Advanced Plant Disease Classification Using Trans-R2UNet Segmentation and Gabor Dilated CNN with Spatial Attention

Advanced Plant Disease Classification Using Trans-R2UNet Segmentation and Gabor Dilated CNN with Spatial Attention

Rongali Divyakanti* Gottapu Sasibhushana Rao Singam Aruna

Department of ECE, AU College of Engineering, Andhra University, Visakhapatnam 530003, India

Department of ECE, AU College of Engineering for Women, Andhra University, Visakhapatnam 530003, India

Corresponding Author Email: 
divya.kanti74@gmail.com
Page: 
971-982
|
DOI: 
https://doi.org/10.18280/isi.300414
Received: 
31 January 2025
|
Revised: 
18 April 2025
|
Accepted: 
24 April 2025
|
Available online: 
30 April 2025
| Citation

© 2025 The authors. This article is published by IIETA and is licensed under the CC BY 4.0 license (http://creativecommons.org/licenses/by/4.0/).

OPEN ACCESS

Abstract: 

The rapid growth of plant disease has influenced the economy of the developing nation by minimizing crop productivity. Conventional plant disease categorization approaches were hard to implement and consumed more time for processing, which made the classification task more complicated. Moreover, due to the increasing global population, implementing advanced technology in the field of agriculture is essential to guarantee continuous food supply for future generations. Currently, to perform plant disease detection, deep learning approaches are implemented since they offer more accurate detection outcomes within a short duration. However, they demand for huge volume of data and resources for processing. Therefore, it is essential to design an effective model to offer generalized outcomes in plant disease classification and to overcome the complexities of the classical networks. Initially, the raw plant leaf images are collected from the standard resource. Later, the collected images are offered to the designed Transformer-based Recurrent Residual U-Net (Trans-R2UNet) to perform plant disease segmentation. Then, the segmented images are subjected directly to the classification system. Here, the classification is carried out using the Gabor Dilated Convolutional Neural Network with Spatial Attention (GDCNN-SA). The proposed GDCNN-SA achieved CSI values of 37.14 and an accuracy of 98.55%. But, the existing GDCNN had 10.79 CSI values and 82.02% accuracy. Further, the proposed Trans-R2UNet had 0.268 accuracy in segmentation, thus significantly improving disease detection. The experimental evaluation demonstrated that the designed system obtained superior results in classifying the plant disease. Overall, the proposed work promotes sustainable environmental modeling and data-driven environmental assessments.

Keywords: 

plant disease classification, transformer-based recurrent residual U-Net, Gabor dilated convolutional neural network with spatial attention

1. Introduction

Globally, agriculture plays a fundamental role in food production and economic stability. In the developing nation, agriculture is considered the backbone that holds a major part of the economy [1]. Yet, the productivity of the crops is affected by the occurrence of various plant diseases. Therefore, this article proposes enhanced deep learning framework-based leaf segmentation and plant leaf disease detection. Plant diseases degrade the crop yield and quality, thus resulting in high economic losses and food shortages. Hence, timely prediction of plant disease is essential to improve control measures. Despite advances in technology across multiple areas, farmers frequently depend on irrelevant disease identification techniques, including manual examination [2]. The farmer's experience-aided technique has major drawbacks. This approach could assist an agriculturalist in recognizing common plant diseases [3]. Yet, it is unsuccessful in recognizing novel and unidentified diseases of plants. The delay in detecting multiple plant diseases will influence crop production [4]. Currently, agricultural practices in both rural and urban areas have improved due to the integration of advanced technology that assists in overcoming the challenges faced by the classical approaches [5].

Moreover, the utilization of advanced image processing and identification approaches has offered multiple ways to detect plant disease at the beginning stage [6]. Furthermore, various Computer-Aided Diagnosis (CAD) applications were generated to address the shortcomings faced by the traditional classification models and to maximize the competence of the system in disease categorization [7]. In addition, numerous approaches were implemented to perform accurate plant disease classification. In recent days, deep learning-based approaches have gained more popularity in automatic plant disease classification.

Among other deep learning techniques, neural networks are broadly employed in certain tasks, including object detection and image processing [8]. However, the existing plant disease classification works struggled to handle the presence of background noise in raw leaf images, including lighting variations, complex textures, and occlusions. The environmental noises and unwanted artifacts degrade the classifier’s performance. Therefore, precise segmentation of the diseased regions is fundamental to upgrade the efficiency of the classifier. By isolating the affected areas, segmentation aids in capturing the disease-specific patterns while reducing the influence of irrelevant background information. In the prevailing works, UNet semantic segmentation was used to perform precise damage detection in plant images.

Utilizing deep learning-based approaches, especially CNN, has presented superior and exact disease classification outcomes. Moreover, deep learning-based approaches assist in tackling the limitations of standard agricultural practices and enhance the productivity of the cultivated crops [9]. Since the texture, color, and dimension vary from plant, the efficiency of the classification models is minimized [10]. Some existing work utilized hyperspectral imaging to capture detailed spectral information, enhancing plant disease detection. Further, hyperspectral data aids in improving the efficiency of early disease stress detection [11, 12]. The prior studies were inadequate to handle diverse plant specifies. Also, some existing frameworks failed to support real-time applicability due to the high computational complexity.

Hence, a unique deep-learning framework is generated to perform accurate plant disease classification. The contributions presented by the suggested disease classification system are discussed below,

  • To design an effective system for plant disease classification by exploiting the advantages of deep learning approaches. The key function of this model is to determine plant disease at the beginning stage and to boost the yield of the crop cultivated on the field, which gradually improves the economy of the nation.
  • To construct an innovative disease segmentation system labeled Trans-R2UNet by incorporating the functions of the transformer with the R2UNet to determine the disease-affected region within the given input images.
  • To build an effective plant disease classification model GDCNN-SA by establishing dilated and spatial attention connection to the GCNN model. This model employs the segmented images attained from the Trans-R2UNet to produce the disease's classified results.

The proposed method introduces a novel plant disease classification approach using GDCNN-SA and Trans-R2UNet segmentation. The proposed method improves feature extraction by integrating Gabor filters and spatial attention mechanisms, thus increasing classification accuracy. Likewise, the proposed Trans-R2UNet localizes disease regions in a precise manner. The proposed method rectifies challenges, such as poor feature representation, computational complexity, and inefficiencies in real-time applications.

The layout of the introduced classification network is outlined here. Initially, the recent investigation based on plant disease classification is given in Section 2. The overall description of the designed classification system is described in Section 3. The execution stage of the implemented model is described in Section 4. Lastly, the outcomes and conclusion are explained in Sections 5 and 6.

2. Literature Survey

In recent years, many researchers implemented various studies to detect plant diseases. Plant diseases can occur due to various environmental reasons. Essentially, air pollution-related stress causes premature leaf aging, thus affecting the performance of disease detection [13]. Also, climate change affects temperature and humidity, which directly influence plant disease occurrence [14]. Additionally, some studies established air quality monitoring to analyze how pollution influences plant disease distribution [15, 16]. To ensure food security and environmental sustainability, an efficient plant disease detection framework is important. In this section, numerous related studies are investigated according to their contribution to plant disease classification.

2.1 Related works

The YOLO-Enhanced Rat Swarm Optimizer-Red Fox Optimization-ShuffleNetv2 (YR2S) model builds upon YOLOv7 by integrating preprocessing and tuning techniques, where PCFAN generates feature maps from input images during preprocessing [17]. The disease-affected region within the images was determined by employing the FCN-RFO. Additionally, Shuffle Net with ERSO was employed to tune the classification procedure. Moreover, the competence of this designed system was evaluated using a standard leaf dataset.

The disease area segmentation helped to improve the model’s performance. Thus, the developed model had 99.69% accuracy. The simulation results demonstrated that this designed technique was more effective in offering accurate leaf disease detection outcomes than standard models. However, this framework had high computational time, thus affecting the model's reliability. Also, this model struggled to detect objects from complex scenarios.

An innovative model named Cascading Autoencoder with Attention Residual U-Net (CAAR-UNet) was proposed for early-phase plant disease detection and categorization, demonstrating superior performance over conventional methods by accurately identifying four disease variants [18]. Moreover, this model has enhanced crop productivity as well as attained greater accuracy in detecting crop disease at the beginning stage. Thus, the applied model obtained mean pixel accuracy and weighted mean intersection over the union of 95.26% and 0.7451, respectively. Nevertheless, this approach incurred considerable training time owing to the lack of sufficient network functionalities. Further, this model had a class imbalance problem.

An XAI-aided technique was developed for plant disease categorization, demonstrating improved accuracy in identifying various plant ailments [19]. In addition, this model has determined 38 variants of plant diseases with greater accuracy and precision. Thus, the developed approach obtained accuracy, precision, and recall of 99.69%, 98.27%, and 98.26%, respectively. Moreover, these findings were further evaluated using the Local Interpretable Model-agnostic Explanations (LIME) system. This approach promoted global food security. However, this framework was inadequate to handle diverse plant species. Further, this model had memory and resource requirement issues.

The innovative multi-class plant disease categorization framework utilizes CNN technology to accurately classify various plant diseases [20]. Moreover, the competence of the designed model was evaluated using a few estimation measures. According to the resultant values, the EfficientNetB3-Adaptive Augmented Deep Learning (AADL) system has exceeded classical models with respect to accuracy and F1-score. Thus, the developed model had 98.71% accuracy and 98.72% f1-score. Here, the inclusion of transfer learning improved the model's performance. Nevertheless, this framework had a high misclassification rate owing to the artifacts and noises. Also, this model required a massive amount of annotated datasets.

An automated deep learning model was developed for monitoring plant leaf damage and disease, employing a multi-stage approach for disease classification [21]. Moreover, the competence of the introduced system was estimated by investigating the obtained outcomes over numerous standard approaches. Thus, the developed approach obtained efficiency and accuracy of 97% and 99%, respectively. The evaluation outcome revealed that the designed approach has attained greater effectiveness in classifying plant diseases and suggested effective measures for improving crop productivity. This framework offered effective treatment options regarding the severity of the damage. However, this framework failed to extract the subtle feature representations. Further, this framework struggled to identify the small objects.

A two-stage deep learning model quantifies crop disease from corn field imagery, where SegNet, UNet, and DeepLabV3+ networks first isolate leaves from complex backgrounds then precisely locate disease lesions [22]. Finally, the severity assessment was done. This framework had 0.9422 mean weighted intersections over union (mwIoU), showing the model’s supremacy. However, this model was ineffective owing to the over-fitting problems.

An optimized watermelon scion leaf segmentation framework was proposed, combining the Hungarian algorithm with information theory to select optimal features through a re-ranking scheme [23]. An improved Mask2Former network efficiently segmented the watermelon scion leaf with high accuracy. This approach had recall of 99.21%. But this framework was inadequate to adapt to the real-time segmentation in dynamic field conditions.

An automated pipeline based on segmentation neural networks was developed for leaf spot severity scoring in peanuts [24]. Here, the neural network was used to identify the infected leaf surface region and dead leaves via plot-level cellphone imagery. This model had 0.996 root mean square. This approach significantly improved the segmentation efficiency. However, this approach had a maximum error rate.

The model combines Lite-SRGAN and Lite-UNet to achieve early, precise segmentation and localization of plant leaf diseases, where Lite-SRGAN enhances image resolution for accurate detection [25]. Similarly, the Lite-UNet was used to segment and localize the plant leaf disease-affected region. Finally, the convolutional neural network was used to classify the leaf diseases with 99.76% accuracy. This approach had better efficiency. However, this framework was insufficient to capture subtle disease symptoms.

The three-dimensional analysis method detects plant stress from a single RGC image by identifying boundaries between individual leaves [26]. Thereafter, deep neural networks and 3D reconstruction were employed to detect the plant stress effectively. This approach had 22.86% precision. This approach had low time complexity. However, this framework had poor detection outcomes.

2.2 Problem statement

The detection of plant disease is crucial for improving crop productivity which causes a major impact on the economy. Crop loss can be prevented by the timely identification of disease and ensures a stable food supply. Various advanced methods were developed in the earlier research which achieved the best performance in identifying the plant disease accurately. However, the three are the research gaps in the existing methodologies and are listed here.

  • The effectiveness of the classical strategies is minimized due to the problem that is created in the pre-processing and feature extraction phase. Thus, this work initiated the advanced deep learning techniques that effectively perform both feature extraction and detection.
  • Further, some prevailing segmentation models were ineffective in handling the plant species with different leaf structures, textures, and disease symptoms. Also, the segmentation model that is suitable for multi-modal inputs remains under explored. Hence, the proposed Trans-R2UNet was generalized well enough to adapt to multiple plant species while maintaining accuracy. Further, the proposed Trans-R2UNet proficiently supports multi-modal scenarios regarding disease area segmentation.
  • Many prior models are computationally intensive, limiting their applicability in real-time agricultural scenarios. By using GDCNN-SA, the proposed work designs a lightweight system suitable for deployment in field conditions without compromising accuracy.
  • Because of the non-uniform and complicated background, the traditional methods need improvement in real-world detection. To address these shortcomings, this work proposed a deep learning methodology with an added mechanism to categorize the plant leaf disease effectively.
  • The earlier methods face difficulties in handling the variation in plant disease because of the low-quality and noisy images. These issues are solved using the proposed deep learning model to increase detection accuracy.

The advantages and disadvantages of the classical plant disease classification techniques are discussed in Table 1.

Table 1. Features and challenges of existing plant disease classification model

Ref

Methodology

Features

Challenges

Madhurya and Jubilson [17]

YOLOv7

It effectively detects the spot where the disease symptoms occurred. It achieves high precision value.

It faces difficulties in detecting objects from the complex environment.

Abinaya et al. [18]

CAAR-UNet

This model is capable of capturing the informative features from the given images. It offers robust performance in plant disease detection.

It has a class imbalance issue, which tends to classify the different number of samples.

Nigar et al. [19]

MobileNetV2

It achieves higher classification performance.

It is more adaptable and sustainable.

It consumes a huge source of computation resources.

Adnan et al. [20]

CNN

It has the capability to automatically identify the unique feature without the need for manpower.

It requires large labeled data.

Polly and Devi [21]

YOLOv8

It performs real-time detection from crop leaf images.

It improves flexibility.

It is hard to identify the small object with low contrast in the image.

3. Architectural View of Advanced Plant Disease Classification Model

3.1 Proposed plant disease classification model

The occurrence of plant disease in the cultivation field will affect the productivity of the crops. Currently, various kinds of research have been implemented by integrating the concept of artificial intelligence for detecting diseased plants as well as classifying the variants of plant diseases.

Deep learning, a variant of artificial intelligence is extensively employed in image processing, because of its efficiency in analyzing huge volumes of input information, which is essential for disease classification. Thus, a novel plant disease classification system is designed by exploiting the advantages of deep learning. Here, the plant leaf images accumulated from the internet resources are employed throughout the training and testing phase. At the beginning stage, the collected images are offered to the designed Trans-R2UNet model. The Trans-R2UNet is constructed by incorporating the functions of the transformer with the R2UNet to determine the disease-affected region on the plant leaf, which is essential for accurate classification. Later, the segmented images are provided to the introduced GDCNN-SA to classify plant diseases. The GDCNN-SA is built by establishing a dilated and spatial attention connection to the GCNN model. Additionally, the capability of the suggested classification model is investigated by analyzing the resultant values with the standard classification networks. The pictorial view of the designed plant disease classification system is represented in Figure 1.

Figure 1. Deep learning-based plant disease classification system

3.2 Dataset considered for analysis

The required plant leaf images for categorizing plant disease are accumulated from the Plantify Dr Dataset, which can be viewed through “https://www.kaggle.com/datasets/lavaman151/plantifydr-dataset”. It comprises nearly 125,000 plant images that are collected from ten variants of plants. The collected images are preserved in the jpg format and consumed nearly 2.77GB of storage space. The sample images from the given dataset are shown in Figure 2.

Figure 2. Sample images garnered from the given dataset

High-quality images ensure efficient feature extraction for plant leaf segmentation and plant disease classification.

4. Trans-R2UNet with Spatial and Gabor Attention for Plant Disease Classification

4.1 Trans-R2UNet-based segmentation

Plant disease segmentation is performed to determine the disease-affected region within the given images. Here, plant disease segmentation is executed on the designed Trans-R2UNet. Trans-R2UNet is developed by integrating the functions of the transformer layer with the R2UNet. R2UNet [27] is an innovative model that is widely employed to execute segmentation tasks. The plant leaf segmentation helps to enhance disease-affected regions. In the proposed work, the transformer aids in capturing global contextual information. The proposed Trans-R2UNet improves segmentation accuracy by combining recursive residual learning and U-Net structure. The R2UNet employs the functions of the deep residual network, Recurrent CNN (RCNN), and UNet. The RCNN is a beneficial model that has offered superior outcomes in the field of object detection by employing diverse benchmarks. Moreover, the function of the Recurrent Convolution Layer (RCL) is executed based on discrete time steps, which are defined on the basis of RCNN. Let us assume an input ${{c}_{a}}$ within the ${{a}^{th}}$ level of the Residual RCNN (RRCNN) unit and a pixel placed $\left( o,k \right)$ on the given input within ${{l}^{th}}$ feature map on RCL. The outcome of the RRCNN model $\left( P_{o,k,l}^{a} \right)$ during the time step $y$ is expressed via Eq. (1).

$P_{okl}^{a}\left( y \right)={{\left( e_{l}^{g} \right)}^{Y}}*c_{a}^{g\left( o,k \right)}\left( y \right)+{{\left( e_{l}^{t} \right)}^{Y}}*c_{a}^{t\left( o,k \right)}\left( y-1 \right)+{{n}_{l}}$     (1)

In Eq. (1), the input offered to the classical convolutional layers and ${{a}^{th}}$ RCL layer is indicated as $c_{a}^{g\left( o,k \right)}\left( y \right)$ and $c_{a}^{t\left( o,k \right)}\left( y-1 \right)$. The weight of classical convolutional layers and ${{l}^{th}}$ feature map of the RCL layer are represented as $e_{l}^{g}$ and $e_{l}^{t}$.

The constant value is mentioned as $Y$. The bias function is denoted as ${{n}_{l}}$. Further, the outcome achieved from the RCL layer is provided to the ReLU activation function $g$ as derived using Eq. (2).

$G\left( {{c}_{a}},{{e}_{a}} \right)=g\left( P_{o,k,l}^{a}\left( y \right) \right)=\max \left( 0,P_{o,k,l}^{a}\left( y \right) \right)$     (2)

Here, the outcome attained from ${{a}^{th}}$ layer of the RCNN block is expressed as $G\left( {{c}_{a}},{{e}_{a}} \right)$. In R2UNet, the RCNN’s outcome is fed into the residual blocks and the outcome attained from the RRCNN unit ${{c}_{a+1}}$ is achieved by Eq. (3).

${{c}_{a+1}}={{c}_{a}}+G\left( {{c}_{a}},{{e}_{a}} \right)$    (3)

Here, the input offered to the RRCNN unit is represented as ${{c}_{a}}$. The weight factor is illustrated as ${{e}_{a}}$. Moreover, the ${{c}_{a+1}}$ sample is employed as the input information for the sampling layers within the encoding and decoding blocks of the R2UNet. Additionally, the segmentation efficiency is improved by integrating a transformer layer into the R2UNet. The transformer layer [27] employs a multi-head self-attention (MHA), Layer Normalization (LN), and Multi-Layer Perceptron (MLP) layers to process the given input information. The function executed on the transformer layer is given in the below equations.

${{s}_{i-1}}=Msa\left( Ln\left( {{x}_{i-1}} \right) \right)+{{x}_{i-1}}$     (4)

${{x}_{i}}=Mlp\left( Ln\left( {{s}_{i-1}} \right) \right)+{{s}_{i-1}}$    (5)

where, $i\in \left\{ 1,\ldots L \right\}$.

In this designed Trans-R2UNet, the accumulated plant leaf images are considered as the input to determine the disease-affected regions within the plant leaf and the segmented outcome is then forwarded to further processing. The pictorial view of the designed Trans-R2UNet-aided plant disease segmentation network is given in Figure 3.

The segmented images highlight the regions of interest, thereby capturing the disease-relevant features effectively.

Figure 3. Trans-R2UNet-aided plant disease segmentation network

4.2 Gabor convolutional neural network

GCNN [28] is designed by embedding Gabor filters with the DCNN model. The main function of the Gabor filter in GCNN is to encode the orientation data within the learned filters as well as integrate the scale data into diverse layers of the network. By performing this function, the GCNN improves the corresponding convolution features and offers a few feature maps that hold both the orientation and scale data. The GCNN is numerically described using Eq. (6).

$G=GConv\left( G,{{V}_{i}} \right)$     (6)

Here, the term ${{V}_{i}}$ defines the ${{i}^{th}}$ Gabor filter, which is upgraded during the procedure of back-propagation and the term $G$ defines the feature map. Moreover, the channels $\hat{G}$ are achieved by employing Eq. (7).

${{\hat{G}}_{i,l}}=\sum\limits_{m=1}^{M}{{{G}^{\left( m \right)}}}\otimes V_{i,y=l}^{(m)}$     (7)

In Eq. (7), the term $m$ describes the ${{m}^{th}}$ channel of the input feature map $G$ and Gabor filter ${{V}_{i,y}}$. The term ${{\hat{G}}_{i,l}}$ indicates the ${{l}^{th}}$ orientation response offered by $\hat{G}$. The symbol $\otimes$ defines the convolution operator. The architectural view of GCNN is presented in Figure 4.

Figure 4. Architectural view of GCNN

4.3 Developed plant disease classification network: GDCNN-SA

Plant disease classification is performed on the developed GDCNN-SA model by considering the segmented images obtained from the Trans-R2UNet as input information. The GDCNN-SA is designed by establishing a dilated and spatial attention connection to the GCNN model. Dilation connection [29] utilizes a dilated convolution layer, which allows the model to boost the receptive field by preserving a stable count of parameters. The inclusion of dilation and spatial attention connection enhances feature representation. By establishing a dilation connection, the classification system can understand the complicated relations within the given data. The numeric form of the dilation convolution is given in Eq. (8).

$H\left( f \right)=\left( v{{*}_{g}}h \right)\left( f \right)=\sum\limits_{u-0}^{k-1}{f\left( i \right)\cdot {{v}_{f-g\cdot \cdot u}}}$     (8)

In Eq. (8), the term $g$ describes the dilation factor, as well as the filter size is indicated as $k$. Here, $v$ indicates the dilation rate, $h$ denotesthe input factor, and $f$ depicts the dilated convolution operation. Additionally, a spatial attention [30] connection is given to the GCNN. The prime function of spatial attention is to localize the essential information from the feature map. The spatial attention is evaluated by implementing the average and max pooling functions to the feature map. Further, the resultant feature maps are combined to attain an efficient feature descriptor. Later, a convolution layer is implemented on the resultant feature descriptor to create the spatial attention map ${{Z}_{d}}\left( G \right)\in {{T}^{J\times E}}$ as defined in Eq. (9) and Eq. (10).

${{Z}_{d}}\left( G \right)=\sigma \left( Con{{v}^{9\times 9}}\left( \left[ A{{g}_{pool}}\left( G \right);M{{x}_{pool}}\left( G \right) \right] \right) \right)$     (9)

${{Z}_{d}}\left( G \right)=\sigma \left( Con{{v}^{9\times 9}}\left( \left[ G_{Ag}^{s};G_{Mx}^{d} \right] \right) \right)$     (10)

Here, the terms $G_{Ag}^{s}~and~G_{Mx}^{d}$ denote the average and max pooling functions. Eq. (10) represents the multi-layer architecture, where the average and max pooling operations are applied layer-wise. In Eq. (9), $A{{g}_{pool}}\left( G \right)$ and $M{{x}_{pool}}\left( G \right)$ represent the direct average pooling and max-pooling operations, respectively. The symbol $\sigma$ indicates the sigmoid activation function and the term $Con{{v}^{9\times 9}}$ indicates the convolution function with filter demission $9\times 9$. By integrating spatial attention, the classification system can focus on a particular region within the segmented images assisting in improving the classification rate. Therefore, by employing the dilation and spatial attention connection the disease classification can offer a more accurate classification outcome. The diagrammatic view of the designed GDCNN-SA-aided plant disease classification system is offered in Figure 5.

Figure 5. GDCNN-SA-aided plant disease classification system

4.4 Social benefits of the proposed work

The proposed work ensures early and accurate plant disease detection, thus aiding in preventing large-scale crop losses. Timely interventions for crop protection help to improve overall yield. Further, precise plant disease identification reduces unnecessary pesticide use. Overall, the proposed AI-driven disease detection upgrades precision farming strategies and a sustainable environment.

5. Results and Discussions

5.1 Simulation setup

The designed GDCNN-aided plant disease classification system was implemented in Python. Furthermore, the efficiency of the designed classification and segmentation models was evaluated by comparing them with a few segmentation techniques like YOLOv7 [17], CAAR-UNet [18], and YOLOv8 [21], UNet [31] and classification models, such as CNN [20], VGG-16 [32] and GDCNN.

5.2 Resultant segmented image attained by the suggested Trans-R2UNet model

The resultant segmented images produced by the introduced Trans-R2UNet system over traditional segmentation models are shown in Figure 6.

In Figure 6, the sample image outcomes of the proposed Trans-R2UNet are presented to showcase the model’s reliability and efficiency. Here, the performance of the proposed Trans-R2UNet is evaluated by comparing it with the existing segmentation tools, such as UNet, YOLOv7, CAAR-UNet, and YOLOv8. Based on the ground truth images, the disease-affected area is segmented by using the segmentation algorithms. In the proposed Trans-R2UNet, the inclusion of transformer functions aids in segmenting the disease-affected region accurately. Thus, the resultant segmented images proved that the proposed Trans-R2UNet proficiently isolates the affected area in the leaves.

Figure 6. Resultant segmented images produced by the designed Trans-R2UNet system

5.3 Segmentation performance evaluation

The effectiveness of the designed Trans-R2UNet model is monitored by employing a few statistical measures. The evaluation of the designed Trans-R2UNet system over traditional segmentation models is presented in Figure 7. Evaluating the segmentation performance is essential to ensure the competence of the introduced system in detecting the disease-affected areas from the given plant leaf images. Figure 8(a) showed that the introduced model achieved an accuracy of 62.5%, 33.33%, 15.55%, and 10.63%, which is more effective than UNet, YOLOv7, CAAR-UNet, and YOLOv8. The transformer mechanism effectively captures long-range dependencies and aids in separating the diseased and healthy regions. The attention mechanism in the transformer helps to handle the complex or overlapping regions. According to the attained segmentation outcome, it is clear that the designed Trans-R2UNet can provide more precise segmentation results than standard models.

Figure 7. Segmentation performance evaluation based on (a) Accuracy, (b) Dice coefficient, and (c) Jaccard

5.4 Classification performance estimation

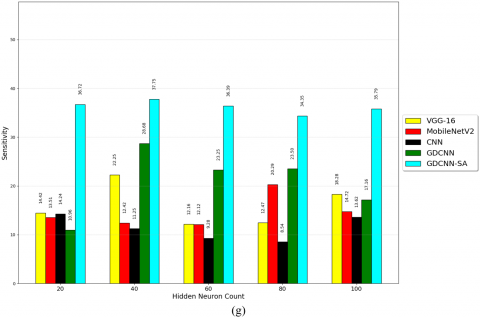
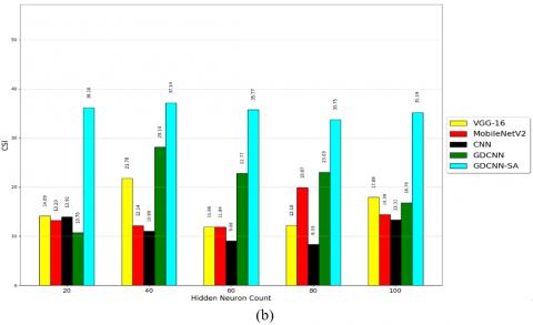
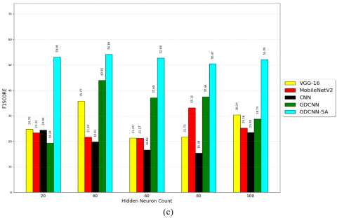
Plant disease classification efficiency of the developed GDCNN-SA framework is estimated by considering hidden neuron count from 20 to 100. The attained results over classical models are given in Figure 8. Performance evaluation by varying the hidden neuron count is effective in understanding the complex relations within the data and handling problems related to overfitting.

Figure 8. Classification performance analysis based on (a) Accuracy, (b) CSI, (c) F1-score, (d) MCC, (e) Precision, (f) Prevalence, and (g) Sensitivity

From Figure 8(b), the CSI value of the developed GDCNN-SA framework has exceeded classical models like VGG-16 [32], MobileNetV2, CNN, and GDCNN by 60.96%, 63.43%, 61.44%, and 70.36%, while taking the hidden neuron count of 20. The proposed GDCNN-SA obtained CSI values of 36.10, 37.14, 35.77, 30.73, and 31.19 with 20, 40, 60, 80, and 100 number of hidden neurons, respectively. However, the traditional GDCNN achieved CSI values of 10.79, 28.14, 22.27, 22.73, and 16.78 with 20, 40, 60, 80, and 100 number of hidden neurons, respectively. The existing works struggled to handle multiple plant species.

The performance of the proposed GDCNN-SA is improved due to the utilization of the Gabor filter. The Gabor filter plays a prime role in feature extraction. The Gabor filter significantly captures texture-based features, which are crucial for plant disease classification. Further, the Gabor filter captures edge, shape, and texture variations in leaf images. The Gabor filter extracts spatial frequency information by applying multiple scales. Moreover, the Gabor filter is specially designed to handle different plant species. Based on the classification outcome, the developed GDCNN-SA framework offered superior performance in classifying plant disease variants than standard techniques.

5.5 ROC curve-based efficiency estimation

The ROC curve of the designed GDCNN-SA framework across standard approaches is presented in Figure 9. The ROC curve assists in determining the best framework by offering a comparative analysis over traditional approaches. The optimal model is determined by considering the AUC value, and the framework with a greater AUC value is chosen. From Figure 9, the developed GDCNNN-SA has attained an AUC value of 88.45%, which is greater than other conventional systems including VGG-16, MobileNetV2, CNN, and GDCNN. The Gabor filter has beneficial characteristics, such as multi-scale representation and enhanced feature extraction Thus, the evaluation outcomes demonstrated that this introduced system achieved superior efficiency than classical approaches in classifying plant diseases.

Figure 9. ROC curve-based performance analysis

5.6 Summary

The proposed work aims to develop an AI-driven solution for early plant disease detection to reduce crop losses and improve food security. The motivation behind the research is to address the inefficiencies in traditional methods like poor accuracy and environmental interferences. The scope of the proposed work in real-time agricultural applications is to ensure precise disease identification across diverse plant species. The objective of the proposed research is to integrate GDCNN-SA and Trans-R2UNet segmentation for superior feature extraction and plant disease classification.

Policy suggestions: Policymakers promote AI-based plant disease detection through smart farming infrastructure and real-time monitoring tools to upgrade agricultural sustainability.

Future recommendations: The proposed work will expand in the future by incorporating multimodal data, such as thermal imaging and hyperspectral imaging. Also, real-world deployment will be optimized through edge computing and mobile-based applications.

6. Conclusion

An effective plant disease classification model was designed by exploiting the merits of deep learning. This introduced model has employed plant leaf images taken from internet sources. In the beginning, the accumulated images were given to the designed Trans-R2UNet to determine the disease-affected area from the given images. In addition, the segmented images were given to the developed GDCNN-SA system for disease classification. Furthermore, various evaluation measures were performed to estimate the competence of the designed system. According to the evaluation results, the generated GDCNNSA framework was 10.87%, 12.06%, 11.11%, and 16.49% superior to classical models like VGG-16, MobileNetV2, CNN, and GDCNN respectively, regarding accuracy. The proposed GDCNN-SA achieved an accuracy of 98.55% with 20 hidden neurons, whereas the existing CNN had 83.15% accuracy with 20 hidden neurons. Hence, the simulation results concluded that this suggested system was more effective in classifying plant diseases with classification accuracy.

  References

[1] Chelloug, S.A., Alkanhel, R., Muthanna, M.S.A., Aziz, A., Muthanna, A. (2023). Multinet: A multi-agent DRL and EfficientNet assisted framework for 3d plant leaf disease identification and severity quantification. IEEE Access, 11: 86770-86789. https://doi.org/10.1109/ACCESS.2023.3303868

[2] Rani, K.A., Gowrishankar, S. (2023). Pathogen-based classification of plant diseases: A deep transfer learning approach for intelligent support systems. IEEE Access, 11: 64476-64493. https://doi.org/10.1109/ACCESS.2023.3284680

[3] Bhatti, M.A., Zeeshan, Z., Bhatti, U.A., Khan, A., Ghadi, Y.Y., Alsenan, S., Li, Y., Asif, M., Afzal, T. (2024). Advanced plant disease segmentation in precision agriculture using optimal dimensionality reduction with fuzzy c-means clustering and deep learning. IEEE Journal of Selected Topics in Applied Earth Observations and Remote Sensing, 17: 18264-18277. https://doi.org/10.1109/JSTARS.2024.3437469

[4] Phan, H., Ahmad, A., Saraswat, D. (2022). Identification of foliar disease regions on corn leaves using SLIC segmentation and deep learning under uniform background and field conditions. IEEE Access, 10: 111985-111995. https://doi.org/10.1109/ACCESS.2022.3215497

[5] Shafi, U., Mumtaz, R., Qureshi, M.D.M., Mahmood, Z., Tanveer, S.K., Haq, I.U., Zaidi, S.M.H. (2023). Embedded AI for wheat yellow rust infection type classification. IEEE Access, 11: 23726-23738. https://doi.org/10.1109/ACCESS.2023.3254430

[6] Balasundaram, A., Sharma, A., Swaathy, K., Shaik, A., Kavitha, M.S. (2024). An improved normalized difference vegetation index (NDVI) estimation using grounded dino and segment anything model for plant health classification. IEEE Access, 12: 75907-75919. https://doi.org/10.1109/ACCESS.2024.3403520

[7] Begum, S.S.A., Syed, H. (2024). GSAtt-CMNetV3: Pepper leaf disease classification using osprey optimization. IEEE Access, 12: 32493-32506. https://doi.org/10.1109/ACCESS.2024.3358833

[8] Zhou, C., Zhou, S., Xing, J., Song, J. (2021). Tomato leaf disease identification by restructured deep residual dense network. IEEE Access, 9: 28822-28831. https://doi.org/10.1109/ACCESS.2021.3058947

[9] Zhou, C., Zhang, Z., Zhou, S., Xing, J., Wu, Q., Song, J. (2021). Grape leaf spot identification under limited samples by fine grained-GAN. IEEE Access, 9: 100480-100489. https://doi.org/10.1109/ACCESS.2021.3097050

[10] Latif, M.A., Afshan, N., Mushtaq, Z., Khan, N.A., Irfan, M., Nowakowski, G., Alqhtani, S.M., Mursal, S.N.F., Telenyk, S. (2023). Enhanced classification of coffee leaf biotic stress by synergizing feature concatenation and dimensionality reduction. IEEE Access, 11: 100887-100906. https://doi.org/10.1109/ACCESS.2023.3314590

[11] Bhatti, U.A., Huang, M., Neira-Molina, H., Marjan, S., Baryalai, M., Tang, H., Wu, G., Bazai, S.U. (2023). MFFCG-multi feature fusion for hyperspectral image classification using graph attention network. Expert Systems with Applications, 229: 120496. https://doi.org/10.1016/j.eswa.2023.120496

[12] Bhatti, U.A., Yu, Z., Chanussot, J., Zeeshan, Z., Yuan, L., Luo, W., Nawaz, S.A., Bhatti, M.A., Ain, Q.U., Mehmood, A. (2021). Local similarity-based spatial-spectral fusion hyperspectral image classification with deep CNN and Gabor filtering. IEEE Transactions on Geoscience and Remote Sensing, 60: 1-15. https://doi.org/10.1109/TGRS.2021.3090410

[13] Bhatti, U.A., Marjan, S., Wahid, A., Syam, M.S., Huang, M., Tang, H., Hasnain, A. (2023). The effects of socioeconomic factors on particulate matter concentration in China's: New evidence from spatial econometric model. Journal of Cleaner Production, 417: 137969. https://doi.org/10.1016/j.jclepro.2023.137969

[14] Bhatti, U.A., Nizamani, M.M., Mengxing, H. (2022). Climate change threatens Pakistan’s snow leopards. Science, 377(6606): 585-586. https://doi.org/10.1126/science.add9065

[15] Bhatti, U.A., Zeeshan, Z., Nizamani, M.M., Bazai, S., Yu, Z., Yuan, L. (2022). Assessing the change of ambient air quality patterns in Jiangsu Province of China pre-to post-COVID-19. Chemosphere, 288: 132569. https://doi.org/10.1016/j.chemosphere.2021.132569

[16] Bhatti, U.A., Wu, G., Bazai, S.U., Nawaz, S.A., Baryalai, M., Bhatti, M.A., Hasnain, A., Nizamani, M.M. (2022). A Pre-to Post-COVID-19 change of air quality patterns in anhui province using path analysis and regression. Polish Journal of Environmental Studies, 31(5): 4029-4042. https://doi.org/10.15244/pjoes/148065

[17] Madhurya, C., Jubilson, E.A. (2023). Yr2s: Efficient deep learning technique for detecting and classifying plant leaf diseases. IEEE Access, 12: 3790-3804. https://doi.org/10.1109/ACCESS.2023.3343450

[18] Abinaya, S., Kumar, K.U., Alphonse, A.S. (2023). Cascading autoencoder with attention residual U-Net for multi-class plant leaf disease segmentation and classification. IEEE Access, 11: 98153-98170. https://doi.org/10.1109/ACCESS.2023.3312718

[19] Nigar, N., Faisal, H.M., Umer, M., Oki, O., Lukose, J. (2024). Improving plant disease classification with deep learning based prediction model using explainable artificial intelligence. IEEE Access, 12: 100005-100014. https://doi.org/10.1109/ACCESS.2024.3428553

[20] Adnan, F., Awan, M.J., Mahmoud, A., Nobanee, H., Yasin, A., Zain, A.M. (2023). EfficientNetB3-adaptive augmented deep learning (AADL) for multi-class plant disease classification. IEEE Access, 11: 85426-85440. https://doi.org/10.1109/ACCESS.2023.3303131

[21] Polly, R., Devi, E.A. (2024). Semantic segmentation for plant leaf disease classification and damage detection: A deep learning approach. Smart Agricultural Technology, 9: 100526. https://doi.org/10.1016/j.atech.2024.100526

[22] Divyanth, L.G., Ahmad, A., Saraswat, D. (2023). A two-Stage deep-learning based segmentation model for crop disease quantification based on corn field imagery. Smart Agricultural Technology, 3: 100108. https://doi.org/10.1016/j.atech.2022.100108

[23] Zhu, Y., Yu, Q., Xu, Z. (2025). Optimized watermelon scion leaf segmentation model based on Hungarian algorithm and information theory. Electronics, 14(3): 620. https://doi.org/10.3390/electronics14030620

[24] Larsen, J., Dunne, J., Austin, R., Newman, C., Kudenov, M. (2025). Automated pipeline for leaf spot severity scoring in peanuts using segmentation neural networks. Plant Methods, 21(1): 22. https://doi.org/10.1186/s13007-024-01316-x

[25] El-Assiouti, H.S., El-Saadawy, H., Al-Berry, M.N., Tolba, M.F. (2023). Lite-SRGAN and Lite-UNet: Toward fast and accurate image super-resolution, segmentation, and localization for plant leaf diseases. IEEE Access, 11: 67498-67517. https://doi.org/10.1109/ACCESS.2023.3289750

[26] Pérez-Patricio, M., Osuna-Coutiño, J.D.J., Ríos-Toledo, G., Aguilar-González, A., Camas-Anzueto, J.L., Morales-Navarro, N.A., Velázquez-González, J.R., Cundapí-López, L.Á. (2024). Plant stress detection using a three-dimensional analysis from a single RGB image. Sensors, 24(23): 7860.

[27] Alom, M.Z., Yakopcic, C., Hasan, M., Taha, T.M., Asari, V.K. (2019). Recurrent residual U-Net for medical image segmentation. Journal of Medical Imaging, 6(1): 014006. https://doi.org/10.1117/1.JMI.6.1.014006

[28] Strudel, R., Garcia, R., Laptev, I., Schmid, C. (2021). Segmenter: Transformer for semantic segmentation. In 2021 IEEE/CVF International Conference on Computer Vision (ICCV), Montreal, QC, Canada, pp. 7242-7252. https://doi.org/10.1109/ICCV48922.2021.00717

[29] Liu, C., Ding, W., Wang, X., Zhang, B. (2018). Hybrid Gabor convolutional networks. Pattern Recognition Letters, 116: 164-169. https://doi.org/10.1016/j.patrec.2018.10.014

[30] Wan, R., Mei, S., Wang, J., Liu, M., Yang, F. (2019). Multivariate temporal convolutional network: A deep neural networks approach for multivariate time series forecasting. Electronics, 8(8): 876. https://doi.org/10.3390/electronics8080876

[31] Shwetha, V., Bhagwat, A., Laxmi, V., Shrivastava, S. (2024). A custom backbone UNet framework with DCGAN augmentation for efficient segmentation of leaf spot diseases in jasmine plant. Journal of Computer Networks and Communications, 24(1): 5057538. https://doi.org/10.1155/2024/5057538

[32] Bhagat, M., Kumar, D., Kumar, S. (2023). Bell pepper leaf disease classification with LBP and VGG-16 based fused features and RF classifier. International Journal of Information Technology, 15(1): 465-475. https://doi.org/10.1007/s41870-022-01136-z