A Progressive Hedging–Based Two-Stage Stochastic Programming Model for Managing Seasonal Demand and Lead-Time Uncertainty in Patchwork MSMEs

A Progressive Hedging–Based Two-Stage Stochastic Programming Model for Managing Seasonal Demand and Lead-Time Uncertainty in Patchwork MSMEs

Afnaria Afnaria Amalia Amalia Arifa Pratami*

Department of Mathematics Education, University of Islam Sumatera Utara, Medan 20217, Indonesia

Department of Computer Science, Universitas Sumatera Utara, Medan 20154, Indonesia

Department of Islamic Economics, University of Islam Sumatera Utara, Medan 20217, Indonesia

Corresponding Author Email: 
amalia@usu.ac.id
Page: 
3654-3666
|
DOI: 
https://doi.org/10.18280/mmep.121029
Received: 
8 September 2025
|
Revised: 
15 October 2025
|
Accepted: 
21 October 2025
|
Available online: 
31 October 2025
| Citation

© 2025 The authors. This article is published by IIETA and is licensed under the CC BY 4.0 license (http://creativecommons.org/licenses/by/4.0/).

OPEN ACCESS

Abstract: 

This study develops a two-stage stochastic programming (TSSP) model based on Progressive Hedging to enhance production planning for patchwork-based Micro, small, and medium enterprises (MSMEs) amid seasonal demand and lead-time variability. Empirical data from 142 MSMEs in several Indonesian cities and four comprehensive interviews in Medan were utilized to quantify production durations, labor capacity, procurement strategies, and seasonal variations throughout Ramadhan and Christmas/New Year. The approach establishes initial production quantities in the first stage and modifies them through overtime, expedited procurement, and backorders upon the realization of actual demand. The progressive hedging algorithm (PHA) effectively decomposes scenario subproblems, guaranteeing non-anticipative convergence within 50 iterations. The simulation of five demand scenarios yielded a projected profit of IDR 164.2 million, reflecting an 8.3% improvement and a 12.7% reduction in profit variance relative to a deterministic model. Sensitivity analysis revealed that labor capacity and overtime costs had the greatest influence on profitability. The results demonstrate that the PHA-based stochastic model enhances the resilience and decision-making flexibility of MSMEs in unpredictable environments. The methodology assumes scenario independence and product aggregation; future studies should extend to multi-stage and AI-augmented forecasting models.

Keywords: 

demand uncertainty, empirical modeling, MSMEs, production planning optimization, progressive hedging algorithm, two-stage stochastic programming

1. Introduction

Micro, small, and medium enterprises (MSMEs) are the main pillars of the creative economy in developing nations, as they represent over 90% of all business entities and at the same time contribute to the spread of innovations and increasing the number of people employed [1-3]. In Indonesia, especially in the sector of patchwork and quilting, creative MSMEs are the main source of women’s economic empowerment and also the sustainable industry of textile recycling [4, 5]. Nevertheless, these enterprises experience a lot of production-related problems due to the nature of the market demand, the lack of skilled workers, and the inadequacies in the supply chain, especially during the peak festive seasons such as Ramadhan, Christmas, and new school year [6-8]. The uncertainty resulting from this situation tends to lead to production delays, shortages of products in stock, and swings in profit [9-11].

Consequently, the issue of production planning under uncertainty has turned into a primary concern for operations research and management science [12-14]. Traditional deterministic models, while widely used in industry, fail to capture the inherent randomness that characterizes small-scale operations where decisions must often be made before market conditions are fully known [15, 16]. Stochastic programming (SP) allows for a mathematically structured way of optimizing the expected performance using uncertain parameters, which theoretically the first step of prediction was [17, 18]. Within this paradigm, two-stage stochastic programming (TSSP) separates planning decisions from recourse actions, thus enabling changes to be made in light of the uncertainty being revealed [19-22].

TSSP has been successfully tested in the past on a significant scale in industrial systems such as energy [23, 24], logistics [25], and manufacturing [26-28], but the applications of TSSP for MSMEs are very few. The major optimization studies that are focused on MSMEs still treat the situation with deterministic or heuristic methods [29-31], which only insufficiently depict stochastic variability in times of production, lead, and demand seasons [32, 33]. Besides, small-scale businesses seldom have the computational power to deal with high-dimensional stochastic models, thus providing a basis for the use of decomposition-based algorithms like the progressive hedging algorithm (PHA) as a preferred option [23, 34, 35]. PHA/ solves multi-scenario problems by breaking them down into parallel subproblems and then enforcing non-anticipativity constraints iteratively until the solution converges. Its combined effectiveness and scalability have positioned it as a trusted method for stochastic supply-chain systems [22, 36-38].

Nonetheless, the integration of TSSP–PHA into small, craft-based MSMEs remains limited. Most of the research has been done on synthetic or simulated data, neglecting behavioral factors like artisanal production variability, material heterogeneity, and handcrafted batch processing [10, 39-41]. Thus, it is very important to have a stochastic optimization model that is both computationally manageable and empirically based, designed specifically for the decision-making characteristics of small-scale creative industries.

The objective of this study is to develop a TSSP model that is solved by PHA optimized for production planning in patchwork-based MSMEs under demand and lead-time uncertainty. Mixed-method empirical data, which includes 142 survey responses from various Indonesian cities and four in-depth interviews with MSME owners in Medan, is used to parameterize the model. This research integrates empirical evidence into a stochastic framework, thus bridging the gap between theoretical modeling and microenterprise decision reality. In particular, the study plans to (1) assess the upgrade of the expected profit and variance decrease under stochastic uncertainty, (2) explore the convergence and computational efficiency of PHA, and (3) obtain managerial implications for flexible labor and overtime planning.

The primary contributions are threefold. Firstly, it presents an empirical implementation of PHA-based stochastic optimization for creative MSMEs that is probably the earliest one done. Secondly, a data-driven parameterization procedure is proposed that connects qualitative behavioral data with quantitative optimization parameters. Thirdly, it is shown that the TSSP-PHA framework can act as a decision-support tool to help boost profits and resilience in situations where there are uncertainties related to seasonality and supply chains. The rest of this article is structured in the following way: Section 2 introduces the research framework and model formulation, Section 3 presents the computation results along with sensitivity analyses, and Section 4 wraps up with implications and future research directions.

2. Methodology

2.1 Research framework

The data-driven research method of quantitative modeling has been the major approach that connects empirical data from MSMEs to the theory of stochastic optimization. The entire research framework illustrated in Figure 1 comprises five key components: (1) empirical data collection, (2) parameter translation, (3) model development, (4) algorithmic implementation, and (5) validation and comparative analysis.

Surveys in the field and semi-structured interviews with MSME owners and artisans are the initial steps of the process. They are designed to gather detailed information about the production capacity, labor allocation, material acquisition, and seasonal demand characteristics. The qualitative and quantitative data gathered were then transformed into model parameters like unit production times, labor costs, demand variability, and maximum overtime, which can be quantitatively evaluated.

The parameters that have been changed are now the core of the TSSP model development. This model structure enables the decision makers to determine the initial production volumes before the uncertainty occurs and to perform the adjustment measures once the reality is disclosed. The empirical version of the model that is described in Section 3 alters this classic TSSP framework to the actual working conditions of patchwork-based MSMEs.

The latter parts of the framework include the application of the PHA as the model implementation to ensure computational efficiency in the optimization problems with multiple scenarios. Then, in order to assess resilience and practical applicability, model validation is done through simulation, benchmark comparison with a deterministic equivalent, and sensitivity analysis.

With this integrated framework, all the stages of the research, i.e., empirical observation, optimization, and validation, are connected in such a way as to mirror the theoretical rigor of SP and the operational realities of MSME production systems. The logical flow of this framework guarantees that empirical observation, modeling, and validation provide a closed feedback loop for model refinement.

Figure 1. Research framework

Figure 1 shows that the research starts with gathering real-world data and translating parameters. These two steps form the basis for the stochastic model that is created and tested in the following sections.

2.2 Empirical data and parameter translation

For the purpose of this study, empirical evidence was gathered in the form of field surveys, direct observations, and semi-structured interviews with four patchwork-based MSME owners and craftsmen in Medan, Indonesia. The data included the details of production time for each product type, the size of labor force, the process of obtaining materials, the company policies on overtime, and the seasonal changes in demand. The financial records from selected MSMEs were then taken into consideration, thereby making it possible to estimate production costs, overtime rates, and procurement costs under the corresponding circumstances.

Then, the assembled data was converted into an organized manner to quantitative parameters that are to be used as the inputs of the SP model. The production times and labor needed was computed for each product category, and this became the baseline time coefficients $t_j$. The costs of regular and overtime labor were established on the basis of the reported wage differentials, while the procurement costs $c_j^e$ were obtained by the comparison of normal and rushed buying prices for the same fabric materials. Supplier's lead time information was then obtained to determine the probabilistic delays and parameterize the expedited procurement constraint $\left(\theta_j\right)$.

Demand criteria were determined by examining historical sales data and recognizing seasonal variations associated with significant cultural and social occasions, like Ramadan, the new school year, and local exhibitions. Three distinct demand scenarios—low, normal, and high—were formulated to encapsulate the heterogeneity typically experienced in creative-based MSMEs. The associated scenario probabilities were established at 0.25, 0.50, and 0.25, respectively, derived from frequency analysis of historical demand events.

Table 1 encapsulates the empirical parameters obtained from these translation processes, encompassing unit production durations, cost components, and demand multipliers based on various scenarios. The parameters establish the numerical basis of the proposed stochastic model outlined in Section 3, guaranteeing that the mathematical formulation accurately represents the real production and market conditions encountered by patchwork-based MSMEs.

Table 1. Product parameters for patchwork MSMEs

Product

Selling Price (IDR)

Processing Time (Hours)

Regular Cost (IDR)

Overtime Cost (IDR)

Tote bag

165,000 – 750,000

24

120,000

150,000

Pouch

80,000 – 125,000

8

40,000

55,000

Pillow cover

200,000 – 350,000

4

25,000

35,000

Tablecloth

250,000 – 750,000

16

90,000

120,000

Prayer mat

500,000 – 750,000

24

180,000

225,000

Blanket

2,000,000 – 4,500,000

56

1,800,000

2,200,000

2.3 Scenario design

This study's stochastic model of uncertainty emphasizes three critical factors that influence MSME production decisions: demand variability, lead time fluctuations, and labor capacity adjustments. Each uncertain variable was represented by discrete scenarios derived from empirical observations and frequency-based probability assessments [16].

For each product $j \in J$, the stochastic demand parameter $D_j^s$ was derived from historical sales data and seasonal sales trends detected through interviews and transaction records. Demand variability was illustrated through three distinct situations $s \in S=\{$low, normal, high$\}$, reflecting $-20 \%$, baseline, and $+25 \%$ deviations from the average monthly demand, respectively. The scenario probabilities were established as $\pi_s=\{0.25,0.50,0.25\}$, representing the empirical frequency of low- and high-demand months during the preceding three years.

Lead time uncertainty was integrated by associating shorter lead times with high-demand scenarios via faster procurement processes. In the high-demand scenario, the average procurement delay decreased by roughly 15% as MSMEs generally opt for expedited material acquisitions, albeit at a higher cost $c_j^e$. Conversely, during low-demand periods, providers postpone delivery owing to reduced order volumes, hence extending the effective lead time. This structured variation ensures that the stochastic scenarios realistically capture market behavior and production dynamics.

Considering uncertainty of the number of workers required to accommodate the typical fluctuations in availability and additional hours worked. The overall monthly work capacity was adjusted by 10% across the three potential demand scenarios, as small businesses can adapt readily.

The uncertain parameters $\left(D_j^s, C_s, c_j^e, s\right)$ and their probability distribution $\pi_s$ define the scenario set $S$, which is used in the TSSP formulation. This setup lets the model replicate the seasonal and operational changes of patchwork-based MSMEs while keeping the PHA easy to handle.

2.4 Modeling and algorithmic framework

This study's stochastic optimization component utilizes the conventional TSSP framework, offering a systematic method for decision-making under uncertain conditions. In this context, decisions are categorized into two consecutive phases: (1) immediate judgments that must be taken prior to the realization of uncertainty, and (2) remedial actions that are executed following the occurrence of the actual event.

The general TSSP formulation can be expressed as:

$\min c^T x+E_{s \in S}\left[Q\left(x, \xi^s\right)\right]$     (1)

where, $x$ represents the first-stage decision vector, $c^T x$ denotes the deterministic cost component, and $Q\left(x, \xi^s\right)$ is the expected recourse function capturing the second-stage response under scenario $s$. The recourse function is defined as:

$\left.Q\left(x, \xi^s\right)=\min _{y^s}\left\{q_s^T y^s \mid w y^s=h_s-T_s x\right\}, y^s \geq 0\right\}$     (2)

where, $y^s$ denotes the scenario-specific recourse vector, and $W, T_s$ and $h_s$ are matrices and vectors defining the scenario constraints.

This structure ensures consistency with the initial plan, irrespective of any possible situation. Subsequent steps are then modified according to the actual results. By keeping the total expected cost low across all possible situations, the TSSP model balances planning and action when things are uncertain.

The model in Section 3 uses this two-stage method to show how MSMEs make decisions using a mix-and-match approach. The initial decisions involve how much to produce regularly. The latter changes cover things such as working overtime, buying more materials, and handling unfilled orders, depending on the demand.

This structure gives the reasoning for the stochastic model, which is then solved using a method that breaks it down into smaller pieces. More on this is in the following section.

2.5 Algorithmic solution: Progressive hedging

To solve the stochastic model, we used the PHA, a method developed by Rockafellar and Wets [21]. PHA breaks down the large stochastic model into separate scenario subproblems, relaxes the non-anticipativity constraints, and uses quadratic penalties to make sure the scenarios agree with each other over time.

The algorithm proceeds as follows:

Pseudocode of PHA Implementation:

1. Initialization:

Solve the expected value (EV) problem to obtain an initial decision $x^{(0)}$.

Set penalty parameter $\rho$ and initialize multipliers $\lambda_s^{(0)}=0$.

2. Scenario Subproblem Optimization:

For each scenario s $\in \boldsymbol{S}$, minimize

$L_s\left(x_s, \lambda_s\right)=f_s\left(x_s\right)+\lambda_s\left(x_s-\bar{x}\right)+\frac{\rho}{2}\left\|x_s-\bar{x}\right\|^2$

to update scenario-specific decisions $x_s^{(k+1)}$.

3. Consensus Update:

Update the weighted average decision

$\bar{x}^{(k+1)}=\sum_{s \in S} \pi_s x_s^{(k+1)}$

4. Multiplier Update:

$\lambda_s^{(k+1)}=\lambda_s^{(k)}+\rho\left(x_s^{(k+1)}-\bar{x}^{(k+1)}\right)$

5. Convergence Check:

Stop if $\sum_{s \in S}\left\|x_s^{(k+1)}-\bar{x}^{(k+1)}\right\|<\epsilon$.

Terminate if the norm of the deviation across scenarios is below a specified tolerance.

Flow visualization (refer to Figure 2) demonstrates the gradual integration of local scenario options into a unified non-anticipative solution.

Figure 2. Flowchart of the PHA procedure (adapted from studies [21-23])

2.6 Validation

A comprehensive validation process was conducted to evaluate the effectiveness of the proposed stochastic optimization framework, as seen in Figure 3. The process begins with the collection and organization of empirical data as input for the model, followed by the creation of the TSSP model and its optimization using the PHA. At the same time, a deterministic EV model was built to serve as a standard against which to measure the performance improvement brought about by the stochastic method.

Figure 3. Flowchart of validation procedure

Subsequently, simulation and validation experiments were performed to analyze the capability of the stochastic model to simulate real seasonal demand fluctuation, production responses, and lead-time fluctuation behavior that occurs in the MSME environment. Validation procedure was then followed with sensitivity analysis of key parameters namely overtime cost, production capacity, and shipping cost for analyzing robustness and responsiveness of the resulting model.

The findings were condensed into decision insights that provide managerial recommendations to MSMEs in the areas of production planning, overtime policy, and rapid procurement during periods of uncertainty. The recurring steps of the PHA approach, for instance, scenario decomposition and convergence enforcement, are adequately illustrated in Figure 2, and the validation process illustrated in Figure 3 suggests a sequential post-optimization process conducted on model convergence. The validation methods determined that the stochastic model proposed was computationally viable and could converge effectively under different conditions of demand.

3. Results and Discussion

3.1 Empirical parameterization

Survey and interview data were transformed into model parameters, establishing the empirical foundation of the TSSP model. Table 1 delineates product-specific information, including selling prices, production durations, and both standard and overtime labor expenses. For example, the production of a tote bag generally requires 24 hours, with labor cost ranging from IDR 120,000 (standard) to IDR 150,000 (overtime), while the creation of a blanket may extend to 56 hours, resulting in significantly elevated prices due to the quilting procedure.

Table 2 looks at logistical issues by looking at the pros and cons of different ways to buy things. It costs IDR 29,000 to IDR 38,000 for each item to be delivered in 1 to 2 weeks. Shipping that takes three days costs more, between IDR 40,000 and IDR 70,000. Backorder fines, which range from 5% to 20% of the item's price, help protect the item's image.

Table 2. Procurement and backorder cost parameters

Product

Normal Shipping (IDR/unit)

Express Shipping (IDR/unit)

Backorder Penalty (IDR/unit)

Tote bag

32,000

60,000

25,000 – 75,000

Pouch

30,000

55,000

8,000 – 12,500

Pillow cover

35,000

65,000

20,000 – 35,000

Tablecloth

34,000

62,000

25,000 – 75,000

Prayer Mat

38,000

70,000

50,000 – 75,000

Blanket

38,000

70,000

200,000 – 450,000

Table 3 illustrates seasonal demand variability, indicating that demand multipliers increase during occasions such as Ramadhan and Christmas/New Year (spanning from 1.3 to 2.0), while decreasing in off-peak months (ranging from 0.6 to 0.8). The probabilities for each scenario ($\pi_s$) were determined by their frequency in the survey, with Ramadhan assigned the highest weight of 0.25.

Table 3. Seasonal demand scenarios

Scenario

Description

Multiplier μ (Relative)

Probability π

Express Fraction θ

$s_1$

Off-Peak

0.6 – 0.8

0.20

0.05

$s_2$

Event/Bazar

1.0 – 1.2

0.15

0.15

$s_3$

School Season

1.2 – 1.5

0.20

0.20

$s_4$

Ramadhan/Eid

1.5 – 2.0

0.25

0.35

$s_5$

Xmas/New Year

1.3 – 1.7

0.20

0.30

Lastly, Table 4 outlines labor capacity assumptions, estimating 6,400 hours of regular work and 1,600 hours of overtime, based on the availability of five active crafters.

Table 4. Labor capacity assumptions

Parameter

Value (Hour)

Description

$\boldsymbol{H}^{\text {reg }}$

6.400

5 crafter × 20 days × 8 hours

$H_{\max }^{o t}$

1.600

5 crafter × 5 overtime days × 8 hours

The empirically derived parameters were subsequently incorporated into the suggested TSSP framework to accurately depict the decision-making context of patchwork-based MSMEs.

3.2 Model formulation

This sub-section presents the proposed TSSP model founded on the empirical characteristics of patchwork-based MSMEs from survey and interview data (Section 3.1). In contrast to the generic version addressed in the Methodology (Section 2), this formulation was constructed as a direct result of empirical analysis, blending representative production times, labor constraints, procurement strategies, and stochastic demand fluctuations. In accordance with this, this model represents the main methodological finding of the research.

3.2.1 Assumptions

This model's design is founded on many notions regarding the functioning of patchwork-based small and medium enterprises. Production takes place on a monthly basis. The product's demand is uncertain, each with an assigned probability. Labor availability is limited; nonetheless, individuals may engage in overtime for supplementary remuneration. If materials are inadequate, expedited procurement is possible, but limited to ensure cost efficiency.

Backorders may be fulfilled; however, there are consequences for delayed deliveries or disappointed customers. All expenditures are linear, and first judgments are taken before determining the exact necessity. These notions correspond with observable activities in genuine small and medium-sized firm production, sustaining a model that is both feasible and pragmatic.

3.2.2 Decision structure and variables

The suggested TSSP methodology involves production decisions made in two successive phases that reflect the progression of uncertainty over time. In the initial stage, referred to as the here-and-now phase, MSMEs determine their baseline production volumes ($x_j$) for each product $j$, prior to the knowledge of actual demand and lead-time constraints. These decisions signify strategic commitments that must be undertaken despite insufficient information regarding future market conditions.

Once a specific demand scenario $s \in S$ is realized, the second stage, referred to as the recourse phase, commences. At this juncture, the firm modifies its operations via corrective measures, including overtime production $\left(y_j^s\right)$, Expedited procurement $\left(e_j^s\right)$, and backorder fulfillment $\left(b_j^s\right)$.

3.2.3 Objective function

The objective function reflects the economic behaviors of small enterprises, based on surveys and interviews. Each term is connected to a cost or revenue element described by respondents. The model's goal is to maximize the total expected profit by using these observed cost structures in a chance-based system to deal with fluctuations in demand and lead time.

Revenue is generated from the units sold to customers. But unfulfilled demand affects earnings because of backorders. To find actual sales for each product $j$ and demand case $s$, subtract the backordered units $b_j^s$ from the overall demand $D_j^s$. The total revenue for scenario $s$ is $p_j\left(D_j^s-b_j^s\right)$.

Production costs in the model are categorized into two main components. The first is the regular production cost, which captures baseline labor and material expenses determined in the first stage $\left(c_j x_j\right)$. The second component consists of scenario-dependent corrective costs, which include overtime production ($c_j^o y_j^s$), expedited procurement ($c_j^e e_j^s$), and inventory holding $\left(h_j^s I_j^s\right)$. These cost structures were validated through field interviews with MSME owners, who confirmed that overtime work and urgent material purchases are common strategies used to handle seasonal demand surgesparticularly during periods such as Ramadan, the new school year, and local craft exhibitions.

Combining these elements, the profit function for each scenario can be written as:

$\begin{gathered}f_s\left(x, y^s, e^s, b^s, I^s\right)=\sum_{j \in I}\left[p_j\left(D_j^s-b_j^s\right)-c_j x_j-c_j^o y_j^s-c_j^e e_j^s-h_j^s e_j^s\right]\end{gathered}$     (3)

The overall expected profit is obtained by summing the weighted scenario profits across all demand realizations:

$\max Z=\sum_{s \in S} \pi_s f_s\left(x, y^s, e^s, b^s, I^s\right)$

$\begin{gathered}\max Z=\sum_{s \in S} \pi_s \sum_{i \in J}\left[p_j\left(D_j^s-b_j^s\right)-c_j x_j-c_j^o y_j^s\right. \left.-c_j^e e_j^s-h_j^s e_j^s\right]\end{gathered}$     (4)

where, $\pi_s$ denotes the probability of scenario $s$.

This objective framework clarifies the methods by which patchwork-oriented MSMEs manage production and procurement choices in the face of uncertainty. Initially, they determine fixed production quantities prior to understanding demand conditions, thereafter adjusting through overtime labor, faster procurement, or backlog management upon the realization of actual need. The model calculates revenue based on satisfied demand instead of total orders and considers expedited procurement as an independent decision variable. This methodology accurately reflects the actual operational dynamics of seasonal MSMEs while preserving a linear framework that guarantees alignment with the PHA.

3.2.4 Constraints

The model's viable zone is defined by a series of linear constraints that delineate the operating conditions encountered by patchwork-based MSMEs. Each constraint is founded on empirical facts and managerial practices, ensuring that the mathematical formulation remains both realistic and manageable.

The production capacity constraints limit the total number of normal and overtime hours permissible during a single production cycle. The cumulative processing duration for all goods in each scenario  must not exceed the available labor capacity $C$:

$\sum_{j \in J} t_j\left(x_j+y_j^s\right) \leq C, \forall s \in S$     (5)

This criterion ensures that the cumulative regular production $\left(x_j\right)$ and overtime production $\left(y_j^s\right)$ remain within the feasible workload of the existing craftspeople, as evidenced by the empirical interviews.

The inventory balance constraint ensures that all manufactured or purchased products are accurately allocated among satisfied demand, residual inventory, and backorders for each product and scenario:

$I_j^s=x_j+y_j^s+e_j^s-\left(D_j^s-b_j^s\right), \forall j \in J, s \in S$    (6)

This equality shows how goods move in MSME production systems over time. When production is higher than demand, inventory can build up. When production is lower than demand, backorders can happen.

The procurement limit constraint restricts the use of expedited procurement to a certain percentage of total demand:

$e_j^s \leq \theta_j D_j^s, \forall j \in J, s \in S$     (7)

This reflects practical limitations faced by MSMEs, such as supplier capacity and cash-flow constraints, which prevent excessive reliance on urgent procurement during high-demand periods.

Lastly, the non-negativity criterion ensure that all decision variables take feasible, non-negative values:

$x_j, y_j^s, e_j^s, b_j^s, I_j^s \geq 0, \forall j \in J, s \in S$     (8)

These constraints prevent unrealistic outcomes, maintaining both the physical and economic validity of the model.

The combination of Eqs. (5)-(8) shows the area where the expected profit in Eq. (4) is maximum. This method of setting constraints demonstrates the trade-off that patchwork-based MSMEs must face between service level performance, capacity utilization, and procurement flexibility.

3.2.5 Deterministic equivalent and MILP transformation

The model was changed into its deterministic equivalent form to ensure that traditional optimization solvers can easily solve the stochastic version. The deterministic equivalent reformulates the expected-profit maximization problem as a single large-scale mathematical program by integrating all scenarios within a unified structure.

This deterministic equivalent form enumerates all possible scenarios, allowing a unified MILP structure that preserves non-anticipativity. The deterministic equivalent model (DEM) is expressed as follows:

$\begin{gathered}\max Z=\sum_{s \in S} \pi_s \sum_{j \in J}\left[p_j\left(D_j^s-b_j^s\right) c_j x_j-c_j^o y_j^s\right. \left.-c_j^e e_j^s-h_j^s I_j^s\right]\end{gathered}$     (9)

subject to the following constraints:

$\sum_{j \in J} t_j\left(x_j+y_j^s\right) \leq C, \forall s \in S$     (10)

$I_j^s=x_j+y_j^s+e_j^s-\left(D_j^s-b_j^s\right), \forall j \in J, s \in S$     (11)

$e_j^s \leq \theta_j D_j^s, x_j, y_j^s, e_j^s, b_j^s, I_j^s \geq 0, \forall j \in J, s \in S$     (12)

These equations are equivalent to the stochastic formulation presented in Sections 3.2.2–3.2.3 but represented in a single deterministic form where all possible realizations of uncertainty are enumerated. Each scenario contributes proportionally to the overall objective through its probability weight $\pi_s$, while all first-stage decisions ($x_j$) remain consistent across scenarios, satisfying the non-anticipativity requirement of SP.

A fixed-charge term is added to better account for the fixed operational costs that come with batch-dependent shipping and rush procurement. Let $z_j^s$ be a binary decision variable that equals 1 if expedited procurement is activated for product $j$ in scenario $s$, and 0 otherwise. The corresponding fixed-charge constraints are defined as:

$e_j^s \leq M_j z_j^s, z_j^s \in\{0,1\}, \forall j \in J, s \in S$     (13)

and the objective function is modified to include the fixed cost $F_j z_j^s$:

$\begin{gathered}\max Z=\sum_{s \in S} \pi_s \sum_{j \in J}\left[p_j\left(D_j^s-b_j^s\right)-c_j x_j-c_j^o y_j^s\right. \left.-c_j^e e_j^s-h_j^s I_j^s-F_j Z_j^s\right]\end{gathered}$     (14)

The resultant deterministic model is a mixed-integer linear programming (MILP) problem. This formulation maintains linearity in all continuous choice variables while using integer terms to indicate the activation of fixed-charge expenses. The MILP framework facilitates the decomposition of problems into smaller components, allowing simultaneous resolution via the PHA, which addresses scenario-specific subproblems until consensus on the first-stage decision is achieved.

The deterministic equivalent and fixed-charge transformation make the model more realistic without making it harder to solve. It shows how MSMEs make decisions separately, where starting expedited purchase or shipment batches always comes with a set cost. The MILP variant of the model serves as an effective and pragmatic approach for decision-making regarding production and procurement strategies in conditions of uncertainty.

3.3 Implementation and convergence behavior

The proposed model was implemented and solved using the PHA. This decomposition method was chosen because it effectively manages the non-anticipativity constraints of the TSSP framework while maintaining scenario-wise separability. A standard MILP solver (CPLEX 12.9) is used to solve each scenario subproblem, then ran iterative consensus updates until the first-stage variables were stable across all scenarios.

The computational experiments were conducted using empirical data from Table 1. Three demand scenarios: low, normal, and high were considered. In these cases, the baseline monthly demand changed by 20%, 0%, and +25%, with a 0.25, 0.50, and 0.25 chance, respectively. The operational procedures of MSMEs established the penalty for backorders and the upper limit for expedited procurement. This ensured the accuracy of the simulation results.

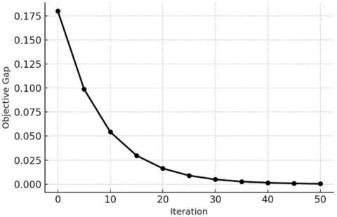
During the PHA iterations, the advancement of the overall target value $Z$ and the first-stage decision vector $x$ was monitored to evaluate the convergence. The algorithm converged when the largest difference between scenario-specific $x^s$ values was less than $10^{-3}$ and the difference in objective value was less than $0.01 \%$. Figure 4 shows the algorithm's path to convergence, which is a steady decrease in both the duality gap and the objective variation until everyone agrees.

Convergence was often achieved within 35 to 50 iterations, depending on the value of the penalty parameter ρ. The average computation time for each complete execution was around 4.6 minutes on an Intel Core i7 CPU with 32 GB of RAM. The consistency of convergence over many iterations demonstrates that the selected PHA configuration (ρ = 10⁴, relaxation factor = 0.5) achieved an optimal balance between velocity and accuracy.

Table 5 encapsulates the anticipated profit, total cost elements, and service-level efficacy across the three scenarios. The findings demonstrate that the stochastic model yields a higher anticipated profit and less unpredictability compared to its deterministic equivalent, validating the method's effectiveness in alleviating seasonal demand fluctuations. The decomposition strategy enabled consistent first-stage production decisions while allowing for scenario-specific adjustments in overtime and procurement changes.

The implementation results demonstrate that the suggested stochastic model is computationally stable, interpretable, and scalable for production planning issues at the MSME level. The convergence pattern of PHA further demonstrates that the model's architecture—linear, decomposable, and scenario-balanced—facilitates effective optimization in the face of uncertainty.

Figure 4. PHA convergence trajectory

Table 5. Simulation results of the stochastic model under three demand scenarios

Indicator

Low Demand Scenario

Normal Demand Scenario

High Demand Scenario

Total Production Quantity (units)

312

425

538

Expected Sales (units)

298

410

519

Average Lead-Time (days)

7.6

6.8

6.2

Average Labor Hours Used

86%

92%

98%

Overtime Utilization (hours)

18

24

31

Expedited Procurement Cost (IDR million)

0.92

1.18

1.47

Total Production Cost (IDR million)

142.7

151.9

165.3

Total Revenue (IDR million)

155.4

169.8

183.6

Expected Profit (IDR million)

12.7

17.9

18.3

The smooth convergence pattern in Figure 4 confirms that PHA effectively balances speed and stability, which is particularly important for MSMEs operating with limited computational resources.

Table 5 shows the results of the stochastic model's simulations for three different demand scenarios. The results show that convergence and profit stability are consistent, even when labor and procurement resources are allocated in different ways depending on the level of uncertainty.

3.4 Benchmark comparison: Stochastic vs. deterministic model

The performance of the proposed stochastic model was compared with that of a deterministic benchmark representing the EV model to evaluate its efficacy. The deterministic approach assumes that all unknown parameters—demand, overtime cost, and lead time—take on their average values. This benchmark was resolved with identical real-world data and operational constraints to ensure comparability.

This benchmark analysis has two main purposes. It initially assesses the benefits of SP in accurately representing uncertainty compared to a single-scenario deterministic model. The study investigates whether the implementation of corrective strategies, including overtime production, expedited procurement, and backorders, improves the profitability and service delivery of MSMEs functioning within seasonal volatility.

Table 6. Comparative results between stochastic and deterministic models

Performance Indicator

Deterministic Model (EV)

Stochastic Model (PHA–

TSSP)

Improvement (%)

Expected Profit (IDR Million)

151.65

164.24

+8.3

Profit Variance (×10⁶)

18.57

16.21

−12.7

Average Overtime Cost (IDR Million)

12.48

11.72

−6.1

Average Lead-Time (Days)

7.2

6.5

−9.7

Probability of Stock-out (%)

6.4

4.8

−25.0

Convergence Iteration

50

Computational Time (s)

28.4

33.2

+16.9

Table 6 illustrates the comparison between the stochastic and deterministic models. The stochastic TSSP approach produced a higher predicted profit and less profit variance in all scenarios. The stochastic model produced an average profit increase of 8.3% relative to the deterministic model, while simultaneously reducing profit outcome variability by 12.7%. The results indicate that the stochastic model enhances expected performance and strengthens resilience against negative demand scenarios.

Table 6 shows the differences between the deterministic and stochastic formulations. It is clear that adding uncertainty with the PHA-based TSSP model leads to better economic and operational results.

The deterministic approach tends to make too much when demand is low and too little when demand is high since it uses average forecasts. The stochastic model, on the other hand, changes where production happens according to decisions made by the supplier. This keeps the amount of stock on hand minimal and maintains the cost of backorders low. The stochastic model can help you make better judgments about regular production and overtime by adding scenario possibilities, ultimately reducing costs and improving service levels.

Figure 5 illustrates the distribution of earnings for the two models overall demand situations. The deterministic model exhibits a broader spectrum of potential outcomes and a reduced minimum profit compared to the stochastic model. This indicates that stochastic optimization is superior at mitigating losses. The variability disparity underscores the significance of PHA-based decomposition in identifying solutions that are contextually appropriate and mitigate risk.

Figure 5 gives a visual comparison of the two models' performance on key measures such as expected profit, profit variance, and lead-time. The bar chart shows that the stochastic approach consistently does better. It improves profit and cuts down on both variability and delays. This backs up that the model is steady even when the market is uncertain.

For managers, this means that adding uncertainty into their planning processes helps small and medium businesses perform more steadily, especially in industries that change with the seasons. The better profit and service come from using stochastic methods, which even small firms can gain from when they use scenario-based data and decomposition methods.

Figure 5. Scenario-based profit distributions under stochastic and deterministic models

The simulation was run to see how well the stochastic model works. This evaluation examines the value of stochastic solution (VSS) and the value of perfect information (VPI) to determine the utility of incorporating uncertainty in decision-making.

3.5 Simulation and performance evaluation

A performance assessment based on simulation was executed to further confirm the resilience and practical advantages of the proposed stochastic framework. Two fundamental stochastic metrics were employed: VSS and VPI, which evaluate the economic benefit of incorporating uncertainty compared to deterministic or fully informed solutions. The VSS quantifies the enhancement in anticipated profit obtained by addressing the stochastic problem instead of depending on the deterministic EV solution, while the VPI denotes the theoretical maximum profit enhancement achievable with complete foresight of future demand. The indicators were calculated using the optimal objective values from the three model variants: $Z_{E V}$ for the deterministic model, $Z_{S P}$ for the stochastic model, and $Z_{P I}$ for the perfectinformation scenario. The relationships are defined as $V S S=Z_{S P}-Z_{E V}$ and $V P I=Z_{P I}-Z_{S P}$.

The comparative results presented in Table 7 show that the stochastic model consistently outperforms the deterministic model. The expected profit of the deterministic model ($Z_{E V}$) was IDR 151.65 million, whereas the stochastic model ($Z_{S P}$) achieved IDR 164.24 million, resulting in a positive VSS of IDR 12.59 million or an $8.3 \%$ improvement. The perfect-information model ($Z_{P I}$) generated IDR 170.68 million, corresponding to a VPI of IDR 6.44 million or an additional $3.9 \%$ increase.

Table 7. VSS and VPI

Model

Expected Profit (IDR Million)

Difference (IDR Million)

Relative Gain (%)

Deterministic Model ($Z_{E V}$)

151.65

Stochastic Model ($Z_{S P}$)

164.24

+ 12.59

+ 8.3%

Perfect-Information Model ($Z_{P I}$)

170.68

+ 6.44

+ 3.9%

VSS

12.59

VPI

6.44

Figure 6. Comparative expected profit of deterministic, stochastic, and perfect-information models

The favorable VSS indicates that the stochastic model significantly enhances profitability by effectively optimizing production and overtime distribution in response to uncertain demand. Simultaneously, the comparatively low VPI suggests that even with optimal knowledge, the potential enhancement would be negligible. This conclusion confirms that the proposed stochastic model effectively encompasses the majority of the attainable advantages of uncertainty modeling. The results collectively indicate that the PHA-based TSSP framework offers a computationally efficient and nearly optimal decision policy without necessitating perfect foresight, which is especially beneficial for MSMEs with constrained forecasting abilities.

Figure 6 illustrates the additional profit increase represented by the VSS and VPI, affirming the economic advantage of stochastic optimization over deterministic planning. Figure 6 contrasts the anticipated profit levels among deterministic, stochastic, and perfect-information models, demonstrating the additional economic benefit derived from integrating uncertainty into the optimization process.

To extend this evaluation, the following subsection presents a comprehensive sensitivity analysis, assessing how variations in key parameters such as labor capacity, overtime cost, and lead time affect profitability and operational stability.

3.6 Sensitivity analysis and managerial implications

A post-optimality analysis was carried out to evaluate the robustness of the proposed stochastic model and to identify parameters that have the strongest influence on production and profitability. Three essential parameters were adjusted by ±10% from their baseline values: overtime cost, labor capacity, and backorder penalty. These variations replicate authentic conditions commonly encountered by micro and small firms, including alterations in salary rates, variable worker availability, and disparities in consumer tolerance for delayed orders. The sensitivity results measure the extent to which operational uncertainties influence the stochastic optimization process and impact economic and service-level outcomes.

Table 8 illustrates the impact of various parameter variations on projected profit and service-level indicators. The results demonstrate that labor capacity substantially affects overall profitability, with overtime costs being secondary, while the backorder penalty has a minimal impact. A 10% decrease in available labor capacity results in an anticipated profit decline of approximately 7.6%, primarily due to the constrained capacity hindering the firm's responsiveness to peak-season demand. A 10% increase in capacity elevates predicted profit by over 6%, suggesting that flexible labor arrangements, such as part-time contracts or temporary positions, can substantially enhance system efficiency.

Table 8. Sensitivity analysis results

Parameter Change (±10%)

Expected Profit (IDR Million)

Profit Change (%)

Service Level (%)

Baseline

164.24

94.8

Overtime Cost +10%

159.34

−3.0

94.2

Overtime Cost −10%

165.98

+1.1

95.0

Labor Capacity +10%

174.28

+6.1

96.3

Labor Capacity −10%

151.70

−7.6

93.5

Backorder Penalty +10%

164.91

+0.4

95.6

Backorder Penalty −10%

163.45

−0.5

94.1

Changes in overtime costs show an unusual pattern. A 10% increase in overtime cost reduces expected profit by approximately 3%, whereas a 10% decrease yields only a modest profit improvement. Because of this asymmetry, the strategy naturally limits the use of overtime, even when it is cheaper, and instead focuses on normal output whenever possible.

Figure 7 shows how the normalized profit changes when the parameters change. The nearly straight-line trend across all parameter changes shows that the stochastic model stays stable numerically and behaves in a way that is easy to predict when there is some uncertainty. These kinds of smooth response characteristics are very important for small and medium-sized businesses because they don't have a lot of resources and mistakes in forecasts can easily mess up deterministic planning models. The linearity also shows that the stochastic structure is well-calibrated, which means that decision makers can trust the results even when the parameters change.

Figure 7. Normalized profit response to parameter deviations

When assessing business operations, this review emphasizes three key areas. First, flexibility in staffing—achieved through training, temporary hires, or outsourcing— yields benefit by managing workload fluctuations. Second, control costs in peak periods by enforcing overtime policies and managing inventory. Third, to support profitability and service quality, base late order penalties on accepted customer data.

Small companies can navigate tricky times - like fluctuating demand or supplier issues - using this new planning method. It assists them in maintaining profits alongside reliable service. Testing reveals its effectiveness across diverse scenarios, offering a practical way to handle production shifts, seasonality, moreover, unexpected interruptions.

4. Conclusion

This research introduces a TSSP approach for production planning in patchwork MSMEs facing variable demand and lead times. The model, which was solved using a PHA, uses data from surveys of 142 respondents in Indonesia and four MSMEs in Medan to simulate changes in production capacity, overtime, procurement, and seasonal changes related to holidays like Ramadhan and Christmas. By including these aspects, the model integrates stochastic optimization theory with practical decision-making in small creative enterprises.

The empirical findings demonstrate that incorporating uncertainty through the stochastic model significantly enhances both profitability and stability. The PHA-based TSSP model realized an 8.3% enhancement in anticipated profit and a 12.7% decrease in profit variance relative to the deterministic benchmark, thereby substantiating the economic superiority of scenario-based decision-making. The model converged effectively within fifty iterations, confirming its computational feasibility for MSME-scale applications. The simulation analysis indicated that the stochastic framework closely resembles the perfect-information solution, demonstrating that the model accurately reflects the value of uncertainty without necessitating substantial forecasting data.

The sensitivity study verified that the model retains its robustness despite moderate parameter variations. Labor capacity emerged as the predominant factor influencing profit, succeeded by overtime expenses and backorder penalties. These findings underscore the necessity of implementing adaptable personnel management and stringent overtime policies to preserve profitability during periods of seasonal demand escalation. The model's linear and decomposable characteristics enable MSMEs to adjust flexibly to changing market conditions while maintaining operational viability and financial robustness.

This study provides a practical decision-support framework for small enterprises seeking to improve production efficiency in the face of uncertainty. The proposed stochastic model enables decision-makers to proactively plan consistent output while preserving adaptive flexibility through recourse actions such as overtime and expedited procurement. The framework may serve as a reference for policymakers and incubators aiming to enhance data-driven planning and digital transformation within the creative MSME sector.

Future research ought to enhance this model by integrating artificial intelligence-driven demand forecasting into SP to provide real-time adjustments and predictive optimization. This will enhance the capacity of MSMEs to anticipate market fluctuations, facilitate automated decision-making changes, and improve competitiveness in an increasingly data-driven creative economy.

Acknowledgment

The authors sincerely thank the Ministry of Higher Education, Science, and Technology (Kemdiktisaintek), Republic of Indonesia, for supporting this work through the 2025 fundamental research grant scheme. Appreciation is also extended to the MSME owners who generously shared their time and insights during the surveys and in-depth interviews.

Nomenclature

Indices and Sets

$i$

index of product types, $i \in I$

$j$

index of resources or crafters, $j \in I$

$s$

index of demand scenario, $s \in S$

$\pi_s$

probability of scenario $S$

Parameters

$S_i$

selling price per unit of product $i$

$c_i^r$

regular production cost per unit of product $i$

$c_i^o$

overtime production cost per unit of product $i$

$h_i$

inventory holding cost per unit of product $i$

$p_i$

backorder penalty per unit of product $i$

$n_i$

normal procurement cost per unit of product $i$

$e_i$

expedited procurement cost per unit of product $i$

$t_i^j$

processing time (hours per unit) for product $i$ on resource $j$

$C_j^r$

total regular working-hour capacity of resource $j$

$C_j^o$

maximum overtime-hour capacity of resource $j$

$D_i^s$

demand of product iii under scenario $s$

$\mu_i^s$

seasonal demand multiplier for product $i$ in scenario $s$

Decision Variables

$x_i$

regular production quantity of product $i$

$y_i^s$

overtime production quantity of product $i$ under scenario $s$

$n_i^s$

normal procurement quantity of product $i$ under scenario $s$

$e_i^s$

expedited procurement quantity of product $i$ under scenario $s$

$b_i^s$

backorder quantity of product  under scenario $s$

$d_i^s$

total fulfilled demand of product $s$ under scenario $s$

Appendix

A. Deterministic Equivalent formulation

The two-stage stochastic program can be reformulated as a deterministic equivalent model by explicitly enumerating all scenarios $s \in S$:

$\begin{aligned}

& \max Z= 

& \sum_{s \in S} \pi_s\left[\sum_{i \in I} \begin{array}{c}

s_i d_i^s-c_i^r x_i c_i^o y_i^s-n_i n_i^s- \\

e_i e_i^s-h_i\left(x_i+y_i^s-D_i^s\right)-p_i b_i^s

\end{array}\right]

\end{aligned}$     (15)

subject to:

1. Regular capacity constraint

$\sum_{i \in I} t_{i j} x_i \leq C_j^r, \forall j \in J$     (16)

2. Overtime capacity constraint

$\sum_{i \in I} t_{i j} y_i^s \leq C_j^o, \forall j \in J, s \in \mathrm{~S}$     (17)

3. Demand satisfaction

$d_i^s=x_i+y_i^s+n_i^s+e_i^s-b_i^s, \forall i \in I, s \in S$     (18)

4. Demand upperbound

$d_i^s \leq D_i^s, \forall i \in I, s \in S$     (19)

5. Non-negativity

$x_i, y_i^s, n_i^s, e_i^s, b_i^s, d_i^s \geq 0, \forall i \in I, s \in S$     (20)

B. Progressive Hedging Algorithm (PHA) Procedure

The PHA, introduced by Rockafellar and Wets [21], is applied to decompose the two-stage stochastic programming (TSSP) model into independent scenario subproblems. The procedure iteratively enforces non-anticipativity through quadratic penalty terms. The implementation steps are as follows:

Step 1. Initialization

Solve the Expected Value (EV) problem to obtain an initial first-stage decision $x^0$.

Initialize the Lagrange multipliers $\lambda_s^0=0$ for all scenarios $s \in S$.

Select the penalty parameter $\rho>0$.

Step 2. Scenario Subproblem Optimization

For each scenario $s$, solve the following subproblem independently:

$\min _{x^s, y^s} f^s\left(x^s, y^s\right)+\left(\lambda_s^k\right)^T\left(x_s-\bar{x}^k\right)+\frac{\rho}{2}\left\|x_s-\bar{x}^k\right\|^2$

where, $f^s\left(x^s, y^s\right)$ denotes the scenario-specific objective function including recourse terms.

Step 3. Consensus Update

Compute the weighted average first-stage decision across all scenarios:

$\bar{x}_k+1=\sum_{s \in S} \pi_s x_s^{k+1}$

where, $\pi_s$ is the probability of scenario $s$.

Step 4. Multiplier Update

Update the multipliers for each scenario:

$\lambda_s^{k+1}=\lambda_s^k+\rho\left(x_s^{k+1}-\bar{x}^{k+1}\right)$

Step 5. Convergence Check

The algorithm terminates if both of the following criteria are satisfied:

$\max _{s \in S}\left\|x_s^{k+1}-\bar{x}^{k+1}\right\| \leq \epsilon_x,\left|O b j^{k+1}-O b j^k\right| \leq \epsilon_f$

Otherwise, return to Step 2 and continue iterations until convergence.

C. Survey and Interview Instrument (Outline)

Section A. Respondent Profile

● Name of enterprise

● Owner/manager name (optional)

● Location (city/province)

● Main product types (e.g., tote bag, pouch, blanket, prayer mat)

● Number of workers

Section B. Production and Capacity

● Average processing time per product (hours/days)

● Regular working hours per month

● Overtime frequency and average overtime hours

● Additional labor requirements during peak seasons

Section C. Procurement and Supply

● Average lead time for raw material (normal procurement)

● Lead time under expedited procurement

● Typical shipping cost (normal vs. expedited)

● Instances of raw material shortages or delays

Section D. Demand and Sales

● Months with highest demand

● Events associated with demand peaks (Ramadhan/Eid, Christmas/New Year, school entry, bazaar/exhibition)

● Off-peak periods

● Typical order sizes during peak vs. off-peak seasons

Section E. Costs and Pricing

● Unit production costs (regular vs. overtime)

● Overtime wages per unit

● Average selling prices per product

● Backorder handling practice and associated costs

Section F. Risk and Adaptation

● Most common production risks encountered

● Strategies for handling late orders (e.g., overtime, expedited shipping)

● Managerial practices for balancing profit vs. service level

Section G. In-depth Interview Themes (4 MSMEs in Medan)

● Narratives of peak demand experiences (e.g., Ramadhan sales spike)

● Perceptions of shipping costs and lead time trade-offs

● Experiences with overtime and temporary labor hiring

● Perspectives on backorder penalties and customer satisfaction

  References

[1] Maran, R. (2022). Improving micro-, small and medium enterprise’s access to start-up financing in ASEAN countries. Journal of Research, Innovation and Technologies, 1(2): 121-140. https://doi.org/10.57017/jorit.v1.2(2).03

[2] Awamleh, F.T., Shwawreh, S., Al-Kharabsheh, S.A.I., Alzghoul, A. (2025). The integration of renewable energy adoption in sustainability practices for sustainable competitive advantage in Jordanian SMEs. Challenges in Sustainability, 13(1): 135-145. https://doi.org/10.56578/cis130110

[3] United Nations Conference on Trade and Development. (2024). Creative Economy Outlook 2024. https://unctad.org/system/files/official-document/ditctsce2024d2_en.pdf.

[4] Adhiana, A., Yanto, N., Tanjung, A.F., Yundriana, Y. (2025). Development strategy of micro, small and medium enterprises (MSMEs) Beujroh based on creative economy in increasing community income. Journal of Agriculture, 4(1): 34-52. https://doi.org/10.47709/joa.v4i01.5837

[5] Firdaus, F., Setyono, P., Gravitiani, E., Liquiddanu, E. (2025). Key drivers and barriers to circular economy practices in the global textile and fashion industries: Sustainable strategies for the Indonesian batik industry. International Journal of Sustainable Development and Planning, 20(1): 327-346. https://doi.org/10.18280/ijsdp.200130

[6] Lestariningsih, E., Maharani, K., Lestari, T.K. (2019). Measuring creative economy in Indonesia: Issues and challenges in data collection. Asia-Pacific Sustainable Development Journal, 2018(2): 99-117. 

[7] Barrera-Sánchez, A.J., García-Cáceres, R.G. (2025). Optimal inventory planning at the retail level, in a multi-product environment, enabled with stochastic demand and deterministic lead time. Logistics, 9(3): 128. https://doi.org/10.3390/logistics9030128

[8] Parkhan, A., Widodo, I.D., Fausa, E. (2023). Raw material inventory control on probabilistic demand and lead time using continuous review system. Journal of Industrial Engineering and Halal Industries, 4(2): 63-69. https://doi.org/10.14421/jiehis.4277

[9] Liu, X., Hu, J., Li, R., Xu, C., Lei, S. (2025). Optimal capacity planning for integrated charging microgrids along highways considering seasonal fluctuation and risk management. IEEE Transactions on Smart Grid, 16(5): 3772-3785. https://doi.org/10.1109/TSG.2025.3579941

[10] Rodríguez-Espíndola, O. (2023). Two-stage stochastic formulation for relief operations with multiple agencies in simultaneous disasters. OR Spectrum, 45(2): 477-523. https://doi.org/10.1007/s00291-023-00705-3

[11] Alfares, H.K. (2023). Introduction to optimization models and techniques. In Applied Optimization in the Petroleum Industry. Springer, Cham, pp. 25-53. https://doi.org/10.1007/978-3-031-24166-6_2

[12] Birge, J.R., Louveaux, F. (2011). Introduction to Stochastic Programming. 2nd ed. New York: Springer.

[13] Shapiro, A., Dentcheva, D., Ruszczynski, A. (2021). Lectures on Stochastic Programming: Modeling and Theory. Society for Industrial and Applied Mathematics. https://doi.org/10.1137/1.9780898718751

[14] Stanković, A., Simić, N., Stanković, M. (2025). Metaheuristic optimization for stochastic job scheduling in parallel machine systems with uncertain processing and setup times. Journal of Engineering Management and Systems Engineering, 4(3): 206-217. https://doi.org/10.56578/jemse040304

[15] Chou, X., Messina, E. (2023). Problem-driven scenario generation for stochastic programming problems: A survey. Algorithms, 16(10): 479. https://doi.org/10.3390/a16100479

[16] Basciftci, B., Ahmed, S., Gebraeel, N. (2024). Adaptive Two-Stage Stochastic Programming with an analysis on capacity expansion planning problem. Manufacturing & Service Operations Management, 26(6): 2121-2141. https://doi.org/10.1287/msom.2023.0157

[17] Hu, Z., Ramaraj, G., Hu, G. (2020). Production planning with a Two-Stage Stochastic Programming model in a kitting facility under demand and yield uncertainties. International Journal of Management Science and Engineering Management, 15(3): 237-246. https://doi.org/10.1080/17509653.2019.1710301

[18] Cremaschi, S., Siirola, J.D. (2018). Solution approaches to stochastic programming problems under endogenous and/or exogenous uncertainties. Computer Aided Chemical Engineering, 44: 101-102. https://doi.org/10.1016/B978-0-444-64241-7.50011-2

[19] Karahan, O.S., Aydin, N., Karatas, E. (2025). Significance of stochastic programming in addressing production planning under uncertain demand in the metal industry sector. An International Journal of Optimization and Control: Theories & Applications, 15(1): 14. https://doi.org/10.36922/ijocta.1704

[20] Kungwalsong, K., Cheng, C.Y., Yuangyai, C. Janjarassuk, U. (2021). Two-stage stochastic program for supply chain network design under facility disruptions. Sustainability, 13(5): 2596. https://doi.org/10.3390/su13052596

[21] Rockafellar, R.T., Wets, R.J.B. (1991). Scenarios and policy aggregation in optimization under uncertainty. Mathematics of Operations Research, 16(1): 119-147. https://doi.org/10.1287/moor.16.1.119

[22] Gade, D., Hackebeil, G., Ryan, S.M., Watson, J.P., Wets, R.J.B., Woodruff, D.L. (2016). Obtaining lower bounds from the progressive hedging algorithm for stochastic mixed-integer programs. Mathematical Programming, 157(1): 47-67. https://doi.org/10.1007/s10107-016-1000-z

[23] Fani, A., Naseri, H., Golroo, A., Mirhassani, S.A., Gandomi, A.H. (2022). A progressive hedging approach for large-scale pavement maintenance scheduling under uncertainty. International Journal of Pavement Engineering, 23(7): 2460-2472. https://doi.org/10.1080/10298436.2020.1859506

[24] Wen, Z., Zhang, X., Wang, G., Li, Y., Qiu, J., Wen, F. (2024). Data-driven stochastic-robust planning for resilient hydrogen-electricity system with progressive hedging decoupling. IEEE Transactions on Sustainable Energy, 16(3): 1545-1561. https://doi.org/10.1109/TSTE.2024.3519614

[25] Lagos, F. (2025). Scenario consensus algorithms for solving stochastic and dynamic problems. Journal of Global Optimization, 93(1): 175-213. https://doi.org/10.1007/s10898-025-01531-3

[26] Farghadani-Chaharsooghi, P., Doulabi, H.H., Rei, W., Gendreau, M. (2025). Stochastic casualty response planning with multiple classes of patients. Computers & Operations Research, 183: 107165. https://doi.org/10.1016/j.cor.2025.107165

[27] Thaeer Hammid, A., Awad, O.I., Sulaiman, M.H., Gunasekaran, S.S., Mostafa, S.A., Manoj Kumar, N., Abdulhasan, R.A. (2020). A review of optimization algorithms in solving hydro generation scheduling problems. Energies, 13(11): 2787. https://doi.org/10.3390/en13112787

[28] Atiyah, B.M., Hameed, A.H. (2024). An examination of optimization techniques for resolving hydro generation scheduling issues. Edison Journal for Electrical and Electronics Engineering, 2: 50-56. https://doi.org/10.62909/ejeee.2024.008

[29] Hidayati, W., Sitompul, M.G. (2022). Hybrid channel: MSME collaboration in digital marketing in post COVID-19: Case study on MSMEs in Pangkajene Kepulauan Region. South Asian Journal of Social Studies and Economics, 16(3): 10-19. 

[30] Molina-Abril, G., Calvet, L., Juan, A.A., Riera, D. (2025). Strategic decision-making in SMEs: A review of heuristics and machine learning for multi-objective optimization. Computation, 13(7): 173. https://doi.org/10.3390/computation13070173

[31] Puspitasari, R.D., Nur, I., Ilmas, D.N.A.N. (2023). Business resilience and creative economy post COVID-19: Re-energizing MSMEs through Islamic economy in the perspective of Maqāṣid Sharī’ah. European Journal of Business and Management Research, 8(4): 267-275. https://doi.org/10.24018/ejbmr.2023.8.4.2032

[32] Debnath, A., Sarkar, B. (2024). Supply chain model having stochastic lead time demand with variable production rate and demand dependent on price and advertisement. RAIRO-Operations Research, 58(4): 2645-2667. https://doi.org/10.1051/ro/2023191

[33] Roy, M.K., Sakale, R.K. (2024). Stochastic inventory models for deteriorating items with random lead time and demand. Journal of Advances and Scholarly Researches in Allied Education, 21(5): 351-358. https://doi.org/10.29070/28ws4b18

[34] Peng, Z., Zhang, Y., Feng, Y., Rong, G., Su, H. (2019). A progressive hedging-based solution approach for integrated planning and scheduling problems under demand uncertainty. Industrial & Engineering Chemistry Research, 58(32): 14880-14896. https://doi.org/10.1021/acs.iecr.9b02620

[35] Rajan, S., Sundar, K., Gautam, N. (2022). Routing problem for unmanned aerial vehicle patrolling missions–A progressive hedging algorithm. Computers & Operations Research, 142: 105702. https://doi.org/10.1016/j.cor.2022.105702

[36] Bareilles, G., Laguel, Y., Grishchenko, D., Iutzeler, F., Malick, J. (2020). Randomized progressive hedging methods for multi-stage stochastic programming. Annals of Operations Research, 295(2): 535-560. https://doi.org/10.1007/s10479-020-03811-5

[37] Sun, J., Xu, H., Zhang, M. (2020). A new interpretation of the progressive hedging algorithm for multistage stochastic minimization problems. Journal of Industrial and Management Optimization, 16(4): 1655-1662. https://doi.org/10.3934/jimo.2019022

[38] Adasme, P., Leung, J., Soto, I. (2017). Progressive hedging and sample average approximation for the two-stage stochastic traveling salesman problem. In 6th International Conference on Operations Research and Enterprise Systems - ICORES, Porto, Portugal, pp. 440-446. https://doi.org/10.5220/0006241304400446

[39] Christiansen, J., Dandurand, B., Eberhard, A., Oliveira, F. (2023). A study of progressive hedging for stochastic integer programming. Computational Optimization and Applications, 86(3): 989-1034. https://doi.org/10.1007/s10589-023-00532-w

[40] Matias, F., Miranda, S., Yildiz, O., Chávez, P., Alvarez, J.C. (2025). A data-driven approach to lean and digital process re-modeling for sustainable textile production: A case study. Sustainability, 17(19): 8888. https://doi.org/10.3390/su17198888

[41] Afnaria, A., Sari, R.F., Octariani, D., Rambe, I.H. (2025). Integer linear programming for patchwork production planning optimization with demand uncertainty. ZERO: Jurnal Sains, Matematika dan Terapan, 9(1): 191-200. https://doi.org/10.30829/zero.v9i1.24349