A Study of Corrosion Inhibition in Archaeological Artifact Copper Alloys

A Study of Corrosion Inhibition in Archaeological Artifact Copper Alloys

Shaker Salih Bahar Hassanin M. Ali* Abbas Khaleel Ibrahim Al-Gburi Ali Obaid Imarah

Department of Chemical Engineering, Faculty of Engineering, University of Babylon, Babil 51001, Iraq

Department of Chemical Engineering and Petroleum Industries, Faculty of Engineering, Al-Mustaqbal University, Babil 51001, Iraq

Corresponding Author Email: 
eng.hassanin.mehsin@uobabylon.edu.iq
Page: 
243-248
|
DOI: 
https://doi.org/10.18280/acsm.490303
Received: 
7 May 2025
|
Revised: 
12 June 2025
|
Accepted: 
25 June 2025
|
Available online: 
30 June 2025
| Citation

© 2025 The authors. This article is published by IIETA and is licensed under the CC BY 4.0 license (http://creativecommons.org/licenses/by/4.0/).

OPEN ACCESS

Abstract: 

Corrosion is a significant problem for metallic antiquities in museums. This study aims to preserve cultural heritage by diagnosing active corrosion in archaeological metals at the Alkafeel Museum in Iraq. In this paper, the work consisted of two parts, the first part of which was studied in wet media. The natural Rosmarinus inhibitor was used as a corrosion inhibitor on copper metal in salt solution (3.5% NaCl). Corrosion rate was determined by free corrosion and polarization technique at temperatures of 30, 40, and 50℃, and natural Rosmarinus inhibitor concentrations were 0, 2, and 4 g/l. The results indicate that the corrosion rate of copper decreases with increasing inhibitor concentration and temperature. The potential of corrosion became more negative with increasing velocity and temperature, and became less negative with increasing concentration of inhibitor. The best conditions were 30℃ as temperature and 4 g/l inhibitor concentrations. In second part, under a dry environment, the effect of external parameters on the corrosion of a copper alloy is examined. A corrosion system was established to test the corrosion of a copper alloy sample inducing different conditions, three concentrations of sulfates 5, 20, and 30 ppm, with two mediums, one of which is dry and the other wet, for a specified period of 360 hr. The results show an increase in the corrosion rate with increased humidity and an increase in the concentration of sulfate. When a PMT inhibitor, 1 g/l is added, the corrosion rate is zero, and when the flask was removed and emptied from the air for a period of 60 days, the corrosion rate was equal to zero.

Keywords: 

corrosion, metallic antiquities, copper artifacts, copper alloys, PMT inhibitor, preservation strategies

1. Introduction

Copper besides copper alloys are essential metals for easy preventive maintenance and as materials for construction, with specialized applications in crafts and the electro-technical industry. The integration of green corrosion inhibitors with controlled environmental conditions for the preservation of historical copper artifacts represents a novel advancement in conservation science. Previous studies have explored various aspects of corrosion prevention but have not comprehensively combined these strategies. For instance, Abdel-Karim and El-Shamy [1] reviewed the effectiveness of natural compounds as eco-friendly corrosion inhibitors for archaeological metal artifacts, emphasizing the need for sustainable solutions but without addressing the impact of environmental controls. Similarly, the OXYCAT Controlled Atmosphere Technology has been used to create inert gas environments for artifact preservation, effectively inhibiting microbial growth and oxidative processes; however, it does not specifically investigate the synergistic effects of combining such environments with corrosion inhibitors. Additionally, vacuum freeze-drying techniques, as discussed by the Canadian Conservation Institute, focus on moisture removal from waterlogged artifacts but do not incorporate corrosion inhibition methods. Another relevant approach, biopassivation, introduced by Joseph [2], utilizes biological agents to form protective layers on corroded copper surfaces but does not integrate environmental conditioning. Unlike these existing studies, the current research uniquely combines the usage of Rosmarinus extract as a green corrosion inhibitor with controlled environmental conditions, including vacuum environments, to enhance long-term preservation. This dual approach not only leverages the eco-friendly properties of natural inhibitors but also improves their efficacy by minimizing the environmental factors that accelerate corrosion. By addressing both chemical and environmental aspects of artifact degradation, this study presents a comprehensive and scientifically validated preservation strategy that advances the field of corrosion science and sets a new benchmark for historical metal conservation.

Copper besides its alloys exhibit high resistance to corrosion, ensuring stability in atmospheric environments. This effect is particularly evident in conditions where variations in humidity and temperature occur alongside the presence of solid pollutants and gaseous emissions from industrial activities, such as chlorine (Cl₂) and sulfate (SO₄) gases. Aggressive pollutants, including acidic rain and gaseous contaminants, can be transported over long distances, affecting a wider area [3, 4].

Indoor environments, such as depositories, galleries, and museums, are comparatively less aggressive, even in enclosed spaces. However, copper alloys still exhibit specific corrosion patterns, such as cracking and intergranular corrosion. The preventive maintenance of traditional artifacts against corrosion depends on both chemical and physical factors. Chemically, corrosion prevention involves inhibiting oxygen exposure to the metal surface [5-7].

In Iraqi museums, including the Al-Kafeel Museum, the primary cause of copper corrosion is the existence of chloride and sulfate ions suspended in the air, combined with moisture and oxygen. Preventive maintenance for heritage artifacts is carried out through two main approaches: isolating metal artifacts from oxygen exposure to prevent corrosion and applying corrosion inhibitors. In Table 1, corrosion of metals is shown in accordance with the standard ISO 9224.

The cuprite layer is formed on bronze and copper surfaces after wetting. The electrolytes of surface in the second stage of oxidation contain ions of sulfate corresponding with their wet and dry depositions from copper diffusing ions through the layer of cuprite and the atmosphere [8-10].

The two types main of patina are CuSO4 ・Cu(OH)2 and CuSO4 ・ 2Cu(OH)2 , the first occurs with rain places, dew and snow, while the second is formed by condensed humidity of air. Copper and alloy copper cleaning.

Corrosion products removal cleaning techniques can be classified to two groups [11-13].

Table 1. Guiding rates of corrosion for copper [11]

Corrosivity Category

Corrosion Rate $\bf(\bf{\mu}m/a)$

 

First 10 years            Following years

C1

≤0.01

≤0.01

C2

0.01<0.1

0.01<0.1

C3

0.1<15

0.1<1

C4

1.5<3

1<3

C5

3<5

3<5

* C represents the purity of copper

1.1 Mechanical cleaning

One of the main advantages of mechanical cleaning is that it does not alter the shape of the object or introduce new materials that could potentially contribute to heritage degradation. Additionally, it does not affect colors that may dissolve in aqueous solutions and does not require the use of toxic or suffocating chemicals. To perform the method, soft brushes of various sizes and roughness are employed to remove dust. Wrapped cotton on plastic needles or beveled wooden pieces can also be used. Furthermore, metal tools, such as knives and non-abrasive tapes, are applied to remove solid deposits from the object's surface. Fur and needles, which should be used under magnification, are also useful in this process. In some cases, machines or devices, such as pneumatic scraping tools or laser technology, can be employed for more advanced mechanical cleaning, with laser technology having seen significant advancements in recent years.

1.2 Chemical cleaning

When mechanical cleaning fails to remove stains, chemical cleaning becomes the only viable solution. However, it is challenging to control the solvent or its byproducts, and improper use can lead to future damage to the object. One of the significant challenges faced by restorers is finding an appropriate cleaner that can effectively remove dirt without damaging the object. In any case, organic solvents should only be used sparingly, and they should be miscible with water, allowing for easy dilution or concentration adjustment. It is essential to use detergents or solutions that target dirt more effectively than they affect the object.

1.3 Inhibitor

Green inhibitors have gained significant popularity over the past decade due to their importance in various chemical technologies, product design, and commercial applications aimed at reducing waste and avoiding toxins. Engineers and corrosion scientists are increasingly inclined to adopt green inhibitors because they are readily available, cost-effective, ecologically acceptable, and environmentally friendly. Green corrosion inhibitors are biodegradable and do not include heavy metals or another toxic compounds. One of the most practical methods for protecting copper from corrosion in various environments is the use of green inhibitors [14]. Rosmarinus, a green inhibitor derived from the Rosmarinus plant (commonly known as rosemary), belongs to the Lamiaceae family. Due to its content of lots of good stuff like rosmarinus acid (C18H16O8), carnosic acid (C20H28O4), phenolic acids, and diterpenes, it is widely used in cosmetics, perfumes, shampoos, ant repellents, air fresheners, corrosion inhibitors, and other everyday chemical products. Carnosic acid and Rosmarinus acid are important corrosion inhibitors for copper alloys, due to their ability that block oxygen from the metal surface. That inhibitor worked very efficiently under experimental conditions, where the variable conditions were temperature and inhibitor concentration in a highly saline medium. In other words, the harshest wet medium was chosen, containing a high percentage of sodium chloride.

Additionally, rosemary is extensively used in the food industry. Many in-depth studies have been conducted on its extracts, focusing on color protection, food preservation, oil stabilization, and other applications. Also, Rosemary essential oil is known for its insecticidal, anti-inflammatory, and sterilizing properties [15].

Figure 1 shows the rosemary plant, which is the main source of active compounds, in another side the chemical inhibitor of corrosion used for the stabilization of copper and its alloy artefacts of archaeological is 1-Phenyl-5Mercapto-Tetrazole (PMT) inhibitor, C7H6N4S [14]. PMT was used in powder form, with a molecular weight of 178.21 and a purity of 99% from Ottokemi Company. The theory of PMT to prevent surface corrosion copper is that PMT is surface chemisorbed of metal and formed the thin film prevents the oxygen adsorption and very slows down or stops the copper reaction with its environment 2Cu + O2 ⇆ CuO2 [16-20]. This study investigates the corrosion of copper alloys under atmospheric pressure, particularly in sculptures at the Al-Kafeel Museum. At first, reducing the dry corrosion of copper alloys using a PMT inhibitor. Also, it evaluates Rosmarinus extract as a green inhibitor in chloride-rich environments and examines the impact of sulfate and humidity on corrosion in dry conditions. By integrating electrochemical techniques and environmental controls, the purpose of this study to develop eco-friendly approaches for preserving copper-based heritage items. Figure 2 shows the PMT powder and its chemical structure.

Figure 1. Rosmarinus officinalis

Figure 2. 1-Phenyl-5Mercapto-Tetrazole (PMT) inhibitor

2. Experimental Work

The working electrode was a specimen of copper with dimension of 2×6 cm from Al-Kafeel museum, placed horizontally in 1L glass container flask, Table 2 shows the nominal and the analytical chemical composition of carbon steel pipe in ministry of industry and minerals State Company for in section and Engineering Rehabilitation Engineering ins and lab Department, Baghdad, Iraq.

Table 2. Composition of studied copper

Mn%

Si%

P%

S%

C%

Cr%

Mo%

Ni%

Al%

Fe%

Cu%

0.096

0.021

0.0217

0.0078

0.005

0.0124

0.0032

0.0063

0.0169

0.045

Bal.

2.1 The specimen preparation

In advance of every experiment, the copper specimen (working electrode) was immersed in a 1% HCl solution containing 60 g of hexamine per liter for 2 minutes to remove rust and dirt. After each experimental run, the specimen was washed with water, dried with paper tissue, and then immersed in methanol for 2 minutes. It was subsequently dried again in a desiccator for 1 hour.

The sample weight was measured using a four-decimal point digital balance, in accordance with ASTM standards. The digital balance employed was a Sartorius BP3015, which ensures precise measurements with four decimal places.

2.2 Stage one

The experimental work was produced to calculate the corrosion rate of copper specimens under temperatures of 30, 40, and 50℃, using a 3.5% NaCl solution. The study comprised three main parts: First, Loss of weight measurements were conducted to determine the average corrosion rates at various concentrations of green inhibitors moreover various temperatures. Second, free corrosion experiments were carried out to measure the corrosion potential (Ecorr) using a voltmeter at varying green inhibitor concentrations and temperatures. Lastly, electrochemical polarization measurements were performed to determine the corrosion current (icorr), corrosion potential (Ecorr), and limiting current density (iL). These measurements were obtained using the Tafel extrapolation method from anodic and cathodic polarization curves under the specified experimental conditions. Figure 3 shows the specimen of copper alloy used in the experiments.

2.3 Preparing the inhibitor

Before using the green inhibitor, it should be dried and then ground using an electric grinder. Rosemary was then immersed in 1 liter of water for 2 hours.

Figure 3. Copper alloy specimen

2.4 Weight loss experiments

In weight loss experiments, after cooling the specimen, it was placed in the scales to measure the first weight W1 and the specimen was exposed to a corrosion environment for 2 hours in the solution. The specimen was taken and cleaned and dried by the previous steps, and then weighted W2.

where,

ΔW = W1-W2                      (1)

By measuring the difference between two weights, the corrosion rate can be calculated using:

CR= ∆W/(A t)                      (2)

The corrosion rate was also measured at different temperatures 30, 40 and 50℃, and different green inhibitors concentrations.

2.5 Experiments of free corrosion

The values were obtained by using pair of electrodes: a copper alloy sample as the cathode (working electrode) and reference electrode is a saturated calomel electrode (SCE) as shown in Figure 4. The specimen after preparing with the previous steps, it was immersed in a salt solution of 3.5% NaCl and an acid solution of 0.1N HCl for 2 hr and the corrosion potential was determined by voltmeter at available temperatures and concentration of inhibitor.

2.6 Polarization experiments

Measurements were obtained by using a copper electrode with a graphite electrode as an axillary electrode and a reference electrode is saturated calomel electrode with a Lugging capillary bridge. The tests were performed at 30, 40 and 50℃, with readings taken every 2 minutes.

The Polarization Experiments are determining the corrosion potential and corrosion current using the Tafel method. The solution was prepared and heated to the required temperature by using a thermostat water bath. Then the electrical circuit was linked and after completing all electrical connections, switched on of the electrical circuit, the DC power supply constant at 12 V. Maximum current value passes through the cell because the resistance is approach to zero. After waiting some time to reach the steady-state value, they recorded the readings of potential and cathodic current from the voltmeter and ammeter respectively. The specimen was cathodically polarized and could be drawn with the cathodic curve. By replacing the anodic and cathodic connections to the DC power supply, adjusting the resistances from higher to lower values, and recording the potential and anodic current, the polarization anodic curve can be drawn using a semi-log scale.

Figure 4. Schematics illustrates electrochemical cell

2.7 Stage two

2.7.1 Weight loss experiments

The corrosion rate was measured at temperatures 35℃, and at different sulfate concentrations 20, 30 ppm at different humidity 30, 60, 90%, Moisture can be obtained by evaporating a certain amounts of water as shown in Table 3:

Table 3. Humidity calculations

Humidity %

30%

60%

90%

Water, ml/l

5

12

20

Sulfate concentrations can be obtained by dissolving sodium sulfate as shown in Table 4:

Table 4. Sulfate ions calculations

SO4-1, ppm

5

20

30

NaSO4, ppm

15

60

90

An amount of sodium sulfate is added to water to achieve the required humidity level. The weight of the copper sample is measured before the experiment, and then the sample is placed in a flask at a temperature of 35℃, under the specified humidity conditions and sulfate concentration. After 360 hours, the weight of the copper sample is measured again, and the weight difference is calculated. This procedure is repeated for all experiments. Additionally, a 1 g/l concentration of the PMT inhibitor is added, which evaporates with the sulfate at 90% humidity and a 30 ppm sulfate concentration. The sample is then placed in the flask, and the air is evacuated for 30 days. After this period, the weight difference is calculated. Figure 5 illustrates the experiment using a chemical inhibitor (PMT) in a dry medium, employing the copper alloy specimen weight loss technique.

Figure 5. The test apparatus weight loss

3. Results and Discussion

As shown in Figure 6, it is evident that the corrosion rate decreases with the increasing concentration of the inhibitor. Green or chemical inhibitors work by forming thin films in several ways: through adsorption, the development of a passive layer on the metal surface, and/or the formation of bulky precipitates [21]. Many inhibitors prevent corrosion by adsorbing onto the metal surface, forming an invisible thin film that is only a few molecules thick. Others form bulky precipitates that protect the metal by coating it and shielding it from further attack. Another mechanism involves the corrosion of the metal in such a manner that the corrosion products form a passive layer, with a combination of adsorption and passive protection.

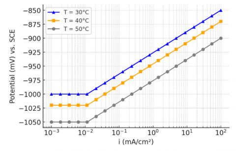
Figure 7 shows the behavior of the copper alloy's corrosion potential over time in an acidic solution at different temperatures for a 2-hour period. From this figure, it might be observed that the corrosion potential turns more negative with time. This is attributed to the depletion of O₂ due to its high reduction rate on the metal surface.

Figure 8 shows the technique of polarization curves of copper alloys in 3.5% NaCl solution, from this figure it can be noticed that the inhibitor type is anodic, where potential shifted to more noble values.

Figure 6. The copper corrosion rate vs inhibitor concentration at different temperatures in salt solution at t=2 hr

Figure 7. The copper corrosion potential vs. time at different temperature and with 3 gm/l inhibitor in salt solution

Figure 8. Electrochemical polarization curves of copper alloy in salt solution with 3 gm/l of green inhibitor

The percentage of cathodic protection increased as the applied current was increased. In neutral solutions, oxygen reduction is typically the cathodic corrosion process. The kinetics of the cathodic process can be controlled by the rate at which oxygen diffuses to the copper surface, which is slower than the rate at which oxygen is consumed by the cathodic reaction. As the temperature increases, corrosion is enhanced due to the increased diffusivity of oxygen, while the solubility of oxygen decreases, which in turn leads to a decrease in the corrosion rate. The rise in solution temperature may lower the equilibrium corrosion potential of copper and hydrogen, while increasing the equilibrium potential of oxygen. The effect of humidity (30%, 60%, and 90%) and sulfate concentration (5, 20, and 30 ppm) on corrosion, as measured by the method of weight loss, is illustrated in Table 5.

Table 5. The loss of weight (g) of copper specimen values at different sulfate concentrations and different humidity values

Humidity%

C, ppm

30

60

90

5

0

0

0.0001

20

0.0002

0.0005

0.0012

30

0.0003

0.0006

0.0013

30 ppm with inhibitor

0

0

0

In Table 5, one can notice that an increase in the corrosion rate with increasing humidity, this is due to the increase in conductivity, as well as the increase in oxygen that reacted with the surface of the copper metal, thereby increasing the corrosion rate.

Table 5 also indicates a rise in the corrosion rate corresponding to an increase in sulfate concentration, because the sulfate ion interacts with the surface of the copper sample to produce copper sulfate, as in the equation below [16]:

Cu + 2SO4-       →     Cu (SO4)2

When a PMT inhibitor is added, the rate of corrosion is zero, because the inhibitor forms a layer that prevents oxygen from reaching the surface of the copper metal.

In an experiment, when the flask was removed and emptied from the air for a period of 30 days, the corrosion rate was equal to zero. The corrosion pattern that occurs in copper alloys is uniform, and the factors of temperature and inhibitor concentration are essential to reduce this type of corrosion. This can be greatly reduced by using the rosemary inhibitor if the medium is wet, or PMT if the medium is dry, which is shown in the above figures.

4. Conclusions

The corrosion rate of copper metals is influenced by several factors, including humidity, sulfate concentration, inhibitor concentration, and temperature. It was noted that the corrosion rate increases with rising humidity and sulfate concentration. However, as the inhibitor concentration and temperature increase, the corrosion rate decreases, and the potential of corrosion becomes more negative over time. The introduction of a PMT inhibitor effectively reduces the corrosion rate to zero, as does the absence of air within the flask, which also maintains a zero corrosion rate. The use of a vacuum for the protection and maintenance of heritage pieces proved to be more effective than the addition of inhibitors. Furthermore, the green inhibitor demonstrated an inhibition efficiency of up to 90%, highlighting its potential as an environmentally friendly and effective solution for corrosion protection.

Acknowledgment

Sincere appreciation is extended by the authors to the Alkafeel Museum for its valuable help. The authors also want to express our gratitude to the Chemical Engineering Department Laboratory/University of Babylon for providing the facilities and technical support that were essential to the successful completion of this study.

  References

[1] Abdel-Karim, A.M., El-Shamy, A.M. (2022). A review on green corrosion inhibitors for protection of archeological metal artifacts. Journal of Bio- and Tribo-Corrosion, 8: 35. https://doi.org/10.1007/s40735-022-00636-6

[2] Joseph, E. (2021). Biopassivation method for the preservation of copper and bronze artefacts. Frontiers in Materials, 7. https://doi.org/10.3389/fmats.2020.613169

[3] Zohdy, K.M., El-Sherif, R.M., Ramkumar, S., El-Shamy, A.M. (2021). Quantum and electrochemical studies of the hydrogen evolution findings in corrosion reactions of mild steel in acidic medium. Upstream Oil and Gas Technology, 6: 100025. https://doi.org/10.1016/j.upstre.2020.100025

[4] Kucera, V., Tidblad, J., Kreislova, K., Knotkova, D., Faller, M., Reiss, D., Snethlage, R., Yates, T., Henriksen, J., Schreiner, M., Melcher, M., Ferm, M., Lefèvre, R.A., Kobus, J. (2007). UN/ECE ICP materials dose-response functions for the multi-pollutant situation. Water, Air, & Soil Pollution: Focus, 7(1): 249-258. https://doi.org/10.1007/s11267-006-9080-z

[5] Mattsson, E., Holm, R. (1982). Atmospheric corrosion of copper and its alloys. In Atmospheric Corrosion. John Wiley and Sons, pp. 365-381.

[6] Farsi, C., Zergane, S., Amroune, S., Mohamad, B., Benyahia, A., Latrache, M. (2023). Evolution of the electrical potential for the cathodic protection of pipelines according to the variation of the imposed current. Journal of Harbin Institute of Technology (New Series). https://doi.org/10.11916/j.issn.1005-9113.2024049

[7] Chiavari, C., Rahmouni, K., Takenouti, H., Joiret, S., Vermaut, P., Robbiola, L. (2007). Composition and electrochemical properties of natural patinas of outdoor bronze monuments. Electrochimica Acta, 52(27): 7760-7769. https://doi.org/10.1016/j.electacta.2006.12.053

[8] Selwyn, L.S., McKinnon, M.R., Argyropoulos, V. (2021). Models for chloride ion diffusion in archaeological iron. Studies in Conservation, 46: 109-121. http://doi.org/10.2307/1506841

[9] Aldeen, A., Mahdi, D., Zhongwei, C., Disher, I., Mohamad, B. (2023). Effect of isothermal and isochronal aging on the microstructure and precipitate evolution in beta-quenched n36 Zirconium alloy. Facta Universitatis-Series Mechanical Engineering, 23(1): 49-63. https://doi.org/10.22190/FUME230405019A

[10] Ashurst, J., Ashurst, N., Wallis, G., Toner, D. (1988). Practical Building Conservation: English Heritage Technical Handbook (Vol. 4: Metals). Gower Technical Press Ltd. https://www.amazon.com/Practial-Building-Conservation-Heritage-Technical/dp/0291397484.

[11] Gullman, J. (1994). Principles of bronze sculpture: Its making and unmaking: A study of outdoor bronze sculpture conservation. The Central Board of National Antiquities and National Historical Museum. https://www.academia.edu/71653516/Principles_of_bronze_sculpture_its_making_and_unmaking_a_study_of_outdoor_bronze_sculpture_conservation.

[12] Somerscales, E.F.C., Sanatgar, H. (1992). Hydrodynamic removal of corrosion products from a surface. British Corrosion Journal, 27(1): 36-44. http://doi.org/10.1179/000705992798268846

[13] Hughes, R., Rowe, M. (1991). The Colouring, Bronzing and Patination of Metals. Thames and Hudson Ltd. https://www.amazon.com/Colouring-Bronzing-Patination-Metals/dp/0823007626.

[14] Marzorati, S., Verotta, L., Trasatti, S.P. (2018). Green corrosion inhibitors from natural sources and biomass wastes. Molecules, 24(1): 48. https://doi.org/10.3390/molecules24010048

[15] Supriya, T., Srinu, P., Nandhini, G.V.S.R., Uma Devi, M., Sharmani, R. (2024). A review on therapeutic potential of Rosmarinus officinalis L. Journal of Pharma Insights and Research, 2(3): 167-173. https://doi.org/10.69613/8kjgqt69

[16] Mahmoud, G.A., Abdel-karim, A.M., Saleh, S.M., El-Meligi, A.A., El-Rashedy, A.A. (2025). Corrosion inhibition of copper alloy of archaeological artifacts in chloride salt solution using Aloe vera green inhibitor. Journal of Alloys and Compounds, 1010: 177540. https://doi.org/10.1016/j.jallcom.2024.177540

[17] Wali, H.F., Bahar, S.S. (2021). A study of natural Rosmarinus corrosion inhibitor for zinc in HCl solution. Journal of Physics: Conference Series, 1973(1): 012126. https://doi.org/10.1088/1742-6596/1973/1/012126

[18] Kertit, S., Hammouti, B. (1996). Corrosion inhibition of iron in 1M HCl by 1-phenyl-5-mercapto-1,2,3,4-tetrazole. Applied Surface Science, 93(1): 59-66. https://doi.org/10.1016/0169-4332(95)00189-1

[19] Essoufi, H., Kertit, S., Hammouti, B., Benkaddour, M. (2000). 1-Phenyl-5-mercapto-1,2,3,4-tetrazole (PMT) as corrosion inhibitor for nickel in sulphuric acid solution. Bulletin of Electrochemistry, 16(5): 205-208.

[20] Banerjee, P., Sengupta, S., Murmu, M., Murmu, N.C. (2022). Copper oxide as a corrosion inhibitor. In Inorganic Anticorrosive Materials: Past, Present and Future Perspectives. Elsevier Inc., pp. 211-229. https://doi.org/10.1016/B978-0-323-90410-0.00012-X

[21] Bahar, S.S., Alabboodi, K.O., Al-Gburi, A.K.I., Ajjam, S.K., Obaid, Z.S. (2024). Corrosion inhibition of carbon steel using tree gum in 3.5% NaCl solution. Annales de Chimie - Science des Matériaux, 48(6): 747-753. https://doi.org/10.18280/acsm.480601