Free Convective Flow Past a Vertical Cone with Magnetohydrodynamics / Heat Generation / Absorption with Variable Heat Flux

Free Convective Flow Past a Vertical Cone with Magnetohydrodynamics / Heat Generation / Absorption with Variable Heat Flux

Rayampettai Munisamy Kannan Bapuji PullepuMohammad Sajid

Department of Mathematics, SRMIST, Kattankulathur 603203, Tamil Nadu, India

Department of Mechanical Engineering, College of Engineering, Qassim University, Buraydah 51452, Al Qassim, Saudi Arabia

Corresponding Author Email: 
bapujip@yahoo.com
Page: 
11-18
|
DOI: 
https://doi.org/10.18280/mmep.090102
Received: 
11 May 2021
|
Revised: 
1 January 2022
|
Accepted: 
12 January 2022
|
Available online: 
28 February 2022
| Citation

© 2022 IIETA. This article is published by IIETA and is licensed under the CC BY 4.0 license (http://creativecommons.org/licenses/by/4.0/).

OPEN ACCESS

Abstract: 

The outcome of heat sink/source on natural convection movement with temperature and Magnetohydrodynamics transport from a vertical cone with variable surface heat flux is discussed. The leading boundary layer equation are obtained to dimensionless equation of the movement are explained by an absolutely stable finite difference system of Crank-Nicholson kind. This scheme transforms the non-dimensional equation into a system of tri-diagonal equation and which are worked out by using well known Thomas algorithm. The numerical solutions are presented in terms of fluid velocity, thermal, local as well as average shear stress and heat transfer rate for values of Prandtl number, magnetic parameter, heat sink/source constraint and the exponent in power law variant in surface thermal n has been analyzed both tabular and graphical forms. The current fallout is comparing with existing outcome in literature as well as be found to be outstanding concurrence.

Keywords: 

finite difference scheme, heat transfer heat absorption/generation and MHD, vertical cone

1. Introduction

The problems of hydromagnetic convective movement with variable heat flux have drawn substantial kindness of numerous researchers analyzed useful in numerous scientific and technical application viz. Heat fluctuation sensor can be used in manufacturing quantity and have power control system, plasma study, geothermal power drawing out, metallurgy, substance, limestone and oil production etc., and on the concert of so several manufacturing strategy using electrically conducting fluid, to be precise, Magnetohydrodynamics generator, MHD pump, MHD accelerator, MHD flow-meters, nuclear reactor, plasma jet engines etc. The result of viscous dissipation on natural convection examined by Gebhart [1] for power-law upright wall dissimilarity. Lin [2] analysis with uniform surface heat flux of a vertical cone. Na and Chiou [3] described the laminar free convection above a truncated cone restricted of a crosswise curve effects Alamigir [4] used an integral scheme to study the on the whole temperature transport from cone in laminar free convection. Raptis and Kafousias [5] explored stable hydromagnetic natural convection movement from a permeable medium enclosed by an infinite plate by steady suction velocity. Raptis [6] focused transient 2D free convection movement of an electrically conducted viscous and in-compressible fluid alongside an infinite vertically plate implanted in a permeable medium. Pop and Watanabe [7] discussed natural convection flow from vertical cone with uniform sink/source for constant wall flux.

Vajravelu and Nayfesh [8] discussed MHD convection from a cone and a wedge with uneven surface thermal and interior temperature sink/source. Chen et al. [9] attained mathematical solution for mixed convection thermally dispersive movement throughout a fluid-saturated permeable medium to analysis the combination of natural and forced convective system. They presented that non-Darcian and temperature diffusion effect consume a main effect on velocity profiles, thermal and thermal transport rates from the perpendicular surface.

Several authors discussed natural convection precedent a vertical cone, top of cone in porous material. Yih [10, 11] investigated the full and truncated cone in the presence of isothermal/non-isothermal surface heat/mass transfer effects also discussed uniform/variable heat/mass flux effects in the saturated porous medium.

Hossain and Paul [12] discussed the non-similarity solution in favor of the natural convection of a vertical porous cone with inconstant surface heat flux. The laminar steady non-similar free convection movement of gas over a uniform cone has been investigated by Takhar et al. [13]. Afify [14] investigated the cause of emission on natural convective movement and mass transport from a vertical cone surface with element effects in the existence of a transversal magnetic field. Kumari and Nath [15] to discuss the non-Darcy natural convection movement of Newtonian fluid on cone inserted in a porous medium with exponent power difference of the wall temperature/concentration or temperature/concentration flux and injection/suction. El-Kabeir et al. [16] investigated chemical responses; temperature and mass transport on MHD movement of cone over the uniform surface in nano polar fluid with temperature absorption/generation arithmetic solution are obtained by Runga-Kutta scheme of 4th order with shooting technique. Later Pullepu et al. [17] focused on free convection flow from uniform surface of a cone with heat flux conditions. Pullepu and Chamkha [18] drawn-out the earlier exertion under the situation of variable thermal flux by MHD effect.

The outcome of thermal absorption/generation and thermal emission on mixed convection movement over a transient stretch porous surface considered by Khan et al. [19, 20]. Mohamed et al. [21] examined natural convection flow over vertically hot surface in the presence of heat sink, radiative, MHD and chemical. Theoretical study on laminar natural convection movement over an axi-symmetric bodies have conventional extensive interest particularly in system of similar and non-homogeneous surface thermal flux distribution. Pullepu et al. [22] analyzed a numerical model of chemically reacted and heat source/absorption on transient free mass and thermal convection over in-compressible viscous fluid through a vertical cone with non-homogeneous surface concentration and temperature results are drawn.

A little back Elbashbeshy et al. [23] analyzed a outcome of heat source or sink and temperature radiation on natural convective movement and temperature transport over the frustum of cone in the existence of pressure effect is discussed. Sambath et al. [24] explored laminar free convective hydromagnetic flow of radiated fluid from chemically reacted vertical cone under temperature generation/absorption is considered.

The aim of the current analysis is to learn the combined impacts of MHD and heat generation/absorption parameter Δ with variable temperature flux. When the fluid is incompressible, electrically conducting and combination.

2. Mathematical Modeling

The basic equations used to interpret and analyze natural convection are the PDE of the motion of the boundary layer which are due to conservation of momentum, conservation of energy and molecular species. To obtain these equations on the physical grounds, we adopt the following premise: Initially, it is presumed surface of the cone and the surrounding fluid which are at rest possess the unchanged thermal $T_{\infty}^{\prime}$. when time increases, the thermal of the cone surface is rapidly increased to qw(x)=(axn).

The geometric assumptions are made for the magnetic field.

  • The effect of pressure ramp is assumed small.
  • The Joule heating of the fluid is ignored.
  • The stable electrical conductivity co-efficient is maintained all over the fluid.
  • The magnetic field is stable and is apply in a direction vertical to the cone surface.
  • The magnetic Reynolds numeral is little so as to the stimulated magnetic field is neglected and consequently does not alter the magnetic field.
  • The magnetic field equations are the electromagnetic and hydro magnetic equations, also the dealings involving the flow and the magnetic field is taken.
  • Maxwell's dislocation currents are disregarded, so that electric currents are regard as flow in sealed circuits.

Figure 1. Physical Model & Co-ordinate System

A system that uses coordinates (as depicted in Figure 1) has been considered as x-axis is taken towards the cone surface from the vertex (x=0) and y to the distance directed normally outward. The fluid behaviours are unchanged except density difference. We can study the impacts of the equations which governs continuity, thermodynamic quantity and energy equivalent to the capacity of a physical system by an approximation given by Boussinesq are stated below.

$\frac{\partial }{\partial x}(ur)+\frac{\partial }{\partial y}(vr)=0$     (1)

$\frac{\partial u}{\partial t'}+u\frac{\partial u}{\partial x}+v\frac{\partial u}{\partial y}=g\beta (T'-T_{\infty }^{'})cos\phi +\nu \frac{{{\partial }^{2}}u}{\partial {{y}^{2}}}-\frac{\sigma B_{0}^{2}u}{\rho }$     (2)

$\frac{\partial T'}{\partial t'}+u\frac{\partial T'}{\partial x}+v\frac{\partial T'}{\partial y}=\alpha \frac{{{\partial }^{2}}T'}{\partial {{y}^{2}}}+\frac{{{Q}_{0}}}{\rho {{C}_{P}}}(T'-T_{\infty }^{'})$     (3)

The boundary, initial conditions are prescribed as:

$\left. \begin{align}  & t'\le 0:\,u=v=0,\,T'=T_{\infty }^{'},\,\text{for all }x\text{ and }y \\ & t'>0:\,u=v=0,\,\frac{\partial T'}{\partial y}=-\frac{{{q}_{w}}(x)}{k}\,\text{at }y=0 \\ & u=0,\,\,T'=T_{\infty }^{'}\,\text{at }x=0 \\ & u\to 0,\,T'\to T_{\infty }^{'}\,\text{as }y\to \infty  \\\end{align} \right\}$     (4)

Nusselt number, local skin friction are derived by:

${{\tau }_{x}}=\mu {{\left( \frac{\partial u}{\partial y} \right)}_{y=0}}$     (5)

$N{{u}_{x}}=\frac{-x{{\left( \frac{\partial T'}{\partial y} \right)}_{y=0}}}{T_{w}^{'}-T_{\infty }^{'}}$     (6)

Scheduling with discussion, we introduce the subsequent dimensionless quantity to make a possible numerical solution for boundary value problem established by Eqns. (1) to (3) under condition (4):

$\left. \begin{align}  & X=x/L,\,\,Y=\left( y/L \right)\,G{{r}_{L}}^{1/5},\,t=\left( \frac{vT'}{{{L}^{2}}} \right)G{{r}_{L}}^{2/5},\,R=\frac{r}{L}\, \\ & \text{where }r=x\sin \theta  \\ & T=\frac{(T'-T_{\infty }^{'})}{{{q}_{w}}(L)/k},\,U=\left( \frac{uL}{\nu } \right)G{{r}_{L}}^{-2/5},\,V=\left( \frac{vL}{\nu } \right)G{{r}_{L}}^{-1/5} \\ & G{{r}_{L}}=\frac{g{{q}_{w}}\left( L \right)/k\beta {{L}^{4}}\cos \phi }{{{\nu }^{2}}},\,\Pr =\frac{\nu }{L} \\ & \Delta =\frac{{{Q}_{0}}{{L}^{2}}}{{{C}_{P}}\mu }{{(G{{r}_{L}})}^{-1/5}},\,M=\frac{\sigma B_{0}^{2}{{L}^{2}}}{\mu }{{(G{{r}_{L}})}^{-2/5}} \\\end{align} \right\}$     (7)

Non-dimension expression of Eqns. (1)-(4) are as follows:

$\frac{\partial }{\partial X}(UR)+\frac{\partial }{\partial Y}(VR)=0$      (8)

$\frac{\partial U}{\partial T}+\frac{\partial U}{\partial X}U+\frac{\partial U}{\partial Y}V=(T-MU)+\frac{{{\partial }^{2}}U}{\partial {{Y}^{2}}}$      (9)

$\frac{\partial T}{\partial t}+\frac{\partial T}{\partial X}U+\frac{\partial T}{\partial Y}V=\frac{1}{\Pr }\frac{{{\partial }^{2}}T}{\partial {{Y}^{2}}}+\Delta T$     (10)

The corresponding dimensionless quantities are:

$\left. \begin{align}  & t\le 0:U=V=0,\,T=0,\,\text{for all X and Y} \\ & t>0:\,\,U=V=0,\,\frac{\partial T}{\partial Y}=-{{X}^{n}}\,\text{at Y}=0 \\ & U=\,T=0\,\text{at X}=0 \\ & U\to 0,\,T\to 0\,\text{as }Y\to \infty  \\\end{align} \right\}$      (11)

τX (shear stress) and NuX (heat transfer rate) in the dimensionless form are given by:

${{\tau }_{X}}={{(G{{r}_{L}})}^{3/5}}{{\left( \frac{\partial U}{\partial Y} \right)}_{Y=0}}$       (12)

$N{{u}_{X}}=\frac{X}{{{T}_{Y=0}}}{{\left( \frac{-\partial T}{\partial Y} \right)}_{Y=0}}{{(G{{r}_{L}})}^{1/5}}$      (13)

Dimensionless average quantities $\bar{\tau}$ (shear stress) and $\overline{N u}$ (heat transport rate) are:

$\bar{\tau }=2{{(G{{r}_{L}})}^{3/5}}\int\limits_{0}^{1}{X{{\left( \frac{\partial U}{\partial Y} \right)}_{Y=0}}dX}$     (14)

$\overline{Nu}=2{{(G{{r}_{L}})}^{1/5}}\int\limits_{0}^{1}{\frac{X}{{{T}_{Y=0}}}{{\left( \frac{-\partial T}{\partial Y} \right)}_{Y=0}}dX}$      (15)

3. Numerical Approach

The transitory non-linear coupled PDE’s (8)-(10) with (11) are resolved by the finite difference system of Crank-Nicolson method. In this system, the non-dimensional ruling equation are obtained to a tri-diagonal structure of equation that is resolved by the Thomas algorithm, which is rapid convergent and absolutely stable [17, 18].

The area of integration is regarded as a rectangle with Xmax=1 and Ymax=26 (where Ymax corresponds to Y=∞) it is located exterior of together the fluid rate and thermal boundary layer. The quantities of Ymax =15 is used after some preliminary examination, so that the final two penultimate condition (11) where fulfilled within an acceptance limit of 10-5. The network size was permanent as ΔX=0.05, ΔY=0.05 with the moment step Δt=0.01. The shortness ignorance is OXt2Y2) approaches to null value as ΔX, ΔY and Δt approaches to null. Thus, the system is well-matched, as explained in Refs. [17, 18] and its discussions the quality of being enduring and free from change or variation we can establish the convergence.

4. Discussions of Results

The present work establishes the behaviour of velocity and temperature parameter ranges at stable condition X=1.0 with approachable similar solutions in literature. Boundary layer, the momentum of cone with uniform surface heat flux when Pr=0.72 the numerical quantities of τX and Nux, for different values of Pr presented in Table 1 are investigated with resemblance solutions of Lin [2] in steady-state using the following transformation:

$Y=\left(\frac{20}{9}\right)^{1 / 5} \eta, T=\left(\frac{20}{9}\right)^{1 / 5}[-\theta(0)], U=\left(\frac{20}{9}\right)^{1 / 5} f^{\prime}(\eta)$, $\tau_{X}=\left(\frac{20}{9}\right)^{1 / 5} f^{\prime \prime}(0)$.

In addition, with, τX (shear stress), Nux (heat transfer rate) for distinguishable numerical aggregates of Pr when heat flux gradient n=0.50 and M=0 at X=1.0 instable situation are related with the non-similarity result of Hossain and Paul [12] in Table 2. It is remarked that the outcomes are in excellent conformity with both other. It is also viewed that the current outcomes accordance with Pop and Watanable [7] as pointed out in Table 2.

Table 1. Correlation of stable – state τX (shear stress), thermal value at X=1.0 with of Lin [2] for isothermal surface thermal flux

Pr

Temperature

Shear stress

Lin [2] results

Existing Results

Lin [2] results

Existing Results

-θ(0)

$-\left(\frac{20}{9}\right)^{1 / 5}[\theta(0)]$

T

-f''(0)

$\left(\frac{20}{9}\right)^{2 / 5} f^{\prime \prime}(0)$

τX

0.72

1.522878

1.7864

1.7714

0.88930

0.88930*

1.224

1.2105

1

1.39174

1.6327

1.6329**

1.6182

0.78446

1.0797

1.0669

2

1.16209

1.3633

1.3499

0.60252

0.8293

0.8182

4

0.98095

1.1508

1.1385

0.46307

0.6373

0.6275

6

0.89195

1.0464

1.0344

0.39688

0.5462

0.5371

8

0.83497

0.9796

0.9677

0.35563

0.4895

0.4808

10

0.79388

0.9314

0.9196

0.32655

0.4494

0.4411

100

0.48372

0.5675

0.5531

0.13371

0.184

0.1778

*Value taken from Pop and Watanabe [7] with absence of injection/suction effects.

**Values observed from Na and Chiou [3] with solution for the full cone.

Table 2. Relationship of stable-state τX and Nux at X=1.0 with those of Hossain and Paul [12] for various values of Pr when n=0.5, M=0, and Suction is zero

Pr

Shear stress

Heat transfer rate

Hossain and Paul [12] outcomes

Current outcomes

Hossain and Paul [12] results

Current outcomes

F0''(0)

$\tau_{X} / G_{r_{L}}^{3 / 5}$

1/Φ0(0)

NuX/GrL1/5

0.01

5.1345

5.1155

0.14633

0.1458

0.05

2.93993

2.9297

0.26212

0.2630

0.1

2.29051

2.2838

0.33174

0.3324

(a)

(b)

(c)

Figure 2. Velocity profiles for Various Values of Pr, M ∆ and n

Figures 2(a), (b), (c) concerned the effects of velocity for various quantities of Pr, M, $\Delta$ and n correspondingly at a stable point X=1.0. It is viewed that the velocity profiles be drops by cumulative quantities of Pr, M, n and decreasing values of $\Delta$.

(a)

(b)

(c)

Figure 3. Temperature profiles for Various Values of Pr, M ∆ and n

Figures 3(a), (b), (c) illustrate the effects of heat for various quantities of Pr, $\Delta$, M and n. As increasing quantities of Pr, n and decreasing quantities of M, $\Delta$ the temperature decreases. In the electrically conducting fluid due to Lorentz force, gives rise to resistive force that acts in the opposite direction.

(a)

(b)

(c)

Figure 4. Effects of Local Skin friction for Various Values of Pr, M ∆ and n

Figures 4(a), (b), (c) demonstrates the effects of shear stress coefficient for different parameters Pr, $\Delta$, M and n. It is noticed that, the decreasing values of Pr, $\Delta$, M and increasing values of n decreases the coefficient of local skin friction.

(a)

(b)

(c)

Figure 5. Effects of Local Nusselt number for Various Values of Pr, M ∆ and n

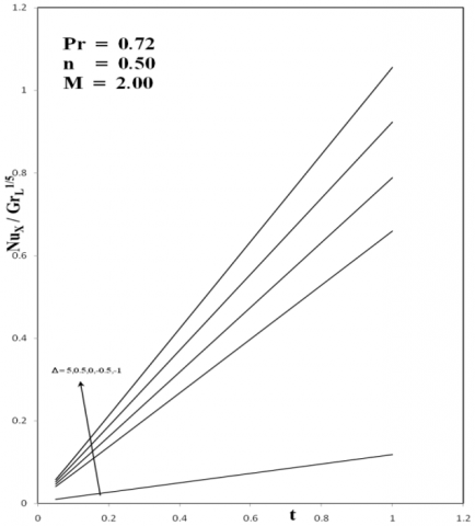
Effects of Nux (Nusselt number) variations are sketched in Figures 5(a), (b), (c), It shows that the growth of local Nusselt number for lesser quantities of $\Delta$, n and bigger quantities of M, Pr.

(a)

(b)

(c)

Figure 6. Average Skin friction Effects for Various Values of Pr, M ∆ and n

Inspection of Figures 6(a), (b), (c), that the average skin- friction rises for bigger quantities of $\Delta$, Pr and lesser quantities of n, M.

(a)

(b)

(c)

Figure 7. Average Nusselt number Effects for Various Values of Pr, M ∆ and n

Figure 7(a), (b), (c) plotted to show the effect of heat source/sink parameter $\Delta$, flux parameter M, Pr and n. The average Nusselt number rises for greater quantities of Pr, n and smaller quantities of $\Delta$, M.

5. Concluding Remarks

A numerical study has been obtained for the natural convection flow from a vertical cone with temperature source/sink and MHD. The dimensionless of governing equation for momentum and energy are converted to non-similar equation by using a dimensionless transformation. These equations are solved mathematically using the well-known Crank-Nicolson method.

(1) It is clear that the velocity and temperature distribution falls with raising the values of Pr, n and lower values of Δ.

(2) In the existence of magnetic field, rises of the strength of the magnetic field, slows the fluid motion along the wall of the cone inside and boundary layer but the velocity decreases and thermal increases.

(3) Shear stress τX and heat transfer rate NuX quantities decreases as M, n and Pr increases.

(4) Increasing quantities of thermal source/sink constraint Δ leads to increases in the value of the shear stress coefficient and heat transfer rate declines.

(5) The average shear stress increases for bigger quantities of Pr, Δ and smaller quantities of n and M.

(6) The average Nusselt numeral rises for larger quantities of Pr and lesser quantities of Δ, n and M.

  References

[1] Gebhart, B. (1962). Effects of viscous dissipation in natural convection. Journal of fluid Mechanics, 14(2): 225-232. https://doi.org/10.1017/S0022112062001196

[2] Lin, F.N. (1976). Laminar free convection from a vertical cone with uniform surface heat flux. Letters Heat Mass Transfer, 3: 49-58.

[3] Na, T.Y., Chiou, J.P. (1979). Laminar natural convection over a frustum of a cone. Applied Scientific Research, 35(5): 409-421. https://doi.org/10.1007/BF00420389

[4] Alamigir, M. (1979). Over-All heat transfer from vertical cones in laminar free convection: An approximate method. Transaction of ASME Journal of Heat Transfer, 101(1): 174-176. https://doi.org/10.1115/1.3450912

[5] Raptis, A., Kafousias, N. (1982). Heat transfer in flow through a porous medium bounded by an infinite vertical plate under the action of a magnetic field. International Journal of Energy Research, 6(3): 241-245. https://doi.org/10.1002/er.4440060305

[6] Raptis, A.A. (1986). Flow through a porous medium in the presence of a magnetic field. International Journal of Energy Research, 10(1): 97-100. https://doi.org/10.1002/er.4440100112

[7] Pop, I., Watanabe, T. (1992). Free convection with uniform suction or injection from a vertical cone for constant wall heat flux. International Communications in Heat and Mass Transfer, 19(2): 275-283. https://doi.org/10.1016/0735-1933(92)90038-J

[8] Vajravelu, K., Nayfeh, J. (1992). Hydro magnetic convection at a cone and a wedge. International Communications in Heat & Mass Transfer, 19(5): 701-710. https://doi.org/10.1016/0735-1933(92)90052-J

[9] Chen, C.K., Chen, C.H., Minkowycz, W. J., Gill, U.S. (1992). Non-Darien effects on mixed convection about a vertical cylinder embedded in a saturated porous medium. International Journal of Heat and Mass Transfer, 35(11): 3041-3046. https://doi.org/10.1016/0017-9310(92)90323-K

[10] Yih, K.A. (1999). Uniform transpiration effect on combined heat and mass transfer by natural convection over a cone in saturated porous media uniform wall temperature/concentration or heat / mass flux. International Journal of Heat and Mass Transfer, 42(18): 3533-3537.

[11] Yih, K.A. (1999a). Coupled heat and mass transfer by free convection over a truncated cone in porous media: VWT/VWC or VHF/VMF. Acta Mechanica, 137(1): 83-97. https://doi.org/10.1007/BF01313146

[12] Hossain, M.A., Paul, S.C. (2001). Free convection from a vertical permeable circular cone with non-uniform surface heat flux. Heat and Mass Transfer, 37(2): 167-173. https://doi.org/10.1007/s002310000129

[13] Takhar, H.S., Chamkha, A.J., Nath, G. (2004). Effect of thermophysical quantities on the natural convection flow of gases over a vertical cone. International Journal of Engineering Science, 42(3-4): 243-256. https://doi.org/10.1016/j.ijengsci.2003.07.005

[14] Afify, A.A. (2004). The effect of radiation on free convective flow and mass transfer past a vertical isothermal cone surface with chemical reaction in the presence of a transverse magnetic field. Canadian Journal of Physics, 82(6): 447-458. https://doi.org/10.1139/p04-009

[15] Kumari, M., Nath, G. (2009). Natural convection from a vertical cone in a porous medium due to the combined effects of heat and mass diffusion with non-uniform wall temperature/concentration or heat/mass flux and suction/injection. International Journal of Heat and Mass Transfer, 52(13-14): 3064-3069. https://doi.org/10.1016/j.ijheatmasstransfer.2008.10.037

[16] El-Kabeir, S.M.M., Modather, M., Abdou, M. (2007). Chemical reaction, heat and mass transfer on MHD flow over a vertical isothermal cone surface in micropolar fluids with heat generation/absorption. Applied Mathematical Sciences, 1(34): 1663-1674.

[17] Pullepu, B., Ekambavanan, K., Chamkha, A.J. (2008). Unsteady laminar free convection from a vertical cone with uniform surface heat flux. Non-lin. Anal Modelg and Cont., 13(1): 47-60. http://doi.org/10.15388/NA.2008.13.1.14588

[18] Pullepu, B., Chamkha, A. J. (2009). Transient laminar MHD free convective flow past a vertical cone with non-uniform surface heat flux. Nonlinear Analysis: Modelling and Control, 14(4): 489-503. http://doi.org/10.15381/NA.2009.14.4.14470

[19] Khan, M.S., Karim, I., Biswas, M.H.A. (2012). Heat generation, thermal radiation and chemical reaction effects on MHD mixed convection flow over an unsteady stretching permeable surface. International Journal of Basics & Applied Science, 1(2): 363-377. http://doi.org/10.17142/ijbas-2012.2.1.23

[20] Khan, M.S., Karim, I., Biswas, M.H.A. (2012). Non-Newtonian MHD mixed convective power-Law fluid flow over a vertical stretching sheet with thermal radiation, heat generation and chemical reaction effects. Academic Research International, 3(3): 80-92.

[21] Mohamed, R.A., Osman, A.N.A., Abo-Dahab, S.M. (2013). Unsteady MHD double-diffusive convection boundary-layer flow past a radiate hot vertical surface in porous media in the presence of chemical reaction and heat sink. Meccanica, 48(4): 931-942. https://doi.org/10.1007/s11012-012-9644-0

[22] Pullepu, B., Sambath, P., Viswanathan, K.K. (2014). Effects of chemical reactions on unsteady free convective and mass transfer flow from a vertical cone with heat generation/absorption in the presence of VWT/VWC. Mathematical Problems in Engineering, 2014: 849570. http://dx.doi.org/10.1155/2014/849570

[23] Elbashbeshy, E.M., Emam, T.G., Sayed, E.A.A. (2016). Effect of thermal radiation on free convection flow and heat transfer over a truncated cone in the presence of pressure work and heat generation/absorption. Thermal Science, 20(2): 555-565. https://doi.org/10.2298/TSCI130409006E

[24] Sambath, P., Pullepu, B., Hussain, T., Shehzad, S.A. (2018). Radiated chemical reaction impacts on natural convective MHD mass transfer flow induced by a vertical cone. Results in Physics, 8: 304-315. https://doi.org/10.1016/j.rinp.2017.12.005