Mathematical Modelling of Immobilized α-Chymotrypsin Enzyme in Acetonitrile Medium Under Kinetic Control Using Rajendran-Joy Approach

Mathematical Modelling of Immobilized α-Chymotrypsin Enzyme in Acetonitrile Medium Under Kinetic Control Using Rajendran-Joy Approach

Menaka Muthuramu Manimaran Rajendran*

Department of Mathematics, Faculty of Engineering and Technology, SRM Institute of Science and Technology, Vadapalani Campus, Chennai 600026, India

Corresponding Author Email: 
Manimarr1@srmist.edu.in
Page: 
1221-1229
|
DOI: 
https://doi.org/10.18280/mmep.120413
Received: 
19 August 2024
|
Revised: 
15 October 2024
|
Accepted: 
20 October 2024
|
Available online: 
30 April 2025
| Citation

© 2025 The authors. This article is published by IIETA and is licensed under the CC BY 4.0 license (http://creativecommons.org/licenses/by/4.0/).

OPEN ACCESS

Abstract: 

A mathematical model of reaction-diffusion processes in immobilized chymotrypsin enzyme in an acetonitrile medium under kinetic control is discussed. The model is developed using a system of reaction-diffusion equations with a nonlinear component associated with the enzymatic reaction's kinetics. The Rajendran-Joy approach gives the general analytical expressions of acyl donor and nucleophile concentrations in spherical biocatalyst particles. The initial rate of consumption of each substrate is also reported. The effect of reaction and diffusion parameters on substrate concentration and consumption rate is also discussed. A numerical solution of nonlinear equations was compared with theoretical results. There is a good degree of agreement between the two results.

Keywords: 

mathematical modelling, numerical simulation, nonlinear equations, reaction diffusion processes, Rajendran-Joy method

1. Introduction

Recently, there has been a lot of interest in enzymes and biological catalysts, especially for monophasic chemical solvents [1-5]. When enzymes are compressed into cellular organelles or enzyme chains, catalytic activity can occur [6]. The catalytic systems generated here are heterogeneous, and most enzymes are insoluble. When evaluating enzyme activity, it is critical to consider the roles of external and internal diffusion of non-aqueous enzyme systems [7]. These problems could be resolved using immobilized enzymes. By immobilization, the structure of the enzymes is often maintained, permitting their usage even under extreme environments [8, 9].

Theories concerning biocatalyst behaviour are based on fundamental physical or chemical analyses. It is advantageous to apply thermodynamic approaches that consider the components' distribution throughout the different phases and their solvent in the bulk phase [10, 11]. Enzymes are beneficial in various applications, including food-related conversions, analysis, and chemical processing [12]. One area where enzymes have proven particularly useful is in producing optically active intermediates. These are chemical compounds that rotate the plane of polarized light. Studying simultaneous diffusion and reaction is essential for optimizing the catalytic system, as demonstrated by the many articles that describe and numerically simulate these processes [13-18]. A model was developed to describe the kinetic regulation of immobilized a-chymotrypsin's production in an acetonitrile medium [19].

The simple analytical expression of the acyl donor and nucleophile molar concentrations has not been published using simple mathematical concepts. In this work, we developed a new analytical expression concentration using Rajendran-Joy method. Furthermore, each substrate's analytical expression of rate consumption has been provided. With analytical data support, comprehending the physical influence of each parameter will be simple. The theoretical results will help to understand the physical impact of parameters, which will be useful in analysing the rate of consumption of substrates and optimising the processes. Additionally, we compare our analytical results for the molar concentrations with the numerical simulations using the MATLAB program.

2. Mathematical Formulation

We can consider the function of immobilized chymotrypsin in an acetonitrile medium under kinetic control. Also, the enzymes have been distributed evenly in the spherical biocatalyst particles. External mass transfer limitations were considered negligible. Under these conditions, the chemical reaction in enzyme-catalyzed reactions may be described as follows [19]:

$AcD+Nuc\to Pep+LG$     (1)

Hydroylsis of acyl donor:

$AcD+{{H}_{2}}O\to Hyp+LG$     (2)

The mass balance equations for peptide and hydrolysis products can be expressed for the above intrinsic kinetics as follows:

$\frac{{{d}^{2}}\left[ AcD \right]}{d{{r}^{2}}}+\frac{2}{r}\frac{d\text{ }\!\!~\!\!\text{ }\left[ AcD \right]}{dr}$$=\text{ }\!\!~\!\!\text{ }\frac{\left( {{k}_{Synth}}\left[ Nuc \right]+{{k}_{Hydr}} \right)\left[ AcD \right]\left[ {{E}_{0}} \right]}{{{D}_{Aeff}}\left( {{k}_{N}}+\left[ Nuc \right] \right)}$    (3) 

$\frac{{{d}^{2}}\left[ Nuc \right]\text{ }\!\!~\!\!\text{ }}{d{{r}^{2}}}+\frac{2}{r}\frac{d\text{ }\!\!~\!\!\text{ }\left[ Nuc \right]}{dr}=\text{ }\!\!~\!\!\text{ }\frac{{{k}_{Synth}}\left[ Nuc \right]\text{ }\!\!~\!\!\text{ }\left[ AcD \right]\left[ {{E}_{0}} \right]}{{{D}_{Neff}}\left( {{k}_{N}}+\left[ Nuc \right] \right)}$     (4)

The boundary conditions are:

$At~r=0,\text{ }\!\!~\!\!\text{  }\!\!~\!\!\text{ }\frac{d\left[ AcD \right]}{d~\text{ }\!\!~\!\!\text{ }r}=0,\text{ }\!\!~\!\!\text{  }\!\!~\!\!\text{ }\frac{d~\left[ Nuc \right]}{d~\text{ }\!\!~\!\!\text{ }r}=0$     (5)

$At~r=R,\text{ }\!\!~\!\!\text{  }\!\!~\!\!\text{ }\left[ AcD \right]={{\left[ AcD \right]}_{B}},\text{ }\!\!~\!\!\text{ }$ $\left[ Nuc \right]={{\left[ Nuc \right]}_{B}}$      (6)

where, [AcD] and [Nuc] are the molar concentration of acyl donor and nucleophile. The other parameters are defined in the nomenclature. For every substrate, the initial rate of consumption is:

$Rat{{e}_{A}}=\text{ }\!\!~\!\!\text{ }\frac{4\text{ }\!\!~\!\!\text{ }\pi \text{ }\!\!~\!\!\text{ }{{R}^{2}}{{D}_{Aeff}}}{{{M}_{p}}}{{\left( \frac{d\left[ AcD \right]\text{ }\!\!~\!\!\text{ }}{d~\text{ }\!\!~\!\!\text{ }r} \right)}_{r=R}}$     (7)

$Rat{{e}_{N}}=\text{ }\!\!~\!\!\text{ }\frac{4\text{ }\!\!~\!\!\text{ }\pi \text{ }\!\!~\!\!\text{ }{{R}^{2}}{{D}_{Neff}}}{{{M}_{p}}}{{\left( \frac{d\left[ Nuc \right]\text{ }\!\!~\!\!\text{ }}{d~\text{ }\!\!~\!\!\text{ }r} \right)}_{r=R}}$      (8)

By introducing the dimensionless variables:

$\begin{gathered}u=\frac{[A c D]}{[A c D]_B}, v=\frac{[N u c]}{[N u c]_B} \\ x=\frac{r}{R}, \gamma_1=\frac{R^2 k_{H y d r}[A c D]_B E_0}{D_{ {Aeff }} k_N} \\ \gamma_2=\frac{R^2 k_{ {Synth}}[A c D]_B[N u c]_B E_0}{D_{ {Neff }} k_N} \\ \alpha_1=\frac{k_{ {Synth }}[N u c]_B}{k_{ {Hydr }}}, \alpha_2=\frac{[N u c]_B}{k_N}\end{gathered}$     (9)

The Eqs. (3) and (4) reduce to the following dimensionless form:

$\frac{{{d}^{2}}u\left( x \right)\text{ }\!\!~\!\!\text{ }}{d{{x}^{2}}}+\frac{2}{x}\frac{du\left( x \right)}{dx}=\text{ }\!\!~\!\!\text{ }\frac{{{\gamma }_{1~}}\text{ }\!\!~\!\!\text{ }u\left( x \right)\left( 1+{{\alpha }_{1~}}\text{ }\!\!~\!\!\text{ }v\left( x \right) \right)}{1+\text{ }\!\!~\!\!\text{ }{{\alpha }_{2~}}\text{ }\!\!~\!\!\text{ }v\left( x \right)}$     (10)

$\frac{{{d}^{2}}v\left( x \right)\text{ }\!\!~\!\!\text{ }}{d{{x}^{2}}}+\frac{2}{x}\frac{dv\left( x \right)}{dx}=\text{ }\!\!~\!\!\text{ }\frac{{{\gamma }_{2~}}\text{ }\!\!~\!\!\text{ }u\left( x \right)v\left( x \right)}{1+\text{ }\!\!~\!\!\text{ }{{\alpha }_{2~}}\text{ }\!\!~\!\!\text{ }v\left( x \right)}$    (11)

The boundary condition becomes:

$At~x=0,\text{ }\!\!~\!\!\text{  }\!\!~\!\!\text{ }\frac{d~\text{ }\!\!~\!\!\text{ }u}{d~\text{ }\!\!~\!\!\text{ }x}=0,\text{ }\!\!~\!\!\text{  }\!\!~\!\!\text{ }\frac{d~\text{ }\!\!~\!\!\text{ }v}{d~\text{ }\!\!~\!\!\text{ }x}=0$     (12)

$At~x=1,\text{ }\!\!~\!\!\text{  }\!\!~\!\!\text{ }u=1,\text{ }\!\!~\!\!\text{  }\!\!~\!\!\text{ }v=1$     (13)

The dimensionless form of initial rate of consumption each substrate is:

$\frac{Rat{{e}_{A}}}{\mu }=\text{ }\!\!~\!\!\text{ }{{\left( \frac{d\text{ }\!\!~\!\!\text{ }~u\text{ }\!\!~\!\!\text{ }}{d\text{ }\!\!~\!\!\text{ }~x} \right)}_{x=1}}$      (14)

$\frac{Rat{{e}_{N}}}{\eta }=\text{ }\!\!~\!\!\text{ }{{\left( \frac{d\text{ }\!\!~\!\!\text{ }~v\text{ }\!\!~\!\!\text{ }}{d\text{ }\!\!~\!\!\text{ }~x} \right)}_{x=1}}$      (15)

where,

$\mu =\text{ }\!\!~\!\!\text{ }\frac{4\text{ }\!\!~\!\!\text{ }\pi \text{ }\!\!~\!\!\text{ }{{R}^{2}}{{D}_{Aeff}}{{\left[ AcD \right]}_{B}}}{{{M}_{p}}},\text{ }\!\!~\!\!\text{ }\eta =\text{ }\!\!~\!\!\text{ }\frac{4\text{ }\!\!~\!\!\text{ }\pi \text{ }\!\!~\!\!\text{ }{{R}^{2}}{{D}_{Neff}}{{\left[ Nuc \right]}_{B}}}{{{M}_{p}}}$     (16)

3. Result and Discussion

3.1 Analytical expression of concentration and initial rate of consumption

There are several asymptotic techniques for solving nonlinear reaction-diffusion equations. Recently, the homotopy perturbation [20-24]. Tayor series [25-28], variational iteration [29-31], Pade approximations [32]. Akbari-Ganji [33-37], Rajendran-Joy [38-40], Adomian decomposition [41, 42], and homotopy analysis methods [43] have been used to solve nonlinear equations.

Although the homotopy perturbation method solves some issues with the traditional perturbation method, it is not always possible to expect a compact answer. The presumed solution in the Akbari-Ganji method is expressed in the algebraic form $\left( \text{i.e.,}~u\left( x\text{ }\!\!\!\!\text{ } \right)=a+bx+c{{x}^{2}}+\ldots  \right).$This approach is inapplicable for the semi-infinite boundary value problems i.e., $x\epsilon \left[ 0,\infty  \right].$ The solutions derived from the Taylor series and the variational iteration approach are inconsistently convergent. Although Adomian decomposition method is often efficient, the convergence of the series only sometimes results in a compact solution. This method also has the disadvantage of requiring the computation of Adomian polynomials, which may be challenging. Homotopy analysis approaches have limitations, such as the incorporation of auxiliary operators, parameters, and functions.

In the Rajendran-Joy approach, an initial solution is considered an exponential function with unknown coefficients. The number of unknown coefficients in the initial solution is greater than the order of the differential equation. These unknown constant coefficients, which are the key to solving the linear/nonlinear differential equation, can be obtained from the initial conditions and the differential equation. The basic concept of the Rajendran-Joy method (RJM) is given in Appendix A. Consider the following exponential function to solve Eqs. (10) and (11):

$u\left( x\text{ }\!\!~\!\!\text{ } \right)={{A}_{0}}{{e}^{mx}}+{{B}_{0}}{{e}^{-mx}}$     (17)

$v\left( x\text{ }\!\!~\!\!\text{ } \right)={{A}_{1}}{{e}^{nx}}+{{B}_{1}}{{e}^{-nx}}$     (18)

where, ${{A}_{0}},\text{ }\!\!~\!\!\text{ }{{B}_{0}},\text{ }\!\!~\!\!\text{ }{{A}_{1}},{{B}_{1}},\text{ }\!\!~\!\!\text{ }m\text{ }\!\!~\!\!\text{ and }\!\!~\!\!\text{ }n\text{ }\!\!~\!\!\text{ }$are constant. Determining the constant values using boundary conditions (12) and (13) is simple:

${{A}_{0\text{ }\!\!~\!\!\text{ }}}=\text{ }\!\!~\!\!\text{ }\frac{1}{\cosh \left( m \right)},{{A}_{1\text{ }\!\!~\!\!\text{ }}}=\text{ }\!\!~\!\!\text{ }\frac{1}{\cosh \left( n \right)},\text{ }\!\!~\!\!\text{ }$${{B}_{0\text{ }\!\!~\!\!\text{ }}}=\text{ }\!\!~\!\!\text{ }0,\text{ }\!\!~\!\!\text{ and }\!\!~\!\!\text{ }{{B}_{1\text{ }\!\!~\!\!\text{ }}}=\text{ }\!\!~\!\!\text{ }0$     (19)

As a result, Eqs. (17) and (18) become:

$u\left( x \right)=\text{ }\!\!~\!\!\text{ }\frac{\cosh \text{ }\!\!~\!\!\text{ }(m~\text{ }\!\!~\!\!\text{ }x\text{)}}{\cosh \left( m \right)}$     (20)

$v\left( x \right)=\text{ }\!\!~\!\!\text{ }\frac{\cosh \text{ }\!\!~\!\!\text{ }(n~\text{ }\!\!~\!\!\text{ }x\text{)}}{\cosh \left( n \right)}$     (21)

We consider the generalized version of Eqs. (10) and (11) to find the constant $m\text{ }\!\!~\!\!\text{ and }\!\!~\!\!\text{ n }\!\!~\!\!\text{ }$in Eqs. (20) and (21) as follows:

$F\left( x \right)=\frac{{{d}^{2}}u\left( x \right)\text{ }\!\!~\!\!\text{ }}{d{{x}^{2}}}+\frac{2}{x}\frac{du\left( x \right)}{dx}-\text{ }\!\!~\!\!\text{ }\frac{{{\gamma }_{1~}}\text{ }\!\!~\!\!\text{ }u\left( x \right)\left( 1+{{\alpha }_{1~}}\text{ }\!\!~\!\!\text{ }v\left( x \right) \right)}{1+\text{ }\!\!~\!\!\text{ }{{\alpha }_{2~}}\text{ }\!\!~\!\!\text{ }v\left( x \right)}=0$    (22)

$G\left( x \right)=\text{ }\!\!~\!\!\text{ }\frac{{{d}^{2}}v\left( x \right)\text{ }\!\!~\!\!\text{ }}{d{{x}^{2}}}+\frac{2}{x}\frac{dv\left( x \right)}{dx}-\frac{{{\gamma }_{2~}}\text{ }\!\!~\!\!\text{ }u\left( x \right)v\left( x \right)}{1+\text{ }\!\!~\!\!\text{ }{{\alpha }_{2~}}\text{ }\!\!~\!\!\text{ }v\left( x \right)}=0$    (23)

Applying L-Hospitals’ rule in the Eqs. (22) and (23), and at $x=0$, we get:

${{\left. F\left( x \right) \right|}_{x=0}}=\text{ }\!\!~\!\!\text{ }3{{m}^{2}}-\text{ }\!\!~\!\!\text{ }\frac{{{\gamma }_{2~}}\text{ }\!\!~\!\!\text{ }\left( 1+{{\alpha }_{1~}}\text{ }\!\!~\!\!\text{ }sechn \right)}{\text{ }\!\!~\!\!\text{ }1+\text{ }\!\!~\!\!\text{ }{{\alpha }_{2~}}\text{ }\!\!~\!\!\text{ }sechn}=0$     (24)

${{\left. G\left( x \right) \right|}_{x=0}}=\text{ }\!\!~\!\!\text{ }3{{n}^{2}}-\text{ }\!\!~\!\!\text{ }\frac{{{\gamma }_{2~}}sechm}{1+\text{ }\!\!~\!\!\text{ }{{\alpha }_{2~}}\text{ }\!\!~\!\!\text{ }sechn}=0$     (25)

From the above result we get:

$m=\sqrt{\frac{{{\gamma }_{1}}(1+{{\alpha }_{1}}\text{sech}n)}{3\text{ }\!\!~\!\!\text{ }\left( 1+{{\alpha }_{2}}\text{sech}n \right)}}$    $n=\sqrt{\frac{{{\gamma }_{2}}\text{sech}\left( \sqrt{\frac{{{\gamma }_{1}}(1+{{\alpha }_{1}}\text{sech}n)}{3\text{ }\!\!~\!\!\text{ }\left( 1+{{\alpha }_{2}}\text{sech}n \right)}} \right)}{3\text{ }\!\!~\!\!\text{ }\left( 1+{{\alpha }_{2}}\text{sech}n \right)}}$     (26)

When $m$ and $n$ are very small, $sechn=~1$. Now $m$ and $n$ become:

$m=\sqrt{\frac{{{\gamma }_{1}}\left( 1+{{\alpha }_{1}} \right)}{3\text{ }\!\!~\!\!\text{ }\left( 1+{{\alpha }_{2}} \right)}}$ and $n=\sqrt{\frac{{{\gamma }_{2}}}{3\text{ }\!\!~\!\!\text{ }\left( 1+{{\alpha }_{2}} \right)}}$     (27)

The initial rate of consumption of each substrate is:

$\frac{Rat{{e}_{A}}}{\mu }=\text{ }\!\!~\!\!\text{ }{{\left( \frac{d~\text{ }\!\!~\!\!\text{ }u\text{ }\!\!~\!\!\text{ }}{d~\text{ }\!\!~\!\!\text{ }x} \right)}_{x=1}}$ $=\text{ }\!\!~\!\!\text{ }\left( \sqrt{\frac{{{\gamma }_{1}}\left( 1+{{\alpha }_{1}} \right)}{3\text{ }\!\!~\!\!\text{ }\left( 1+{{\alpha }_{2}} \right)}} \right)\text{ }\!\!~\!\!\text{ }tanh\left( \sqrt{\frac{{{\gamma }_{1}}\left( 1+{{\alpha }_{1}} \right)}{3\text{ }\!\!~\!\!\text{ }\left( 1+{{\alpha }_{2}} \right)}} \right)$     (28)

$\frac{Rat{{e}_{N}}}{\eta }=\text{ }\!\!~\!\!\text{ }{{\left( \frac{d~\text{ }\!\!~\!\!\text{ }v\text{ }\!\!~\!\!\text{ }}{d~\text{ }\!\!~\!\!\text{ }x} \right)}_{x=1}}$$=\left( \sqrt{\frac{{{\gamma }_{2}}}{3\text{ }\!\!~\!\!\text{ }\left( 1+{{\alpha }_{2}} \right)}} \right)\tanh \left( \sqrt{\frac{{{\gamma }_{2}}}{3\text{ }\!\!~\!\!\text{ }\left( 1+{{\alpha }_{2}} \right)}} \right)$     (29)

3.2 Previous analytical results

Veeramuni et al. [9] solved Eqs. (10) and (11) using boundary conditions (12) and (13), employing the Adomian decomposition method. Adomian [44] created the Adomian decomposition technique (ADM) between the 1970s and the 1990s. This technique is not only efficient but also versatile, capable of resolving various linear, nonlinear, ordinary, and partial differential equations, as well as integral transforms. They obtained the analytical equation for the concentration as follows:

$u\left( x \right)=\text{ }\!\!~\!\!\text{ }1-\text{ }\!\!~\!\!\text{ }\frac{\left( A-6{{l}_{1}} \right)\left( {{x}^{2}}-1 \right)}{36}+\frac{A\text{ }\!\!~\!\!\text{ }\left( {{x}^{4}}-1 \right)}{120}$     (30)

$v\left( x \right)=\text{ }\!\!~\!\!\text{ }1-\text{ }\!\!~\!\!\text{ }\frac{\left( B-6{{m}_{1}} \right)\left( {{x}^{2}}-1 \right)}{36}+\frac{B\text{ }\!\!~\!\!\text{ }\left( {{x}^{4}}-1 \right)}{120}$     (31)

where,

${{l}_{1}}=\text{ }\!\!~\!\!\text{ }\frac{{{\gamma }_{1}}\left( 1+{{\alpha }_{1}} \right)}{\left( 1+{{\alpha }_{2}} \right)},\text{ }\!\!~\!\!\text{ }{{m}_{1}}=\text{ }\!\!~\!\!\text{ }\frac{{{\gamma }_{2}}}{\left( 1+{{\alpha }_{2}} \right)}$$A=\text{ }\!\!~\!\!\text{ }l_{1}^{2}+\frac{m_{1\text{ }\!\!~\!\!\text{ }}^{2}}{{{\gamma }_{2}}}\left( {{\gamma }_{1}}{{\alpha }_{1}}-{{\alpha }_{2}}{{l}_{1}} \right)\text{ }\!\!~\!\!\text{ and }\!\!~\!\!\text{ }B={{m}_{1}}\left( \frac{m_{1\text{ }\!\!~\!\!\text{ }}^{2}}{{{\gamma }_{2}}}+{{l}_{1}} \right)$     (32)

The initial rate of consumption of each substrate is:

$\frac{Rat{{e}_{A}}}{\mu }=\text{ }\!\!~\!\!\text{ }{{\left( \frac{d~\text{ }\!\!~\!\!\text{ }u\text{ }\!\!~\!\!\text{ }}{d~\text{ }\!\!~\!\!\text{ }x} \right)}_{x=1}}=\text{ }\!\!~\!\!\text{ }-\text{ }\!\!~\!\!\text{ }\frac{\left( A-6{{l}_{1}} \right)}{18}+\frac{A\text{ }\!\!~\!\!\text{ }}{30}$    (33)

$\frac{Rat{{e}_{N}}}{\eta }=\text{ }\!\!~\!\!\text{ }{{\left( \frac{d~\text{ }\!\!~\!\!\text{ }v\text{ }\!\!~\!\!\text{ }}{d~\text{ }\!\!~\!\!\text{ }x} \right)}_{x=1}}=-\text{ }\!\!~\!\!\text{ }\frac{\left( B-6{{m}_{1}} \right)}{18}+\frac{B\text{ }\!\!~\!\!\text{ }}{30}$     (34)

The ADM has limitations, however. The first is that the approach produces a series of solutions that need to be shortened for practical use. Also, it is challenging to find Adomian polynomials. However, using the RJM approach, we can quickly determine the coefficients. Also, ADM method fail to provide some significant information beyond a finite interval [45].

3.3 Validation of the analytical methods

The nonlinear Eqs. (10) and (11) are also numerically solved using MATLAB program. In Tables 1 and 2, the numerical outcomes are compared with our new analytical and prior findings. The average error difference percentage between the numerical results and our new findings across all parameter values is 0.8598. The greatest average error variation between the numerical and prior results (ADM method) is 1.3752. Tables 1 and 2 indicate that the nucleophile concentration near the particle centre consistently exceeds that of the acyl donor. This is because limits on mass transfer have more impact on the acyl donor than on the nucleophilic substrate.

Table 1. Comparison of dimensionless substrate concentration $u\left( x \right)$ for different parameter values of ${{\gamma }_{2}}$ when ${{\text{ }\!\!\gamma\!\!\text{ }}_{\text{1}}}\text{= }\!\!~\!\!\text{ 0}\text{.01, }\!\!~\!\!\text{ }{{\text{ }\!\!\alpha\!\!\text{ }}_{\text{1}}}=0.01\text{, }\!\!~\!\!\text{ and }\!\!~\!\!\text{ }{{\text{ }\!\!\alpha\!\!\text{ }}_{\text{2}}}=0.01$ with simulation results and previous analytical results

         $\chi $

                      ${{\gamma }_{1}}=1,m=0.5773503$

                   ${{\gamma }_{1}}=2,m=0.8164966$

Numerical

RJM

Eq. (16)

This Work

ADM [41]

Eq. (21)

Error % RJM Eq. (16)

This Work

Error % ADM [41]

Eq. (21)

Numerical

RJM

Eq. (16)

This Work

ADM [41]

Eq. (21)

Error % RJM

Eq. (16)

This Work

Error % ADM [41]

Eq. (21)

0

0.8509

0.8537

0.8539

0.3291

0.3527

0.7308

0.7395

0.7444

1.1905

1.8610

0.2

0.8567

0.8595

0.8597

0.3268

0.3501

0.7408

0.7496

0.7536

1.1879

1.7279

0.4

0.8743

0.8771

0.8770

0.3203

0.3088

0.7713

0.7801

0.7816

1.1409

1.3354

0.6

0.9040

0.9065

0.9067

0.2765

0.2986

0.8237

0.8319

0.8306

0.9955

0.8377

0.8

0.9466

0.9483

0.9489

0.1795

0.2430

0.9006

0.9064

0.9038

0.6440

0.3553

1

1.0000

1.0000

1.0000

0.0000

0.0000

1.0000

1.0000

1.0000

0.0000

0.0000

 

Average error (%)

0.2387

0.2587

Average error (%)

0.8598

1.0195

Table 2. Comparison of dimensionless substrate concentration $v\left( x \right)$ for different parameter values of ${{\gamma }_{1}}$ when ${{\text{ }\!\!\gamma\!\!\text{ }}_{\text{2}}}\text{= }\!\!~\!\!\text{ 0}\text{.01, }\!\!~\!\!\text{ }{{\text{ }\!\!\alpha\!\!\text{ }}_{\text{1}}}=0.1\text{, }\!\!~\!\!\text{ and }\!\!~\!\!\text{ }{{\text{ }\!\!\alpha\!\!\text{ }}_{\text{2}}}=0.1$ with simulation results and previous analytical result

         $\chi $

                       ${{\gamma }_{2}}=1,n=0.574419$

                       ${{\gamma }_{2}}=2,n=0.81281$

Numerical

RJM

Eq. (17)

This Work

ADM [41]

Eq. (22)

Error % RJM

Eq. (17)

This Work

Error %

ADM [41]

Eq. (22)

Numerical

RJM

Eq. (17)

This Work

ADM [41]

Eq. (22)

Error % RJM

Eq. (17)

This Work

Error %

ADM [41]

Eq. (22)

0

0.8523

0.8550

0.8554

0.3168

0.3637

0.7328

0.7413

0.7458

1.1599

1.7740

0.2

0.8580

0.8608

0.8609

0.3263

0.3263

0.7427

0.7513

0.7549

1.1579

1.6426

0.4

0.8754

0.8782

0.8791

0.3198

0.4223

0.7730

0.7817

0.7829

1.1255

1.2807

0.6

0.9049

0.9074

0.9075

0.2763

0.2873

0.8250

0.8331

0.8316

0.9818

3.2242

0.8

0.9471

0.9488

0.9490

0.1795

0.2006

0.9014

0.9071

0.9044

0.6323

0.3328

1

1.0000

1.0000

1.0000

0.0000

0.0000

1.0000

1.0000

1.0000

0.0000

0.0000

 

Average error (%)

0.2364

0.2667

Average error (%)

0.8429

1.3752

3.4 Effects of the parameters on concentration and initial rate of consumption

The substrate concentrations depend upon the diffusion parameters ${{\text{ }\!\!\gamma\!\!\text{ }}_{\text{1}}}~$and$\text{ }\!\!~\!\!\text{ }{{\text{ }\!\!\gamma\!\!\text{ }}_{2}}$and reaction parameters ${{\text{ }\!\!\alpha\!\!\text{ }}_{\text{1}}}$ and ${{\text{ }\!\!\alpha\!\!\text{ }}_{\text{2}}}.$

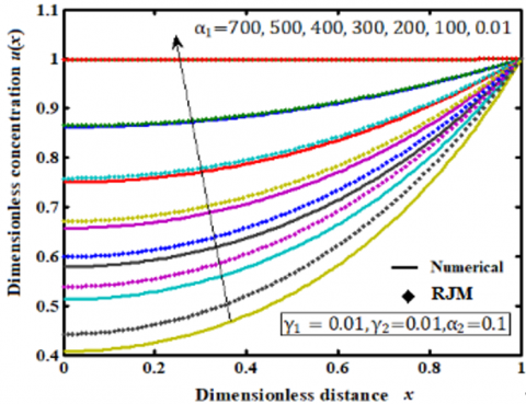
The diffusion parameters are directly propositional to enzyme load and inversely proportional to diffusion coefficients. The kinetics rate constant and the reaction parameters have an inverse relationship. In Figures 1(a)-(b), the substrate's concentration profile for various diffusion parameter ${{\text{ }\!\!\gamma\!\!\text{ }}_{\text{1}}}\text{ }\!\!~\!\!\text{ }$and$\text{ }\!\!~\!\!\text{ }{{\text{ }\!\!\alpha\!\!\text{ }}_{\text{1}}}$ is plotted using Eq. (21). These figures show that the concentration value is close to 1 ($u\left( x \right)\approx $1) or uniform for all small values of the parameters. The concentration consequently declines as the diffusion parameters ${{\text{ }\!\!\gamma\!\!\text{ }}_{\text{1}}}\text{ }\!\!~\!\!\text{ and }\!\!~\!\!\text{ }{{\text{ }\!\!\alpha\!\!\text{ }}_{\text{1}}}$ decreased (Figures 1(c)-(d)).

(a)

(b)

(c)

(d)

Note: The dotted line shows the Eq. (16), while the solid line is the numerical outcomes.

Figure 1. Comparison of analytical result for concentration of acyl donor $u\left( x \right)$ with simulation result for various value for ${{\text{ }\!\!\gamma\!\!\text{ }}_{\text{1}}},{{\text{ }\!\!\gamma\!\!\text{ }}_{\text{2}}}\text{, }\!\!~\!\!\text{ }{{\text{ }\!\!\alpha\!\!\text{ }}_{\text{1}}}\text{ }\!\!~\!\!\text{ and }\!\!~\!\!\text{ }{{\text{ }\!\!\alpha\!\!\text{ }}_{\text{2}}}$

The concentration v(x) for various diffusion parameter values ${{\text{ }\!\!\gamma\!\!\text{ }}_{\text{1}}}\text{ }\!\!~\!\!\text{ }$and$\text{ }\!\!~\!\!\text{ }{{\text{ }\!\!\gamma\!\!\text{ }}_{\text{2}}}$ is displayed using Eq. (21) in Figure 2. This figure illustrates that the concentration value is uniform for all small values of the parameters ${{\text{ }\!\!\alpha\!\!\text{ }}_{\text{1}}}\text{ }\!\!~\!\!\text{ and }\!\!~\!\!\text{ }{{\text{ }\!\!\alpha\!\!\text{ }}_{\text{2}}}$.The concentration is uniform for the lowest diffusion parameter values. Concentration decreases as the diffusion parameter values increase. In all of these cases, the concentration gradients are steeper for the acyl donor than for the nucleophile. As the enzyme loading increases (${{\text{ }\!\!\gamma\!\!\text{ }}_{\text{1}}}\text{ }\!\!~\!\!\text{ }$or$\text{ }\!\!~\!\!\text{ }{{\text{ }\!\!\gamma\!\!\text{ }}_{\text{2}}}$ increases), the concentration slopes get steeper for both the acyl donor and the nucleophile. This means that mass transfer is more limited, as expected.

(a)

(b)

(c)

(d)

Note: The dotted line indicates the Eq. (16), while the solid line represents the numerical findings.

Figure 2. Comparison of analytical expression of concentration of nucleophile $v\left( x \right)$ with simulation result for various value for ${{\text{ }\!\!\gamma\!\!\text{ }}_{\text{1}}},{{\text{ }\!\!\gamma\!\!\text{ }}_{\text{2}}}\text{, }\!\!~\!\!\text{ }{{\text{ }\!\!\alpha\!\!\text{ }}_{\text{1}}}\text{ }\!\!~\!\!\text{ and }\!\!~\!\!\text{ }{{\text{ }\!\!\alpha\!\!\text{ }}_{\text{2}}}$

(a)

(b)

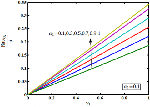
Figure 3. Effect of initial rate of substrate consumption $\frac{\text{Rat}{{\text{e}}_{\text{A}}}}{\text{ }\!\!\mu\!\!\text{ }}$ for different values of ${{\text{ }\!\!\gamma\!\!\text{ }}_{\text{1}}}\text{, }\!\!~\!\!\text{ }{{\text{ }\!\!\alpha\!\!\text{ }}_{\text{1}}}~$and$\text{ }\!\!~\!\!\text{ }{{\text{ }\!\!\alpha\!\!\text{ }}_{\text{2}}}$ using Eq. (19)

(a)

(b)

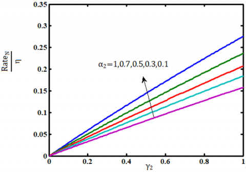
Figure 4. Effect of initial rate of substrate consumption $\frac{\text{Rat}{{\text{e}}_{\text{N}}}}{\eta }$ for different values of ${{\text{ }\!\!\gamma\!\!\text{ }}_{\text{2}}}~$and$\text{ }\!\!~\!\!\text{ }{{\text{ }\!\!\alpha\!\!\text{ }}_{\text{2}}}$ using Eq. (20)

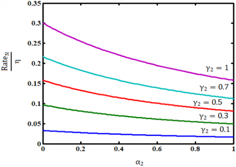
Figures 3 and 4 demonstrate the dimensionless consumption rate vs dimensionless variables ${{\text{ }\!\!\gamma\!\!\text{ }}_{\text{1}}}\text{, }\!\!~\!\!\text{ }{{\text{ }\!\!\alpha\!\!\text{ }}_{\text{1}}}~$and$\text{ }\!\!~\!\!\text{ }{{\text{ }\!\!\alpha\!\!\text{ }}_{\text{2 }\!\!~\!\!\text{ }}}$for the substrates u and v, respectively. From these figures, it is observed that the consumption rate rises as the values of ${{\text{ }\!\!\alpha\!\!\text{ }}_{\text{1}}}$ and ${{\text{ }\!\!\alpha\!\!\text{ }}_{\text{2}}}$ increase for certain fixed values of other parameters. The data show that the rate consumption remains constant for all values of the parameter ${{\text{ }\!\!\gamma\!\!\text{ }}_{\text{1}}}$ as the dimensionless parameter ${{\text{ }\!\!\gamma\!\!\text{ }}_{\text{2}}}$ grows. The consumption rate increases as enzyme loading ${{E}_{0}}$ increases.

4. Extensions to the Theoretical Model

The following section describes further improvements to the theoretical model offered in this work. In this section, the general geometry of the electrode was addressed. The reaction-diffusion equations for immobilized enzyme systems have the following form:

$\frac{{{d}^{2}}\left[ AcD \right]}{d{{r}^{2}}}+\frac{\text{N}}{r}\frac{d\text{ }\!\!~\!\!\text{ }\left[ AcD \right]}{dr}$$=\text{ }\!\!~\!\!\text{ }\frac{\left( {{k}_{Synth}}\left[ Nuc \right]+{{k}_{Hydr}} \right)\left[ AcD \right]\left[ {{E}_{0}} \right]}{{{D}_{Aeff}}\left( {{k}_{N}}+\left[ Nuc \right] \right)}$    (35)

$\frac{{{d}^{2}}\left[ Nuc \right]\text{ }\!\!~\!\!\text{ }}{d{{r}^{2}}}+\frac{\text{N}}{r}\frac{d\text{ }\!\!~\!\!\text{ }\left[ Nuc \right]}{dr}=\text{ }\!\!~\!\!\text{ }\frac{{{k}_{Synth}}\left[ Nuc \right]\text{ }\!\!~\!\!\text{ }\left[ AcD \right]\left[ {{E}_{0}} \right]}{{{D}_{Neff}}\left( {{k}_{N}}+\left[ Nuc \right] \right)}$    (36)

where, the shape factor $N=0$ (planar electrode),$~N=1$ (cylindrical electrode) and $N=2$ (spherical electrode). The boundary conditions are:

$At~r=0,\text{ }\!\!~\!\!\text{  }\!\!~\!\!\text{ }\frac{d\left[ AcD \right]}{d~\text{ }\!\!~\!\!\text{ }r}=0,\text{ }\!\!~\!\!\text{  }\!\!~\!\!\text{ }\frac{d\left[ Nuc \right]}{d~\text{ }\!\!~\!\!\text{ }r}=0$     (37)

$At~r=R,\text{ }\!\!~\!\!\text{  }\!\!~\!\!\text{ }\left[ AcD \right]={{\left[ AcD \right]}_{B}},\text{ }\!\!~\!\!\text{  }\!\!~\!\!\text{ }\left[ Nuc \right]={{\left[ Nuc \right]}_{B}}$     (38)

The Eqs. (37) and (38) reduce to the following dimensionless form.

$\frac{{{d}^{2}}u\left( x \right)\text{ }\!\!~\!\!\text{ }}{d{{x}^{2}}}+\frac{\text{N}}{x}\frac{du\left( x \right)}{dx}=\text{ }\!\!~\!\!\text{ }\frac{{{\gamma }_{1~}}\text{ }\!\!~\!\!\text{ }u\left( x \right)\left( 1+{{\alpha }_{1~}}\text{ }\!\!~\!\!\text{ }v\left( x \right) \right)}{1+\text{ }\!\!~\!\!\text{ }{{\alpha }_{2~}}\text{ }\!\!~\!\!\text{ }v\left( x \right)}$     (39)

$\frac{{{d}^{2}}v\left( x \right)\text{ }\!\!~\!\!\text{ }}{d{{x}^{2}}}+\frac{\text{N}}{x}\frac{dv\left( x \right)}{dx}=\text{ }\!\!~\!\!\text{ }\frac{{{\gamma }_{2~}}\text{ }\!\!~\!\!\text{ }u\left( x \right)v\left( x \right)}{1+\text{ }\!\!~\!\!\text{ }{{\alpha }_{2~}}\text{ }\!\!~\!\!\text{ }v\left( x \right)}$     (40)

The boundary condition becomes:

$At~x=0,\text{ }\!\!~\!\!\text{ }\frac{d~\text{ }\!\!~\!\!\text{ }u}{d~\text{ }\!\!~\!\!\text{ }x}=0,\frac{d~\text{ }\!\!~\!\!\text{ }v}{d~\text{ }\!\!~\!\!\text{ }x}=0$     (41)

$At~x=1,\text{ }\!\!~\!\!\text{ }u=1,\text{ }\!\!~\!\!\text{ }v=1$     (42)

The approximate analytical expressions of acyl donor and nucleophile concentration are:

$u\left( x \right)=\frac{cosh\left( m~\text{ }\!\!~\!\!\text{ }x \right)}{cosh\left( m \right)}$     (43)

$v\left( x \right)=\frac{cosh\left( n~\text{ }\!\!~\!\!\text{ }x \right)}{cosh\left( n \right)}$    (44)

where, $m$ and $n$:

$m=\sqrt{\frac{{{\gamma }_{1}}(1+{{\alpha }_{1}}\text{sech}n)}{\left( \text{N}+1 \right)\left( 1+{{\alpha }_{2}}\text{sech}n \right)}}~$$n=\sqrt{\frac{{{\gamma }_{2}}\text{sech}\left( \sqrt{\frac{{{\gamma }_{1}}(1+{{\alpha }_{1}}\text{sech}n)}{\left( \text{N}+1 \right)\text{ }\!\!~\!\!\text{ }\left( 1+{{\alpha }_{2}}\text{sech}n \right)}} \right)}{\left( \text{N}+1 \right)\left( 1+{{\alpha }_{2}}\text{sech}n \right)}}$     (45)

When $m$ and $n$ are very small, $sechn=1$. Now $m$ and $n$ become:

$m=\sqrt{\frac{{{\gamma }_{1}}\left( 1+{{\alpha }_{1}} \right)}{\left( \text{N}+1 \right)\text{ }\!\!~\!\!\text{ }\left( 1+{{\alpha }_{2}} \right)}}$ and $n=\sqrt{\frac{{{\gamma }_{2}}}{\left( \text{N}+1 \right)\text{ }\!\!~\!\!\text{ }\left( 1+{{\alpha }_{2}} \right)}}$

The initial rate of consumption of each substrate is:

$\frac{Rat{{e}_{A}}}{\mu }=\text{ }\!\!~\!\!\text{ }{{\left( \frac{d~\text{ }\!\!~\!\!\text{ }u\text{ }\!\!~\!\!\text{ }}{d~\text{ }\!\!~\!\!\text{ }x} \right)}_{x=1}}$$=\text{ }\!\!~\!\!\text{ }\left( \sqrt{\frac{{{\gamma }_{1}}\left( 1+{{\alpha }_{1}} \right)}{\left( \text{N}+1 \right)\text{ }\!\!~\!\!\text{ }\left( 1+{{\alpha }_{2}} \right)}} \right)\text{ }\!\!~\!\!\text{ }tanh\left( \sqrt{\frac{{{\gamma }_{1}}\left( 1+{{\alpha }_{1}} \right)}{\left( \text{N}+1 \right)\text{ }\!\!~\!\!\text{ }\left( 1+{{\alpha }_{2}} \right)}} \right)~$     (46)

$\frac{Rat{{e}_{N}}}{\eta }=\text{ }\!\!~\!\!\text{ }{{\left( \frac{d~\text{ }\!\!~\!\!\text{ }v\text{ }\!\!~\!\!\text{ }}{d~\text{ }\!\!~\!\!\text{ }x} \right)}_{x=1}}$$=\left( \sqrt{\frac{{{\gamma }_{2}}}{\left( \text{N}+1 \right)\text{ }\!\!~\!\!\text{ }\left( 1+{{\alpha }_{2}} \right)}}\text{ }\!\!~\!\!\text{ } \right)\tanh \left( \sqrt{\frac{{{\gamma }_{2}}}{\left( \text{N}+1 \right)\text{ }\!\!~\!\!\text{ }\left( 1+{{\alpha }_{2}} \right)}}\text{ }\!\!~\!\!\text{ } \right)~$     (47)

(a)

(b)

Note: Dotted line: analytical and solid line: numerical

Figure 5. The effect of parameter N on concentrations

The analytical expression of concentration of acyl donor and nucleophile $u\left( x \right)\text{ }\!\!~\!\!\text{ }$and$\text{ }\!\!~\!\!\text{ }v\left( x \right)$ with simulation result for various N in Figure 5. From the Figures, it is observed that the concentration is high in spherical electrode compared to flat and cylindrical electrode.

(a)

(b)

Figure 6. Effect of initial rate of substrate consumption $\frac{\text{Rat}{{\text{e}}_{\text{A}}}}{\text{ }\!\!\mu\!\!\text{ }}~$and$\text{ }\!\!~\!\!\text{ }\frac{\text{Rat}{{\text{e}}_{\text{N}}}}{\eta }$ for various values of ${{\text{ }\!\!\gamma\!\!\text{ }}_{\text{1}}}\text{, }\!\!~\!\!\text{ }{{\text{ }\!\!\alpha\!\!\text{ }}_{\text{1}}},$ ${{\text{ }\!\!\gamma\!\!\text{ }}_{\text{2}}}~$and$\text{ }\!\!~\!\!\text{ }{{\text{ }\!\!\alpha\!\!\text{ }}_{\text{2}}}$

Figure 6 depicts the analytical expression of acyl donor and nucleophile consumption rates and the simulation results for varying N. It is discovered that consumption is higher in spherical electrodes than in flat and cylindrical electrodes.

5. Conclusions

The mathematical modelling of immobilized enzyme systems is examined. The closed analytical expressions of concentration are obtained using the RJM approach. This method offers a straightforward solution for concentration in planar, cylindrical, and spherical electrodes. The impact of the parameters on concentration is also discussed. There is good agreement between the theoretical and numerical results. This theoretical model helps in the analysis and comprehension of the system's dynamics, as well as parameter optimization. This technique may be applied to solve nonlinear equations in microbial fuel cell and biosensor for real-time environmental monitoring.

Nomenclature

${{E}_{0}}$

Amount of enzyme, $\text{mg }\!\!~\!\!\text{ m}{{\text{l}}^{-1}}$

${{\left[ AcD \right]}_{B}}$

Bulk molar concentration of acyl donor, mM

${{\left[ Nuc \right]}_{B}}$

Bulk molar concentration of nucleophile, mM

$\left[ AcD \right]$

Concentration of acyl donor, mM

$\left[ Nuc \right]$

Concentration of nucleophile, mM

$\left[ Pep \right]$

Concentration of peptide product, mM

$\left[ Hyp \right]$

Concentration of hydrolysis product, mM

${{D}_{Aeff}}$

Effective diffusion coefficient of acyl donor, $\text{c}{{\text{m}}^{2}}$/s

${{D}_{Neff}}$

Effective diffusion coefficient of nucleophile, $\text{c}{{\text{m}}^{2}}$/s

${{k}_{Hydr}}$

Kinetic constant, $\text{ }\!\!\mu\!\!\text{  }\!\!~\!\!\text{ mol }\!\!~\!\!\text{ mi}{{\text{n}}^{-1}}\text{ }\!\!~\!\!\text{ mg }\!\!~\!\!\text{ C }\!\!~\!\!\text{ }{{\text{T}}^{-1}}$

${{k}_{N}}$

Kinetic constant, mM

${{k}_{Synth}}$

Kinetic constant, $\text{ }\!\!\mu\!\!\text{  }\!\!~\!\!\text{ mol }\!\!~\!\!\text{ mi}{{\text{n}}^{-1}}\text{ }\!\!~\!\!\text{ mg }\!\!~\!\!\text{ C }\!\!~\!\!\text{ }{{\text{T}}^{-1}}$

$r$

Distance from the centre of the particle, cm

$R$

Particle radius, cm

$LG$

Leaving group (ethanol or methanol)

$u\left( x \right)$

Dimensionless concentration of substrate

$v\left( x \right)$

Dimensionless concentration of substrate

$x$

Dimensionless distance

${{\text{ }\!\!\gamma\!\!\text{ }}_{\text{1}}},{{\text{ }\!\!\gamma\!\!\text{ }}_{\text{2}}}\text{, }\!\!~\!\!\text{ }{{\text{ }\!\!\alpha\!\!\text{ }}_{\text{1}}}\text{, }\!\!~\!\!\text{ }{{\text{ }\!\!\alpha\!\!\text{ }}_{\text{2}}}$

Dimensionless parameters

Appendix

A basic concept of Rajendran-Joy method (RJM)

Suppose that the nonlinear second-order differential equation with one independent variable x is given by:

${{p}_{s}}:f\left( {{u}_{s}},~u_{s}^{'},~u_{s}^{''} \right)=0;s=1,2,\ldots ,r$     (A1)

where, ${{p}_{s}}$ is a polynomial of ${{u}_{s}}={{u}_{s}}\left( x,a,b \right)$ and its derivatives. In this case, a and b represent the parameters, and x is within the interval [L, U], which may be either finite or semi-infinite, subject to the following boundary constraints.

$\left\{ \begin{matrix}At~x=L,~{{u}_{s}}\left( x \right)={{u}_{s{{L}_{0}}}}~or~u_{s}^{'}\left( x \right)=~{{u}_{s{{L}_{1}}}}  \\At~x=U,{{u}_{s}}\left( x \right)={{u}_{s{{U}_{0}}}}~or~u_{s}^{'}\left( x \right)=~{{u}_{s{{U}_{1}}}}~  \\\end{matrix} \right.$     (A2)

Consider that the solution to the nonlinear equations is an exponential function of the given form.

${{u}_{s}}\left( x \right)={{l}_{s}}\exp \left( {{n}_{s}}{{x}^{n}} \right)+{{m}_{s}}\text{exp}\left( -{{n}_{s}}{{x}^{n}} \right)$     (A3)

The exponential function is chosen because of its applicability to both finite and semi-infinite boundary conditions. The value of n is either 1 or 2, depending upon the defined boundary constraints. The unknown coefficients ${{l}_{s}},{{m}_{s}}$ and ${{n}_{s}}$ are obtained by solving the nonlinear equations as follows:

$\left\{ \begin{matrix}{{u}_{s}}\left( L \right)={{l}_{s}}\exp \left( {{n}_{s}}{{L}^{n}} \right)+{{m}_{s}}\exp \left( -{{n}_{s}}{{L}^{n}} \right)={{u}_{s{{L}_{0}}}}  \\or  \\u_{s}^{'}\left( L \right)=n~{{l}_{s}}\exp \left( {{n}_{s}}{{L}^{n}} \right)-n~{{m}_{s}}\exp \left( -{{n}_{s}}{{L}^{n}} \right)={{u}_{s{{L}_{1}}}}  \\\end{matrix} \right.$    (A4)

and

$\left\{ \begin{matrix} {{u}_{s}}\left( U \right)={{l}_{s}}\exp \left( {{n}_{s}}{{U}^{n}} \right)+{{m}_{s}}\exp \left( -{{n}_{s}}{{U}^{n}} \right)={{u}_{s{{U}_{0}}}}  \\or  \\u_{s}^{'}\left( U \right)=n~{{l}_{s}}\exp \left( {{n}_{s}}{{U}^{n}} \right)-n~{{m}_{s}}\exp \left( -{{n}_{s}}{{U}^{n}} \right)={{u}_{s{{U}_{1}}}}  \\\end{matrix} \right.$     (A5)

The following algebraic nonlinear equations are obtained by substituting Eq.(A3) into Eq. (A1).

$\left\{ \begin{matrix}

   {{p}_{1}}=f({{u}_{1}}\left( x,{{l}_{s}},~{{m}_{s}},~{{n}_{s}},~n,~a,b \right),~  \\

   u_{1}^{'}\left( x,{{l}_{s}},~{{m}_{s}},~{{n}_{s}},~n,~a,b \right),~  \\

   u_{1}^{''}\left( x,{{l}_{s}},~{{m}_{s}},~{{n}_{s}},~n,~a,b \right))=0  \\

   .  \\

   .  \\

   .  \\

   {{p}_{r}}=f({{u}_{r}}\left( x,{{l}_{s}},~{{m}_{s}},~{{n}_{s}},~n,~a,b \right),  \\

   ~u_{r}^{'}\left( x,{{l}_{s}},~{{m}_{s}},~{{n}_{s}},~n,~a,b \right),  \\

   ~u_{r}^{''}\left( x,{{l}_{s}},~{{m}_{s}},~{{n}_{s}},~n,~a,b \right))=0  \\

\end{matrix} \right.$    (A6)

The above equation is valid when $x\in \left[ L,U \right]$. Now we take any value of $x$ in this interval.

$\text{At }\!\!~\!\!\text{ }x=\beta ,\text{ }\!\!~\!\!\text{ }$where$\text{ }\!\!~\!\!\text{ }L\le \beta \le U$, from the above Eq. (A6), we can obtain the following linear or nonlinear algebraic equations.

$\left\{ \begin{matrix}

   {{p}_{1}}=f({{u}_{1}}\left( \beta ,{{l}_{s}},~{{m}_{s}},~{{n}_{s}},~n,~a,b \right),~  \\

   u_{1}^{'}\left( \beta ,{{l}_{s}},~{{m}_{s}},~{{n}_{s}},~n,~a,b \right),  \\

   ~u_{1}^{''}\left( \beta ,{{l}_{s}},~{{m}_{s}},~{{n}_{s}},~n,~a,b \right))~~=0  \\

   .  \\

   .  \\

   .  \\

   {{p}_{r}}=f({{u}_{r}}\left( \beta ,{{l}_{s}},~{{m}_{s}},~{{n}_{s}},~n,~a,b \right),~  \\

   u_{r}^{'}\left( \beta ,{{l}_{s}},~{{m}_{s}},~{{n}_{s}},~n,~a,b \right),  \\

   ~u_{r}^{''}\left( \beta ,{{l}_{s}},~{{m}_{s}},~{{n}_{s}},~n,~a,b \right))~~=0  \\

\end{matrix} \right.$     (A7)

Now the differential equation is transformed into algebraic nonlinear equation. By solving the algebraic nonlinear Eqs. (A4), (A5) and (A7) using wolframealpha.com46or Ying Buzu or regular false algorithms 47, we can obtain the unknown parameter $\text{ }\!\!~\!\!\text{ }{{l}_{s}},\text{ }\!\!~\!\!\text{ }{{m}_{s}}\text{ }\!\!~\!\!\text{ and }\!\!~\!\!\text{ }{{n}_{s}}$ for the given values of parameters a and b. While the Taylor series, Adomian decomposition, Akbari-Ganji, and homotopy analysis techniques are limited to finite domains, the Rajendran-Joy methodology may be used in both finite and semi-infinite domains. For some strong nonlinear problems with complex and mixed boundary conditions, this RJM cannot be applied.

  References

[1] Paradkar, V.M., Dordick, J.S. (1994). Aqueous-like activity of .alpha.-chymotrypsin dissolved in nearly anhydrous organic solvents. Journal of the American Chemical Society, 116(11): 5009-5010. https://doi.org/10.1021/ja00090a065 

[2] Bell, G., Halling, P.J., Moore, B.D., Partridge, J., Rees, D.G. (1995). Biocatalyst behaviour in low-water systems. Trends in Biotechnology, 13(11): 468-473. https://doi.org/10.1016/S0167-7799(00)89004-6

[3] Koskinen, A.M.P., Klibanov, A.M. (1996). Enzymatic Reactions in Organic Media. Springer Dordrecht, USA. https://doi.org/10.1007/978-94-011-0611-5 

[4] Yang, Z., Russell, A.J. (1996). Enzymatic Reactions in Organic Media, Chapman & Hall, Glasgow, UK, p. 43.

[5] Klibanov, A.M. (1997). Why are enzymes less active in organic solvents than in water? Trends in Biotechnology, 15(3): 97-101. https://doi.org/10.1016/S0167-7799(97)01013-5

[6] Wijffels, R.H. (2001). Characterization of Immobilized Cells; Introduction. In: Wijffels, R.H. (eds) Immobilized Cells. Springer. Springer, Berlin, Heidelberg. https://doi.org/10.1007/978-3-642-56891-6_1

[7] Kamat, S., Beckman, E.J., Russell, A.J. (1992). Role of diffusion in nonaqueous enzymology. 1. Theory. Enzyme and Microbial Technology, 14(4): 265-271. https://doi.org/10.1016/0141-0229(92)90149-I 

[8] Norris, T.A., Kennedy, J.F. (1998). Applied biocatalysis. Bioseparation, 7: 62-63. https://doi.org/10.1023/A:1007913430773

[9] Maghraby, Y.R., El-Shabasy, R.M., Ibrahim, A.H., El-Said Azzazy, H.M. (2023). Enzyme immobilization technologies and industrial applications. ACS Omega, 8(6): 5184-5196. https://doi.org/10.1021/acsomega.2c07560

[10] D'souza, S.F. (1999). Immobilized enzymes in bioprocess. Current Science, 77(1): 69-79. https://www.jstor.org/stable/24102915.

[11] Vulfson, E.N. (1993). Enzymatic synthesis of food ingredients in low-water media. Trends in Food Science & Technology, 4(7): 209-215. https://doi.org/10.1016/0924-2244(93)90153-2

[12] Tramper, J., Vermue, M.H., Beeftink, H.H., Von Stockar, U. (1992). Biocatalysis in non-conventional media. Journal of Chemical Technology and Biotechnology, 62(1): 106. https://doi.org/10.1002/jctb.280620123

[13] Koskinen, A.M.P., Klibanov, A.M. (1996). Enzymatic Reactions in Organic Media. Springer Dordrecht, USA. https://doi.org/10.1007/978-94-011-0611-5

[14] Guzy, S., Saidel, G.M., Lotan, N. (1989). Packed-bed immobilized enzyme reactors for complex processes: Modeling of two-substrate processes. Bioprocess Engineering, 4: 239-248. https://doi.org/10.1007/BF00368897

[15] Jayaraman, V.K. (1991). A simple method of solution for a class of bioreaction-diffusion problems. Biotechnology Letters, 13: 455-460. https://doi.org/10.1007/BF01031001

[16] Bernard, P., Barth, D. (1995). Internal mass transfer limitation during enzymatic esterification in supercritical carbon dioxide and hexane. Biocatalysis and Biotransformation, 12(4): 299-308. https://doi.org/10.3109/10242429509003192

[17] Sato, S., Murakata, T., Suzuki, T., Chiba, M., Goto, Y. (1997). Esterification activity in organic medium of lipase immobilized on silicas with differently controlled pore size distribution. Journal of Chemical Engineering of Japan, 30(4): 654-661. https://doi.org/10.1252/jcej.30.654

[18] Bedell, B.A., Mozhaev, V.V., Clark, D.S., Dordick, J.S. (1998). Testing for diffusion limitations in salt—Activated enzyme catalysts operating in organic solvents. Biotechnology and Bioengineering, 58(6): 654-657. https://doi.org/10.1002/(SICI)1097-0290(19980620)58:6%3C654::AID-BIT12%3E3.0.CO;2-7

[19] Barros, R.J., Wehtje, E., Adlercreutz, P. (2001). Modeling the performance of immobilized α-chymotrypsin catalyzed peptide synthesis in acetonitrile medium. Journal of Molecular Catalysis B: Enzymatic, 11(4-6): 841-850. https://doi.org/10.1016/S1381-1177(00)00030-8

[20] Chitra Devi, M., Pirabaharan, P., Rajendran, L., Abukhaled, M. (2021). Amperometric biosensors in an uncompetitive inhibition processes: A complete theoretical and numerical analysis. Reaction Kinetics, Mechanisms and Catalysis, 133(2): 655-668. https://doi.org/10.1007/s11144-021-02015-7

[21] Umadevi, R., Venugopal, K., Jeyabarathi, P., Rajendran, L., Abukhaled, M. (2022). Analytical study of nonlinear roll motion of ships: A homotopy perturbation approach. Palestine Journal of Mathematics, 11(1): 316-325. 

[22] Manimegalai, B., Lyons, M.E., Rajendran, L. (2021). Transient chronoamperometric current at rotating disc electrode for second-order ECE reactions. Journal of Electroanalytical Chemistry, 902: 115775. https://doi.org/10.1016/j.jelechem.2021.115775

[23] He, J.H. (1999). Homotopy perturbation technique. Computer Methods in Applied Mechanics and Engineering, 178(3-4): 257-262. https://doi.org/10.1016/S0045-7825(99)00018-3

[24] He, J.H. (2004). Comparison of homotopy perturbation method and homotopy analysis method. Applied Mathematics and Computation, 156(2): 527-539. https://doi.org/10.1016/j.amc.2003.08.008

[25] Jeyabarathi, P., Rajendran, L., Abukhaled, M., Kannan, M. (2022). Semi-analytical expressions for the concentrations and effectiveness factor for the three general catalyst shapes. Reaction Kinetics, Mechanisms and Catalysis, 135(4): 1739-1754. https://doi.org/10.1007/s11144-022-02205-x

[26] Silambuselvi, V., Rekha, S., Rani, R.U., Angaleeswari, K. (2023). Theoretical analysis of amperometric response towards PPO-based rotating disk bioelectrodes: Taylors series and hyperbolic function method. International Journal of Electrochemical Science, 18(4): 100083. https://doi.org/10.1016/j.ijoes.2023.100083

[27] He, C.H., Shen, Y., Ji, F.Y. (2020). Taylor series solution for fractal Bratu-type equation arising in electro spinning process. Fractals, 28(1): 2050011-2050015. https://doi.org/10.1142/S0218348X20500115

[28] El-Ajou, A., Abu Arqub, O., Al-Smadi, M. (2015). A general form of the generalized Taylor’s formula with some applications. Applied Mathematics and Computation, 256: 851-859. https://doi.org/10.1016/j.amc.2015.01.034

[29] He, J.H., Wu, X.H. (2007). Variational iteration method: New development and applications. Computers & Mathematics with Applications, 54(7-8): 881-894. https://doi.org/10.1016/j.camwa.2006.12.083

[30] Wazwaz, A.M. (2007). A comparison between the variational iteration method and Adomian decomposition method. Journal of Computational and Applied Mathematics, 207(1): 129-136. https://doi.org/10.1016/j.cam.2006.07.018

[31] Abukhaled, M. (2013). Variational iteration method for nonlinear singular two—Point boundary value problems arising in human physiology. Journal of Mathematics, 2013(1): 720134. https://doi.org/10.1155/2013/720134

[32] Andrianov, I., Shatrov, A. (2021). Padé approximants, their properties, and applications to hydrodynamic problems. Symmetry, 13(10): 1869. https://doi.org/10.3390/sym13101869

[33] Akbari, M.R. (2020). Akbari-Ganjis method AGM to chemical reactor design for non-isothermal and non-adiabatic of mixed flow reactors. Journal of Chemical Engineering and Materials Science, 11(1): 1-9. https://doi.org/10.5897/JCEMS2018.0320

[34] Meresht, N.B., Ganji, D.D. (2017). Solving nonlinear differential equation arising in dynamical systems by AGM. International Journal of Applied and Computational Mathematics, 3: 1507-1523. https://doi.org/10.1007/s40819-015-0131-x

[35] Akbari, M.R., Nimafar, M., Ganji, D.D., Karimi Chalmiani, H. (2017). Investigation on non-linear vibration in arched beam for bridges construction via AGM method. Applied Mathematics and Computation, 298: 95-110. https://doi.org/10.1016/j.amc.2016.11.008

[36] Akbari, M. (2015). Nonlinear Dynamic in Engineering by Akbari-Ganji’s Method. Xlibris Corporation.

[37] Akbari, M.R., Ganji, D.D., Majidian, A., Ahmadi, A.R. (2014). Solving nonlinear differential equations of Vanderpol, Rayleigh and duffing by AGM. Frontiers of Mechanical Engineering, 9: 177-190. https://doi.org/10.1007/s11465-014-0288-8

[38] Tramper, J., Vemme, M.H., Beeftink, H.H., Von Stockar, U. (1992). Biocatalysis in Non-Conventional Media. Elsevier.

[39] Barros, R.J., Wehtje, E., Adlercreutz, P. (2001). Modeling the performance of immobilized α-chymotrypsin catalyzed peptide synthesis in acetonitrile medium. Journal of Molecular Catalysis B: Enzymatic, 11(4-6): 841-850. https://doi.org/10.1016/S1381-1177(00)00030-8

[40] Sheikholeslami, M., Ganji, D.D. (2018). Applications of Semi-Analytical Methods for Nanofluid Flow and Heat Transfer. Elsevier.

[41] Mallikarjuna, M., Senthamarai, R. (2023). An amperometric biosensor and its steady state current in the case of substrate and product inhibition: Taylors series method and Adomian decomposition method. Journal of Electroanalytical Chemistry, 946: 117699. https://doi.org/10.1016/j.jelechem.2023.117699

[42] Adomian, G. (1984). Convergent series solution of nonlinear equations. Journal of Computational and Applied Mathematics, 11(2): 225-230. https://doi.org/10.1016/0377-0427(84)90022-0

[43] Liao, S. (2004). On the homotopy analysis method for nonlinear problems. Applied Mathematics and Computation, 147(2): 499-513. https://doi.org/10.1016/S0096-3003(02)00790-7

[44] Adomian, G. (1988). A review of the decomposition method in applied mathematics. Journal of Mathematical Analysis and Applications, 135(2): 501-544. https://doi.org/10.1016/0022-247X(88)90170-9

[45] Holmquist, S.M. (2007). An examination of the effectiveness of the Adomian decomposition method in fluid dynamic applications. University of Central Florida.