A Lightweight Convolutional Neural Network-Based Method for Cotton Mosaic Disease Identification

A Lightweight Convolutional Neural Network-Based Method for Cotton Mosaic Disease Identification

Zhuo Chen Yonghao Wu Chang Liu

Institute of Electronics and Information Engineering, Guangdong Ocean University, Zhanjiang 524088, China

Corresponding Author Email: 
liuchang@gdou.edu.com
Page: 
1537-1543
|
DOI: 
https://doi.org/10.18280/ts.390510
Received: 
20 June 2022
|
Revised: 
26 August 2022
|
Accepted: 
5 September 2022
|
Available online: 
30 November 2022
| Citation

© 2022 IIETA. This article is published by IIETA and is licensed under the CC BY 4.0 license (http://creativecommons.org/licenses/by/4.0/).

OPEN ACCESS

Abstract: 

Common cotton diseases like cotton leaf bright, leaf curl, and fusarium wilt have a direct impact on the final production and quality of cotton. the reduction of economic losses, and the promotion of the cotton industry may all be achieved via prompt disease prevention and accurate diagnosis. Correct disease detection and treatment may stop the spread of illnesses, minimize financial losses, and guarantee the healthy growth of the cotton sector. To address the issue of the absence of lightweight models for correctly recognizing cotton illnesses in the environment, we propose the CSGNet model for resource-constrained mobile devices, which is based on a tiny CNN architecture (ShuffleNet V2). Shuffle Attention (SA) is added to the model to improve disease feature extraction under complex background conditions. Additionally, GAUSSIAN ERROR LINEAR UNITS (GELU) are chosen to help the propose model better mine pertinent features, and the Adam optimization algorithm is used to enhance the model's generalization capabilities. The public data set of cotton leaf disease photos with a natural backdrop was utilized for experimental simulation training and performance testing. The identification accuracy was 99.1%, which was 1.5 percentage points better than previously, and the model size was just 4.96 MB. In comparison to other classification network models like MobileNet-V3, ResNet-50, and DenseNet-121, it not only achieves a greater recognition accuracy but also has a quicker convergence process and fewer parameters. CSGNet can achieve intelligent detection of cotton leaf diseases based on mobile end, and it complies with the practical application requirements. Even mobile devices with little computing power may use it effectively.

Keywords: 

cotton leaf disease, ShuffleNet, deep leaning, agriculture, shuffle attention

1. Introduction

Cotton is a critical resource for the national economy and people's way of life. The total area planted with cotton was 2.952 million hectares as of May 2022, according to China's National Cotton Market Monitoring System. Illnesses that drastically reduce cotton yield, throughout its development cycle, cotton is susceptible to a number of diseases, which can cause losses of 10-20% annually, up to 30-50% in severe years, and even no harvest in some regions. Although between 80% and 90% of cotton illnesses may be detected by looking at the leaves. However, the signs of leaf diseases can vary depending on the stage of plant development and can affect both the front and rear of the leaf [1]. These types of diseases frequently call for specialized knowledge and tools, which cotton farmers frequently lack. To lessen output loss, enhance cotton quality, and ensure the safety of the national cotton industry, it is crucial to accurately identify the different types of cotton diseases and implement the necessary control measures in a timely manner.

In recent years, with the development of data technology and artificial intelligence technology, Convolutional Neural Network (CNN) based image classification [2], project detection [3] and other technologies have developed rapidly. Moreover, with the development of computer hardware and the increase of computing power, neural network models of deep learning are slowly moving from theory to application [4]. CNN is increasingly used to identify agricultural diseases due to its efficiency in processing large amounts of data and capacity to learn its data properties. Mohanty et al. [5] used the deep convolution neural network architecture Alexnet [6] and Googlenet [7], trained within the PlantVillage data set of 54,306 images containing 38 classes of 14 crop species and 26 diseases (or absence thereof), The trained model achieves an accuracy of 99.35% on a held-out test set. Rahman et al. [8] Since large scale architectures are not suitable for mobile devices, a two-stage small CNN architecture has been proposed, and compared with the state-of-the-art memory efficient CNN architectures, the proposed architecture can achieve the desired accuracy of 93.3% with a significantly reduced model size. The existing methods on tea leaf blight severity estimation are relatively few, Hu et al. [9] proposes an estimation method combines semantic segmentation with a fully connected CRF model to segment tea leaf blight leaves and reduce the effect of complex backgrounds, experimental results show that the proposed method has higher estimation accuracy and stronger robustness against occluded and damaged tea leaf blight leaves .In order to realize the rapid and accurate identification of apple leaf disease, Li et al. [10] proposed a new lightweight convolutional neural network RegNet. A series of comparative experiments had been conducted based on 2141 images of 5 apple leaf diseases (rust, scab, ring rot, panonychus ulmi, and healthy leaves) in the field environment. Although intelligent identification technology is frequently employed in the disease recognition of various crops, there are very few studies on the recognition of cotton leaf diseases. There are barely a few references available, Latif et al. [1] used ResNet101 along with transfer learning to recognize three major diseases in cotton leaves, and genetic algorithm is applied to the combined matrix to select the best points for final recognition, the highest achieved accuracy was 98.8% using Cubic SVM. Caldeira et al. [11] use of deep learning models GoogleNet and Resnet50 [12] to identify lesions on cotton leaves on the basis of images of the crop in the field, a precision of 86.6% and 89.2%, respectively, was obtained. Much higher than traditional approaches for the processing of images. To achieve the classification of cotton leaf spots by small sample learning, Based on the main features of the classical convolutional neural network classifier to classify the disease spots, Liang [13] constructed the structure and framework of S-DenseNet convolutional neural network, and the classification accuracy of this method is 7.7% higher than DenseNet [14] on average for different number of steps.

Above research is to achieve accurate identification and classification of cotton diseases by building CNN models of various types and structures. They provide a solution for the application of CNN to cotton disease identification, but there are still some unresolved issues. Firstly, the models suggested by the aforementioned research require a lot of computer power and expensive hardware to run because they are very complicated. Second, the model proposed in the above experiment was trained on a dataset with a single background and prominent disease features, ignoring the complex background that exists in a real natural environment. So, in this paper, we present the CSGNet model, which has a greater recognition accuracy and a faster convergence rate. ShuffleNet V2 [15] is the primary framework used in this study, by using cotton disease images with a natural background as a training data set, and adding attention mechanisms, modify the activation function, and modify the optimization algorithm in order to increase the effectiveness and precision of cotton disease identification in the natural environment. While having fewer parameters, it may nonetheless function effectively in complicated backgrounds.

2. Materials

2.1 Data collection

Figure 1. Example of cotton leaf images

The three cotton leaf diseases discussed in this study are cotton leaf blight, cotton leaf curl, and cotton fusarium wilt. For our research, we gathered 435 images of these illnesses. These images all include a complex backdrop environment, as illustrated in Figure 1, taken from the official data website of Kaggle (https://www.kaggle.com), which includes all three types of illnesses and healthy leaf samples.

2.2 Data pre-processing

The data set's imbalanced distribution and insufficient sample size will cause overfitting and challenging feature extraction during model training. This study uses OpenCV to improve the original data set in order to increase the amount of disease data and mimic additional disease images taken in poor weather, as follows:

1) 90°, 180°, 270° rotation: simulate different shooting angles of identification equipment;

2) Random brightness enhancement and attenuation: simulate different lighting conditions in the real field environment;

3) Randomly add noise to simulate the situation of leaf disease image with noise at night, bad weather and other conditions.

Finally, we gathered 1079 images of illnesses affecting cotton leaves. These images make up a sufficient and equally dispersed data collection. Through these processes, the data variety is increased, overfitting during the training phase is decreased, the network model's generalization capacity is enhanced, the model is made to adapt to recognition in complicated background environments, and its resilience is improved. The cotton disease dataset is described in full in Table 1.

Table 1. The data distributions

Classes

Original Dataset

Augmented Dataset

Training set

Test set

Cotton

leaf blight

64

448

358

90

Cotton

leaf curl

100

418

334

84

Cotton fusarium wilt

80

419

336

83

Healthy

 leaf

91

426

341

85

Total

435

1709

1369

340

3. Model Structure

3.1 The base networks

Beijing Megvii Co., Ltd. has developed ShuffleNet V2, a more effective convolution model structure, for low-power mobile devices. It significantly reduces the computational complexity of the model while maintaining high recognition accuracy by using pointwise group evolution and channel shuffle operations. Its advantages over the conventional architecture, which runs each channel's feature map directly, are light weight, high precision, and ease of deployment.

In this work, ShuffleNet V2 1× architecture is used as the model skeleton to make it easier to apply the illness identification model in the mobile terminal. The structural parameters are shown in Table 2. However, the data set of diseases affecting cotton leaves utilized in this experiment was collected in the natural setting, which is characterized by a variety of backdrops, covered disease spots, and varying sizes of disease spots. ShuffleNet V2 frequently encounters issues while detecting these data sets, such as fragmented regions of interest and a single feature extraction scale. This research has improved ShuffleNet V2 to address these issues and produce a network model with greater recognition accuracy.

Table 2. Architecture of ShuffleNet v2 1×

Layer

Output size

KSize

Stride

Repeat

Output channels

1×

Image

224×224

 

 

 

3

Conv1

Max Pool

112×112

56×56

3×3

3×3

2

2

1

24

Stage2

28×28

28×28

 

2

1

1

3

116

Stagc3

14×14

14×14

 

2

1

1

7

232

Stage4

7×7

7×7

 

2

1

1

3

464

Conv5

7×7

1×1

1

1

1024

Global Pool

1×1

7×7

 

 

 

FC

 

 

 

 

1000

FLOPs

 

 

 

 

146M

# of Weights

 

 

 

 

2.3M

3.2 Shuffle attention

At present, attention mechanism has become an important part of improving the performance of deep neural networks. So that the neural network can accurately focus on all the relevant elements of the input, and focus the attention of network model to identify diseases, while the influence of irrelevant background is reduced. Shuffle Attention (SA) [16] module, which adopts Shuffle Units to combine two types of attention, spatial attention and channel attention, The simplest single-layer transformation is used in the SA channel attention, and the formula is as follows:

$s=\mathcal{F}_{g p}\left(X_{k 1}\right)=\frac{1}{H \times W} \sum_{i=1}^H \sum_{j=1}^W X_{k 1}(i, j)$          (1)

Furthermore, a compact feature is created to enable guidance for precise and adaptive selection. This is achieved by a simple gating mechanism with sigmoid activation. Then, the final output of channel attention can be obtained by

$X_{\mathrm{k} 1}^{\prime}=\sigma\left(\mathcal{F}_{\mathrm{c}}(\mathrm{s})\right) \cdot \mathrm{X}_{\mathrm{k} 1}=\sigma\left(\mathrm{W}_1 \mathrm{~s}+\mathrm{b}_1\right) \cdot \mathrm{X}_{\mathrm{k} 1}$           (2)

where, $W_1 \in \mathbb{R}^{C / 2 G \times 1 \times 1}$ and $b_1 \in \mathbb{R}^{C / 2 G \times 1 \times 1}$   are parameters used to scale and shift s, At the same time, the idea of part spatial attention is also very simple, First, SA use Group Norm (GN) over $X_{\mathrm{k} 2}$ to obtain spatial-wise statistics. Then, $\mathcal{F}_{\mathrm{c}}(\cdot)$ is adopted to enhance the representation, The final output of spatial attention is obtained by, where only $\mathrm{W}_2$ and $\mathrm{b}_2$ are parameters.

$X_{k 2}^{\prime}=\sigma\left(W_2 \cdot G N\left(X_{k 2}\right)+b_2\right) \cdot X_{k 2}$          (3)

Because of these simple computations and the associated channel shuffle operations, which ensure the interaction between each set of sub-features, the SA module becomes a reasonably small module and avoids computational costs. To create the CSGNet unit, Unit, we combine the SA module with the ShuffleNet V2 unit. The two various units are depicted in Figure 2. This lightweight unit makes it possible for the model to more accurately detect the disease region in the image without growing the model's size or the number of calculations required.

Figure 2. ShuffleNet V2 Unit and CSGNet Unit

3.3 Gaussian error liner units

The activation function used in the original model of ShuffleNet V2 is ReLU, ReLU is a piecewise linear function that changes all negative values to 0, while the positive ones remain unchanged, such unilateral inhibition makes the neurons in the neural network also have sparse activation, which makes the model better able to mine relevant features and fit training data. However, when the input is negative, the learning speed of the ReLU activation function may become very slow, or even make the neuron directly invalid, because the input is negative and the gradient is 0, so that its weight cannot be updated.

Figure 3. ReLU and GELU

The proposed model, which weighs the input by its own value, GELU [17], replaces ReLU with Gaussian Error Linear Units in order to eliminate this issue. In contrast to GELU, which has a specific probability that the output is not 0, ReLU has an output of 0 for values less than 0, as seen in Figure 3. This makes GELU possible to avoid the gradient disappearance problem while avoiding the aforementioned difficulties, which enhances the robustness of the model training process instead of gating the input by its symbol like in ReLU. GELU can be approximated by:

$\operatorname{GELU}(x)=0.5 \times \left(+\tanh \left(\sqrt{\frac{2}{\pi}}\left(x+0.044715 x^3\right)\right)\right)$          (4)

3.4 Adaptive momentum

The Stochastic Gradient Descent (SGD) was used by the original ShuffleNet, but because each parameter in SGD maintains the same learning rate, it is challenging to choose an appropriate learning rate and SGD is simple to converge to the local optimum during the training process, the average recognition accuracy of pests in the model is not optimal.

This study employs Adam to address the aforementioned issues. Adam not only enhances the network model's generalization performance but also qualifies it for situations with high noise or sparse gradients and improves the model's ability to recognize objects in complicated surroundings. Adam also satisfies the criteria for the lightweight model in this study because of his efficient calculation and low memory needs. This study employs Adam to address the aforementioned issues. Adam not only enhances the network model's generalization performance but also qualifies it for situations with high noise or sparse gradients and improves the model's ability to recognize objects in complicated surroundings. Adam also satisfies the criteria for the lightweight model in this study because of his efficient calculation and low memory needs.

Adam (Adaptive momentum) is a stochastic optimization method based on adaptive momentum, which combines AdaGrad (Adaptive Gradient), Reserve a learning rate for each parameter to improve performance on sparse gradients (i.e., natural language and computer vision problems), at the same time, it uses RMSProp (Root Mean Square Prop) to make the algorithm has excellent performance in non-stationary and on-line problems. The update formula is as follows:

$m_t=\beta_1 m_{t-1}+\left(1-\beta_1\right) g_t$

$v_t=\beta_2 v_{t-1}+\left(1-\beta_2\right) g_t^2$

$\hat{m}_t=\frac{m_t}{1-\beta_1^t}$

$\hat{v}_t=\frac{v_t}{1-\beta_2^t}$

$\theta_{t+1}=\theta_t-\eta \cdot \frac{\widehat{m}_t}{\sqrt{\hat{v}}_t+\epsilon}$           (5)

4. Experiments and Results

4.1 Experimental setup and parameter setting

All the experiments were performed under the windows 64 bit system environment, using Pytorch 1.10 cooperate with CUDA 11.3 for training. The processor on the computer is 11th Gen Intel (R) core (TM) i7-11800h @ 2.30ghz eight core, with 16GB memory and GTX 3060 graphics card. The image size of cotton diseases is set to 224 × 224 pixels, the batch size is set to 32, the initial learning rate is set to 0.01, and the model iteration is 100 epoch.

4.2 Model and experimental process

The structure of the CSGNet model proposed in this article is depicted in Figure 4. Compared to ShuffleNet V2, introduce the SA replacement attention mechanism into the ShuffleNet V2 unit to form the CSGNet unit, as shown in Figure 2, in order to improve feature extraction. At the same time, GELU is used in place of ReLU in order to reduce the model's calculation load and maintain the model's performance.

Figure 4. Structural of CSGNet

Different attention systems were then contrasted after conducting ablation studies. Various novel deep learning models, such as Resnet-50, Densenet-121, and Mobilenet-v3 [18], were also evaluated in parallel to CSGNet.

4.3 Model and experimental process

In this post, we choose the following assessment metrics to more accurately assess the model: Reliability, parameters, and FLOPs (Floating Point Operations), The deep network model's trainable parameters are referred to as the parameter quantity. The unit of the big model is stated in G, which represents 1×109, whereas the mini model is expressed in M, which represents 1×106.

The recognition accuracy refers to the probability value of the correctly predicted sample size in the total sample size of the test. The calculation formula is as follows:

Accuracy $=\frac{P_C}{P_{\text {ALL }}} \times 100 \%$          (6)

PC represents the number of samples in which the disease type is correctly predicted, and PALL represents the total number of samples in the disease test set.

Precision: It refers to the ratio of records correctly classified as attacks to the number of attacks

Recall: It refers to the percentage of all records detected as attacks that are correctly classified as attacks.

$\left\{\begin{array}{c}\text { Precision }=\frac{\mathrm{TP}}{\mathrm{TP}+\mathrm{FP}} \\ \text { Recall }=\frac{\mathrm{TP}}{\mathrm{TP}+\mathrm{FN}}\end{array}\right.$          (7)

True Negative (TN) detects the number of normal samples with the same label, and False Positive (FP) indicates the number of normal samples that are incorrectly detected as abnormal, both for normal samples. Similarly, True Positive (TP) is the number of abnormal samples detected as abnormal, while False Negative (FN) is a false alarm, representing the number of normal samples that were wrongly detected as abnormal.

4.4 Experiments and analysis

1) Ablation experiment

This study uses ShuffleNet V2 1× in the ShuffleNet V2 network structure as the benchmark network to achieve the lightweight of the model. The following ablation experiment designs were used in this work to confirm the viability of the CSGNet model that was proposed:

1) Only ShuffleNet V2 1× is used;

2) On the basis of 1), only the SA module is used;

3) On the basis of 1), replace only the activation function

4) On the basis of 3), using the SA module

5) On the basis of 4), Adam is adopted

Table 3. Ablation experiment results

NO.

Improvement strategy

Calculation quantity/MFLOPs

Highest accuracy/%

1

 

150.6

97.6

2

+SA

150.6

98.5

3

+GELU

150.25

98.5

4

+GELU+SA

150.25

98.2

5

+GELU+SA+Adam

150.25

99.1

Table 3 displays the ablation experiments for the five ablation test methods mentioned above. As can be seen from comparisons No. 1 and No. 2, the SA model increases pattern recognition accuracy by 0.9% without increasing computation amount, demonstrating that the addition of an attention mechanism can successfully lessen the impact of irrelevant background in recognition images, enhance the model's ability to extract features in complex environments, and ultimately increase recognition accuracy. When comparing schemes NO.1 and NO.3, replacing merely the activation function increases model recognition accuracy by 0.9 percentage points while decreasing model calculation; although NO. 4 combines NOs 2 and 3, its model identification accuracy is less accurate than that of NOs 2 and 3. So, in this study, NO. 5 is suggested. The model's accuracy can be increased by 1.5 percentage points, and the model's convergence may be improved. Figure 5 compares alternative convolutional layer filters for the original ShuffleNet and CSGNet models, respectively.

Figure 5. Filters visualization comparison of different convolutional layer for original ShuffleNet and CSGNet model, respectively

Figure 6. Matrix obtained by different attention modules

The studies were conducted after replacing the SA attention module in NO.4 with the SE [19] and SK [20] attention modules in order to demonstrate the benefits of SA over other attention processes. The confusion matrix in Figure 6 and the data in Table 4 were ultimately acquired.

In general, a modest model size and ShuffleNet V2 1× with SA can reliably detect cotton disease traits in complicated situations. As a result, the SA module was chosen in accordance with the study's lightweight model to enable the development of mobile end transplants.

Table 4. Accuracy of abnormal data detection

No.

Attention module

Model size/MB

Highest accuracy/%

1

SA

4.96

98.2

2

SE

5.12

98.5

3

SK

7.20

98.2

Note: SA, SE, SK respectively represent, Shuffle Attention, Squeeze-and-Excitation, Selective Kernel Networks, GELU and SGD were used for comparative experiments

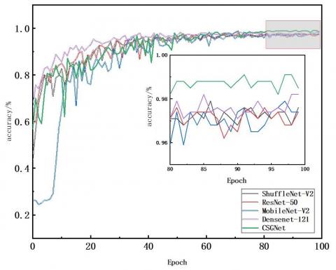
Figure 7. Comparison of recognition accuracy of different CNN architectures

Figure 8. Comparison of recognition loss of different CNN architectures

2) Comparison with classical CNN model

To validate the efficacy of CSGNet, ablation tests were carried out based on the ShuffleNet V2 1× basic model in this experiment. At the same time, we compared CSGNet with traditional CNN designs (such as MobileNet-V3, ResNet-50, and DenseNet-121) from the perspectives of recognition accuracy and model parameter amount, and the results are displayed in Figure 7 to demonstrate that CSGNet has some competitiveness. Figure 8 shows the variation in the loss curve with the different CNN architectures. As shown in the figure, the CSGNet loss curve the descent process is smoother, and is more stable in the middle and late stages.

Figure 7 and Table 5 show that after 80 epochs, the CSGNet's recognition accuracy is around 1% greater than that of other models. While the convergence process fluctuates widely, the typical CNN model design, which balances the link between model size, parameter quantity, and recognition accuracy, has a much higher parameter amount. In the comparative model, Densenet-121 likewise exhibits strong classification accuracy, demonstrating strong feature extraction capabilities. Densenet-121 uses a lot of memory and processing power, making it challenging to match the model's transplant requirements. The suggested model CSGNet has successfully balanced identification precision and parameter memory, demonstrating that CSGNet is better able to fulfill mobile terminal requirements for cotton leaf disease recognition in the natural environment.

Table 5. Architecture performance comparison

Model

Parameters/M

Model size/MB

Calculation quantity/FLOPs

Highest accuracy/%

ResNet-50

25.557

81.3

2.88G

97.6

MobileNet-V3

2.542

5.93

59.81M

97.9

ShuffleNet-V2

2.278

4.96

4.12G

97.9

Densenet-121

7.978

27.1

150.6M

98.2

CSGNet

2.278

4.96

150.25M

99.1

5. Conclusion

This study is dedicated to putting the identification model into practice in order to aid in the growth of the cotton sector in underdeveloped regions. It is based on the detection of cotton leaf diseases in the natural background environment. We add an attention mechanism to the ShuffleNet V2 unit to create the CSGNet unit, which allows the model to concentrate on the region with the leaf illness, enhancing its capacity to extract disease characteristics in the natural environment backdrop. The suggested model also replaces the ReLU of the original model with GELU in order to further minimize the number of calculations required by the model; lastly, the network model is trained using the Adam optimization method. The suggested model continues to function well, with an average illness detection accuracy rate of 99.1%. By comparing the proposed model CSGNet to the traditional CNN model, it can be seen that it strikes a good balance between the quantity of parameters, the amount of calculation, and the accuracy. It can also be used in low-performance equipment for lightweight networks and quick disease identification by reasoning, and it offers a suggestion for applying a deep learning model to a mobile terminal in the field for disease detection.

In the future, we will focus on research to determine the severity of crop diseases based on the shape, colour and area of disease symptoms in pest images. This is because the use of pesticides depends to a large extent on the level of disease, with different levels of disease requiring different doses of pesticides, and unrestricted use of pesticides can cause considerable damage to the environment.

Also, for the purpose of in-field evaluation, we also aim to implement our proposed algorithm on mobile phone,So that it can really serve the cotton growers.

Acknowledgment

This article is supported by the project of Enhancing School with Innovation of Guangdong Ocean University’s (080507112201), by the project of 2021 Guangdong Province Science and Technology Special Funds ("College Special Project + Task List") Competitive Distribution (2021A05237), by the project of Enhancing School with Innovation of Guangdong Ocean University’s (230420023), and by the program for scientific research start-up funds of Guangdong Ocean University (R20065).

  References

[1] Latif, M.R., Khan, M.A., Javed, M.Y., Masood, H., Tariq, U., Nam, Y., Kadry, S. (2021). Cotton leaf diseases recognition using deep learning and genetic algorithm. CMC-Computers Materials & Continua, 69(3): 2917-2932. https://doi.org/10.32604/cmc.2021.017364

[2] Jiang, P., Chen, Y., Liu, B., He, D., Liang, C. (2019). Real-time detection of apple leaf diseases using deep learning approach based on improved convolutional neural networks. IEEE Access, 7: 59069-59080. https://doi.org/10.1109/ACCESS.2019.2914929

[3] Zhang, J., Meng, Y., Chen, Z. (2021). A small target detection method based on deep learning with considerate feature and effectively expanded sample size. IEEE Access, 9: 96559-96572. https://doi.org/10.1109/ACCESS.2021.3095405

[4] Liu, C., Antypenko, R., Sushko, I., Zakharchenko, O. (2022). Intrusion detection system after data augmentation schemes based on the VAE and CVAE. IEEE Transactions on Reliability, 71(2): 1000-1010. https://doi.org/10.1109/TR.2022.3164877

[5] Mohanty, S.P., Hughes, D.P., Salathé, M. (2016). Using deep learning for image-based plant disease detection. Frontiers in Plant Science, 7: 1419. https://doi.org/10.3389/fpls.2016.01419

[6] Krizhevsky, A., Sutskever, I., Hinton, G.E. (2017). Imagenet classification with deep convolutional neural networks. Communications of the ACM, 60(6): 84-90. https://doi.org/10.1145/3065386

[7] Szegedy, C., Liu, W., Jia, Y., Sermanet, P., Reed, S., Anguelov, D., Rabinovich, A. (2015). Going deeper with convolutions. In Proceedings of the IEEE Conference on Computer Vision and Pattern Recognition, pp. 1-9. http://arxiv.org/abs/1409.4842.

[8] Rahman, C.R., Arko, P.S., Ali, M.E., Khan, M.A.I., Apon, S.H., Nowrin, F., Wasif, A. (2020). Identification and recognition of rice diseases and pests using convolutional neural networks. Biosystems Engineering, 194: 112-120. https://doi.org/10.1016/j.biosystemseng.2020.03.020

[9] Hu, G., Wei, K., Zhang, Y., Bao, W., Liang, D. (2021). Estimation of tea leaf blight severity in natural scene images. Precision Agriculture, 22(4): 1239-1262. https://doi.org/10.1007/s11119-020-09782-8

[10] Li, L., Zhang, S., Wang, B. (2021). Apple leaf disease identification with a small and imbalanced dataset based on lightweight convolutional networks. Sensors, 22(1): 173. https://doi.org/10.3390/s22010173

[11] Caldeira, R.F., Santiago, W.E., Teruel, B. (2021). Identification of cotton leaf lesions using deep learning techniques. Sensors, 21(9): 3169. https://doi.org/10.3390/s21093169

[12] He, K., Zhang, X., Ren, S., Sun, J. (2016). Deep residual learning for image recognition. In Proceedings of the IEEE Conference on Computer Vision and Pattern Recognition, pp. 770-778. https://doi.org/10.1109/CVPR.2016.90

[13] Liang, X. (2021). Few-shot cotton leaf spots disease classification based on metric learning. Plant Methods, 17(1): 1-11. https://doi.org/10.1186/s13007-021-00813-7

[14] Huang, G., Liu, Z., Van Der Maaten, L., Weinberger, K.Q. (2017). Densely connected convolutional networks. In Proceedings of the IEEE Conference on Computer Vision and Pattern Recognition, pp. 4700-4708. http://arxiv.org/abs/1608.06993

[15] Ma, N., Zhang, X., Zheng, H.T., Sun, J. (2018). Shufflenet v2: Practical guidelines for efficient cnn architecture design. In Proceedings of the European Conference on Computer Vision (ECCV), pp. 116-131. http://arxiv.org/abs/1807.11164

[16] Zhang, Q.L., Yang, Y.B. (2021). SA-Net: Shuffle attention for deep convolutional neural networks. arXiv. https://doi.org/10.48550/arXiv.2102.00240

[17] Hendrycks, D., Gimpel, K. (2016). Gaussian error linear units (gelus). arXiv preprint arXiv:1606.08415. https://doi.org/10.48550/arXiv.1606.08415

[18] Howard, A., Sandler, M., Chu, G., Chen, L.C., Chen, B., Tan, M., Adam, H. (2019). Searching for mobilenetv3. In Proceedings of the IEEE/CVF International Conference on Computer Vision, pp. 1314-1324. 

[19] Hao, X., Shan, C., Xu, Y., Sun, S., Xie, L. (2019). An attention-based neural network approach for single channel speech enhancement. In ICASSP 2019-2019 IEEE International Conference on Acoustics, Speech and Signal Processing (ICASSP), pp. 6895-6899. https://doi.org/10.1109/ICASSP.2019.8683169

[20] Li, X., Wang, W., Hu, X., Yang, J. (2019). Selective kernel networks. In Proceedings of the IEEE/CVF Conference on Computer Vision and Pattern Recognition, pp. 510-519. https://doi.org/10.48550/arXiv.1903.06586