right)$ quality is achieved after the gradient operation of the pixels, we can talk about edge consistency. In this case, the angle between the local structure and the horizontal direction is shown as $\alpha$, where, $\alpha=\left\{0^{\circ}, 45^{\circ}, 90^{\circ}, 135^{\circ}\right\}$, and this also expresses the sense of direction. Figure 5 shows an image representing edge consistency.

Figure 4. Block diagram of the proposed CBIR approach

Figure 5. Gradient structure detection: a) 3 × 3 block in the quantized edge map; b) the consistency of gradient detection; c) gradient structure, angle α = 135°

4. Experimental Results and Discussion

The success of the proposed method was compared to the results of various techniques using different metrics. The main one among these was GSH [28], while many edge detection-based techniques were also included in the comparison. Test results and comparisons were made on 2 separate datasets of 1K and 10K.

4.1 Datasets

In this study, Corel-1K, and Corel-10K, which are the most frequently used datasets in image retrieval, were used. All 1000 images in the Corel-1K dataset, which consists of 10 categories with 100 images in each, consist of 384×256 (or 256×384) pixels. In the Corel-10K image set, there are 100 categories with 100 images each. Each of the 10000 images have 192×128 (or 128×192) pixels.

4.2 Performance measures

The Precision and Recall [28, 33-35] performance metrics, which are the most frequently used metrics in CBIR studies and are common to almost all studies, were used to test the proposed method and compare it to other methods. When calculating Precision and Recall values, Eqs. (7) and (8) were used.

Precision $=\frac{N_R}{N_T}$      (7)

Recall $=\frac{N_R}{N_C}$     (8)

In the equations, NR is the number of images in the same category as the query image from the retrieved images. Nrepresents the total number of images called in the query. Nrepresents the total number of images in a category.

4.3 Distance metrics

In the tests, it was seen that the Canberra metric was more successful, especially in the Corel-1K dataset. Additionally, the Canberra metric was used in this study since it is the most frequently used metric in other studies in the literature.

4.4 CBIR performance comparisons

In Sections 4.4.1 and 4.4.2, the precision and recall values obtained using the proposed method as a result of the retrieval operation performed on the Corel-1K and Corel-10K image datasets are examined in detail and compared to various techniques in the literature.

4.4.1 Results on corel-1K dataset

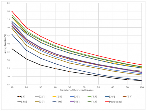
Precision and recall rates are shown for N=10, the number of images retrieved in Table 1. It is seen that the proposed method performed better. The same situation was observed when more images were called. This situation is depicted in the graph in Figure 6. It is clear based on the graph that as the number of recalled images, N, increased, the success rates of the techniques seen in the literature dropped dramatically. However, the success of the proposed method was quite high compared to the other techniques.

Table 1. Performance evaluation in Corel-1K, N=10

Method

[36]

[37]

[38]

[33]

[3]

[39]

[34]

[40]

[10]

[41]

[42]

[28]

[35]

Proposed

Precision

79.78

79.89

78.50

76.78

74.39

82.96

80.56

77.30

78.62

77.86

80.20

82.80

82.50

85.27

Recall

7.98

7.99

7.85

7.68

7.44

8.30

8.06

7.73

7.86

7.79

8.02

8.28

8.25

85.2

Figure 6. Results on the Corel-1k dataset

In addition to methods presented in a previous study [35], which are among the newest techniques, it is seen that the success rates of the techniques proposed in another study [28], which are very similar to the proposed method except that they use gradients for edge detection, decreased significantly. Another study [28] offered an effective retrieval structure. In the study, a gradient-based feature vector, which is frequently preferred in image processing approaches, was used. However, the gradient approach is a technique based on linear differences between pixels. The most important disadvantages of the gradient are its high noise sensitivity and its inaccuracy in edge detection [43-45]. Similarly, in another study [34], the Local Binary Pattern (LBP) technique was used. The Local Binary Pattern (LBP) is widely used in texture classification due to its strong capacity to extract texture features of the center pixel. However, it has disadvantages such as the neglect of some pixels containing dense texture information, the selection of a center pixel directly affecting the success of the algorithm, the fact that some uniform patterns may be distorted due to noise, and these patterns may be misclassified as non-uniform patterns [46]. On the other hand, the similarity-based approach is non-linear. It offers an effective feature vector for image access with its structure. This indicates that the proposed similarity-based edge detection method plays a major role in feature extraction.

4.4.2 Results on corel-10K dataset

In Table 2, the techniques in the literature and the precision and recall rates obtained with the proposed method for the number of images retrieved N=10 in the Corel-10k dataset are shown. It is seen that the proposed method was well-ahead in the Corel-10k dataset. In the graph, N indicates the change in the retrieval performances of the techniques. It is seen in the graph in Figure 7 that the success of the proposed method was quite high compared to other techniques as the number of called images N increased. The decrease in the success rates of other techniques was also quite dramatic, just as in Corel-1k.

Table 2. Performance evaluation on the Corel-10K, N=10

Method

[36]

[37]

[38]

[33]

[3]

[39]

[43]

[40]

[26]

[41]

[28]

[35]

Proposed

Precision

53.59

51.09

52.44

50.64

36.92

49.38

56.44

45.69

53.19

52.38

57.59

56.28

59.86

Recall

5.36

5.11

5.24

5.06

3.69

4.94

5.64

4.57

5.32

5.24

5.76

5.63

5.97

Figure 7. Results on the Corel-10k dataset

4.5 Further discussion

Although similarity-based edge detection has been used in different studies before, this study was the first to use it in image retrieval approaches. It is possible to determine edges non-linearly rather than linearly, similar to the human visual system (HVS), with the similarity-based edge detection method. Thus, instead of small changes in the gradient value, edge information in regions with more significant changes can be used for image retrieval. On the other hand, non-linear approaches often have large computational costs. Nevertheless, thanks to the simple computation process in the proposed method, the computational cost remains quite low.

Another important advantage of the proposed method is that it does not contain any parameters. This ensures that the user does not have to make any selections. For example, entering different parameters in a previously reported method [35] caused significant changes in the results. Figure 3 clearly demonstrates the difference between conventional gradient-based approaches and the proposed similarity-based method. The main reason for the success of the proposed method is that it is more compatible with the human visual system. In other words, it detects edge pixels more accurately. Another conclusion is that the feature vectors obtained through the developed technique represent the images better. This situation is proven in Tables 1 and 2. Additionally, Figures 6 and 7 provide results that are compatible with the results given in the tables.

4.6 Limitations of the proposed method

The proposed method achieved a very successful retrieval performance by simulating the HVS thanks to its non-linear edge detection feature. However, the linear measurement of these features with the help of relatively simple metrics is seen as an important obstacle to achieving higher success. It is planned to carry out further studies to increase retrieval performance by using machine learning techniques. The pixel similarity method, if equipped with the ability to learn through machine learning or artificial intelligence techniques, will have a complex and more decisive structure rather than simple calculations. Additionally, these calculations will simulate the HVS more effectively.

5. Conclusions

In this study, a new image retrieval method was presented with the help of a non-linear edge detection approach based on pixel similarity. Moreover, similarity-based edge detection was used for the first time in the field of image retrieval. Thus, unlike many studies in the literature, edges were determined non-linearly instead of using gradient-based linear approaches. Additionally, computational complexity did not increase thanks to the non-iterative, simple process used for calculating the similarity value. The results showed that pixel similarity can be used more successfully than gradient-based approaches such as Sobel. Considering the results, it is concluded that the proposed method produced approximately 3% more successful results in the Corel-1K and Corel-10K databases than the methods used in the two most recent studies. In Corel-10K, the success rates of all other methods decreased. It was expected that the success rates of the methods would decrease as the number of images increased. In future studies, it is planned to combine the obtained features with other image features with the help of machine learning and deep learning techniques, as well as classification studies in addition to CBIR.

  References

[1] Manjunath, B.S., Salembier, P., Sikora, T. (2002). Introduction to MPEG-7: Multimedia Content Description Interface. John Wiley & Sons.

[2] Manjunath, B.S., Ma, W.Y. (1996). Texture features for browsing and retrieval of image data. IEEE Transactions on Pattern Analysis and Machine Intelligence, 18(8): 837-842. https://doi.org/10.1109/34.531803

[3] Singh, C., Walia, E., Kaur, K.P. (2018). Color texture description with novel local binary patterns for effective image retrieval. Pattern Recognition, 76: 50-68. https://doi.org/10.1016/j.patcog.2017.10.021

[4] Liu, G.H., Yang, J.Y. (2008). Image retrieval based on the Texton co-occurrence matrix. Pattern Recognition, 41(12): 3521-3527. https://doi.org/10.1016/j.patcog.2008.06.010

[5] Liu, G.H. (2016). Content-based image retrieval based on Cauchy density function histogram. In 2016 12th International Conference on Natural Computation, Fuzzy Systems and Knowledge Discovery (ICNC-FSKD), Changsha, China, pp. 506-510. https://doi.org/10.1109/FSKD.2016.7603225

[6] Liu, G.H., Yang, J.Y., Li, Z. (2015). Content-based image retrieval using computational visual attention model. Pattern Recognition, 48(8): 2554-2566. https://doi.org/10.1016/j.patcog.2015.02.005

[7] Swain, M.J., Ballard, D.H. (1991). Color indexing. International Journal of Computer Vision, 7(1): 11-32. https://doi.org/10.1007/BF00130487

[8] Stricker, M.A., Orengo, M. (1995). Similarity of color images. In Storage and retrieval for image and video databases III. International Society for Optics and Photonics, 2420: 381-392.

[9] Tuceryan, M., Jain, A.K. (1993). Texture analysis. In Handbook of Pattern Recognition and Computer Vision, pp. 235-276. https://doi.org/10.1142/9789814343138_0010

[10] Ojala, T., Pietikainen, M., Maenpaa, T. (2002). Multiresolution gray-scale and rotation invariant texture classification with local binary patterns. IEEE Transactions on Pattern Analysis and Machine Intelligence, 24(7): 971-987. https://doi.org/10.1109/TPAMI.2002.1017623

[11] Oliva, A., Torralba, A. (2001). Modeling the shape of the scene: A holistic representation of the spatial envelope. International Journal of Computer Vision, 42(3): 145-175. https://doi.org/10.1023/A:1011139631724

[12] Lowe, D.G. (2004). Distinctive image features from scale-invariant keypoints. International Journal of Computer Vision, 60(2): 91-110. https://doi.org/10.1023/B:VISI.0000029664.99615.94

[13] Bay, H., Ess, A., Tuytelaars, T., Van Gool, L. (2008). Speeded-up robust features (SURF). Computer Vision and Image Understanding, 110(3): 346-359. https://doi.org/10.1016/j.cviu.2007.09.014

[14] Kiliçaslan, M., Tanyeri, U., Demirci, R. (2018). Renkli görüntüler için tek boyutlu histogram. Düzce Üniversitesi Bilim ve Teknoloji Dergisi, 6(4): 1094-1107. https://doi.org/10.29130/dubited.413822

[15] Kiliçaslan, M., Tanyeri, U., İncetaş, M.O., Girgin, B.Y., Demirci, R. (2017). Eşikleme tekniklerinin renk uzayi tabanli kümeleme yönteminin başarisina etkisi. In 1st International Symposium on Multidisciplinary Studies and Innovative Technologies Proceedings Book, 1: 1042-1057.

[16] Kiliçaslan, M., Tanyeri, U., Demirci, R. (2020). Tekrarlı ortalama yardimiyla renk indirgeme ve görüntü erişimi. Düzce Üniversitesi Bilim ve Teknoloji Dergisi, 8(1): 1042-1057. https://doi.org/10.29130/dubited.643351

[17] Kilicaslan, M., Tanyeri, U., Demirci, R. (2020). Image retrieval using one-dimensional color histogram created with entropy. Advances in Electrical & Computer Engineering, 20(2). http://doi.org/10.4316/AECE.2020.02010

[18] İncetaş, M.O., Kiliçaslan, M., Farshi, T.R. (2022). Image retrieval with SNN-based multi-level thresholding. Gümüşhane Üniversitesi Fen Bilimleri Dergisi, 98-108. https://doi.org/10.17714/gumusfenbil.1002577

[19] Manjunath, B.S., Ohm, J.R., Vasudevan, V.V., Yamada, A. (2001). Color and texture descriptors. IEEE Transactions on Circuits and Systems for Video Technology, 11(6): 703-715. https://doi.org/10.1109/76.927424

[20] Raza, A., Nawaz, T., Dawood, H., Dawood, H. (2019). Square Texton histogram features for image retrieval. Multimedia Tools and Applications, 78: 2719-2746. https://doi.org/10.1007/s11042-018-5795-x

[21] Tan, X., Triggs, B. (2010). Enhanced local texture feature sets for face recognition under difficult lighting conditions. IEEE Transactions on Image Processing, 19(6): 1635-1650. https://doi.org/10.1109/TIP.2010.2042645

[22] Liu, G.H., Zhang, L., Hou, Y.K., Li, Z.Y., Yang, J.Y. (2010). Image retrieval based on multi-Texton histogram. Pattern Recognition, 43(7): 2380-2389. https://doi.org/10.1016/j.patcog.2010.02.012

[23] Liu, G.H., Yang, J.Y. (2013). Content-based image retrieval using color difference histogram. Pattern Recognition, 46(1): 188-198. https://doi.org/10.1016/j.patcog.2012.06.001

[24] Bay, H., Tuytelaars, T., Van Gool, L. (2006). Surf: Speeded up robust features. In Computer Vision-ECCV 2006: 9th European Conference on Computer Vision, Graz, Austria, pp. 404-417. https://doi.org/10.1007/11744023_32

[25] Mikolajczyk, K., Schmid, C. (2005). A performance evaluation of local descriptors. IEEE Transactions on Pattern Analysis and Machine Intelligence, 27(10): 1615-1630. https://doi.org/10.1109/TPAMI.2005.188

[26] Ashraf, R., Ahmed, M., Jabbar, S., Khalid, S., Ahmad, A., Din, S., Jeon, G. (2018). Content based image retrieval by using color descriptor and discrete wavelet transform. Journal of Medical Systems, 42: 1-12. https://doi.org/10.1007/s10916-017-0880-7

[27] Alsmadi, M.K. (2020). Content-based image retrieval using color, shape and texture descriptors and features. Arabian Journal for Science and Engineering, 45(4): 3317-3330. https://doi.org/10.1007/s13369-020-04384-y

[28] Yuan, B.H., Liu, G.H. (2020). Image retrieval based on gradient-structures histogram. Neural Computing and Applications, 32: 11717-11727. https://doi.org/10.1007/s00521-019-04657-0

[29] Demirci, R. (2007). Similarity relation matrix-based color edge detection. AEU-international Journal of Electronics and Communications, 61(7): 469-477. https://doi.org/10.1016/j.aeue.2006.08.004

[30] Tanyeri, U., İncetaş, M.O., Demirci, R. (2016). Similarity based anisotropic diffusion filter. In 2016 24th Signal Processing and Communication Application Conference (SIU), Zonguldak, Turkey, pp. 1401-1404. https://doi.org/10.1109/SIU.2016.7496011

[31] Incetas, M.O., Demirci, R., Yavuzcan, H.G. (2019). Automatic color edge detection with similarity transformation. Gazi University Journal of Science, 32(2): 458-469.

[32] İncetaş, M.O. (2023). Image interpolation based on spiking neural network model. Applied Sciences, 13(4): 2438. https://doi.org/10.3390/app13042438

[33] Chen, Y.H., Chang, C.C., Hsu, C.Y. (2020). Content-based image retrieval using block truncation coding based on edge quantization. Connection Science, 32(4): 431-448. https://doi.org/10.1080/09540091.2020.1753174

[34] Bhunia, A.K., Bhattacharyya, A., Banerjee, P., Roy, P.P., Murala, S. (2020). A novel feature descriptor for image retrieval by combining modified color histogram and diagonally symmetric co-occurrence texture pattern. Pattern Analysis and Applications, 23: 703-723. https://doi.org/10.1007/s10044-019-00827-x

[35] Kayhan, N., Fekri-Ershad, S. (2021). Content based image retrieval based on weighted fusion of texture and color features derived from modified local binary patterns and local neighborhood difference patterns. Multimedia Tools and Applications, 80(21-23): 32763-32790. https://doi.org/10.1007/s11042-021-11217-z

[36] Haralick, R.M., Shanmugam, K., Dinstein, I.H. (1973). Textural features for image classification. IEEE Transactions on Systems, Man, and Cybernetics, (6): 610-621. https://doi.org/10.1109/TSMC.1973.4309314

[37] Hua, J.Z., Liu, G.H., Song, S.X. (2019). Content-based image retrieval using color volume histograms. International Journal of Pattern Recognition and Artificial Intelligence, 33(11): 1940010. https://doi.org/10.1142/S021800141940010X

[38] Shih, J.L., Chen, L.H. (2002). Colour image retrieval based on primitives of colour moments. IEE Proceedings-Vision, Image and Signal Processing, 149(6): 370-376.

[39] Koteswara Rao, L., Rohini, P., Pratap Reddy, L. (2019). Local color oppugnant quantized extrema patterns for image retrieval. Multidimensional Systems and Signal Processing, 30: 1413-1435. https://doi.org/10.1007/s11045-018-0609-x

[40] Murala, S., Maheshwari, R.P., Balasubramanian, R. (2012). Directional local extrema patterns: A new descriptor for content based image retrieval. International Journal of Multimedia Information Retrieval, 1(3): 191-203. https://doi.org/10.1007/s13735-012-0008-2

[41] Verma, M., Raman, B., Murala, S. (2015). Local extrema co-occurrence pattern for color and texture image retrieval. Neurocomputing, 165: 255-269. https://doi.org/10.1016/j.neucom.2015.03.015

[42] Dey, M., Raman, B., Verma, M. (2016). A novel colour-and texture-based image retrieval technique using multi-resolution local extrema peak valley pattern and RGB colour histogram. Pattern Analysis and Applications, 19: 1159-1179. https://doi.org/10.1007/s10044-015-0522-y

[43] Bella, M.I.T., Vasuki, A. (2019). An efficient image retrieval framework using fused information feature. Computers & Electrical Engineering, 75: 46-60. https://doi.org/10.1016/j.compeleceng.2019.01.022

[44] Chandwadkar, R., Dhole, S., Gadewar, V., Raut, D., Tiwaskar, S.A. (2013). Comparison of edge detection techniques. In 6th Annual Conference of IRAJ, Pune, India, pp. 133-136.

[45] Kılıçaslan, M. (2024). Image interpolation with spiking neural network based pixel similarity. Signal, Image and Video Processing, 1-12. https://doi.org/10.1007/s11760-024-03362-3

[46] Pan, Z., Hu, S., Wu, X., Wang, P. (2021). Adaptive center pixel selection strategy in local binary pattern for texture classification. Expert Systems with Applications, 180: 115123. https://doi.org/10.1016/j.eswa.2021.115123