Impact of Rolled and Crushed Aggregate with Natural Pozzolan on the Behavior of HPC

Impact of Rolled and Crushed Aggregate with Natural Pozzolan on the Behavior of HPC

Salim ZitouniMekki Maza Nadia Tebbal Zine El Abidine Rahmouni 

Laboratory for Geo-Materials Development, Civil Engineering Department, Faculty of Technology, Msila University, M’sila 28000, Algeria

Institute of Urban Techniques and Management, Laboratory for Geo-Materials Development, Msila University, M’sila 28000, Algeria

Corresponding Author Email: 
nadia.tebbal@univ-msila.dz
Page: 
45-52
|
DOI: 
https://doi.org/10.18280/acsm.460106
Received: 
18 January 2022
|
Revised: 
16 February 2022
|
Accepted: 
21 February 2022
|
Available online: 
28 February 2022
| Citation

© 2022 IIETA. This article is published by IIETA and is licensed under the CC BY 4.0 license (http://creativecommons.org/licenses/by/4.0/).

OPEN ACCESS

Abstract: 

High performance concrete (HPC) has several advantages in building construction that cannot be achieved using conventional concrete in terms of strength durability, resistance to chemical attack, and workability of high performance concrete are high. The introduction of fillers and additives contributed to the improvement of high-performance concrete (HPC), other parameters also influence the performance of these HPCs, coarse aggregate fraction is known to strongly influence both fresh and hardened concrete’s properties. Consequently, selection of both content and particle size distribution for (HPC) mixture is an important issue regarding the predicted performance of concrete. For to make concrete more improvement , the porosity of the granular skeleton as well as the rheology of our HPC, 3/8 fraction of rolled gravel with smooth and rounded surfaces was introduced, in substitution for the crushed gravel of the same fraction , by testing various combinations of fractions 3/8 of rolled gravel and fraction 8/15 of crushed gravel in the present study, and based on previous results obtained the combinations 35,40 and 45% fraction 3/8 of rolled gravel and 65 , 60 and 55% fraction 8/15 of crushed gravel (binary granular system) respectively, gives a minimal porosity . Super plasticizer and four percentages of pozzolan were experimented. Compressive strength function of coarse aggregate was determined at 7, 14 and 28 days. Results have revealed that the mixtures with modified granule size distribution system ,1.5% of superplasticizer and 5% by weight of pozzolan allow an improvement in the compressive strength of 35.1% relative to the control concrete.

Keywords: 

coarse aggregate, rolled gravel, pozzolan, compressive strength, high performance concrete

1. Introduction

Recent studies conducted all over the world have proven that the quality of the aggregate strongly affects the fresh and hardened concrete, especially in terms of durability and economy. Therefore, the selection of aggregates is a very important process. Current trends in the formulation of high performance concrete and low environmental impact show that the solid volume fraction is increasingly high. However, increasing the volume fraction of solid presents serious effects on the workability of new concrete. The high performance concrete (HPC) is highly fluid concrete which requires high dosages of sand and fine elements compared to ordinary concrete (OC) [1, 2]. Although some variation in aggregate properties is expected, particle shape, surface texture, unit weights, absorption voids, and surface moisture are among the characteristics that should be considered when selecting aggregates.

Many studies have focused on improving certain characteristics of concrete, such as lightness and thermal and sound insulation [3]. HPC is usually produced using high quality materials its use is widely in the construction of huge building such as bridges, tall buildings, tunnels, nuclear structures ... etc. The improved properties of the HPC can be obtained only by several simultaneous dispositions:

- The use of specific additives, in particular water-reducing super plasticizers, as well as mineral additions such as pozzolan, fly ash, blast furnace slag, silica fume and other.

- The aggregates must be of good quality, the strength of the concrete Being limited by that of the aggregates themselves,

- The use of high grade cements at dosages between 400 and 550 kg / m3 [3].

Navarrete et al. demonstrated that coarse aggregates of the same content, type and surface texture, but with different aspect ratios and angularity indices, have an impact on the mechanical behavior of hardened concrete [4]. Other researchers shown that the strength, stiffness and fracture energy of concrete depend on the type of aggregate, especially for high-strength concrete [5].

Brito et al. explained that the shape regularity of the aggregate is one of the major factors that affect the influence of aggregates on concrete quality [6].

Neuwald et al. stated that the aggregates’ characteristics should be taken into consideration for the performance required for fresh and hardened concrete [7]. The shape and size of coarse aggregate has a vital influence on the necessary mortar and paste volume to cover all particles. Naturally uncrushed gravel often needs less mortar or paste than does limestone. Crushed aggregate tends to reduce flow because of the interlocking of the angular particles, whilst rounded aggregate improves the flow because of lower internal friction [8].

The incorporation of mineral additives is currently an important technology in improving concrete and mortar properties such as fluidity, strength and durability. However, to take full advantage of these materials and choosing the best solutions to improve the formulation, it is necessary to know the properties of these new components and the extent of their impacts on mortar and concrete [9]. It was agreed that the effect of pozzolanic materials in a cement system is significant, especially for development of calcium silicate hydrate framework [10].

Aitcin [2] has been noted that the characteristics of the paste, regardless of the cementitious additions (CA) that compose it in terms of shape and texture, as well as minerals and strength may result in different concrete strengths. From this aspect, the impact of the additives properties on the strength of concrete becomes very important in terms of improving its quality and performance, as in the case of HPC [11].

Sahin et al. [12] observed that the increase in strength for a given increase in cement content depends on the cement content itself and the type of aggregate used. On the other hand, it is not enough to just relate the compressive strength to w/c of HPC, but there are other factors that have a direct impact on the development of the mechanical properties of concrete especially HPC. In such a situation, the coarse aggregate should be carefully chosen relenting on its physical and mechanical properties [13, 14].

The aggregate properties depend on the properties of the parent rock (e.g., chemical and mineralogical composition, petro graphic classification, hardness, strength, and pore structure). All these characteristics have an important influence on the properties of both fresh and hardened concrete [15, 16].

Celik et al. considered that the crushed stone is more adapted for the HPC production compared to natural gravel and sand [16]. Other researchers studied some types of CA using percentages of 36%, 40% and 44% by volume of concrete for producing HPC with an E/C of 0.28 [13]. They confirmed that the optimum coarse aggregate ratio ranged between 36% and 40%, and that the compressive strength was reduced with an increase of more than 40% of the additives. While other works have also founded that the using an aggregate block with a maximum aggregate size of limestone of 16 mm gives a higher values of mechanicals strength were obtained [17].

Based on a literature review, natural pozzolanic aggregate is chosen as a replacement material for coarse aggregate. The variety and content of pozzolan aggregate have a significant impact on the properties of concrete, primarily caused by the characterization of pozzolan aggregate and the density of concrete decreases with the addition of pozzolan aggregate, which decreases depending on the type of pozzolan aggregate used [18]. A pozzolanic material relies on the secondary reaction following the hydration of cement, whereby it reacts with the free calcium hydroxide to form the calcium silicate hydrates (C-S-H) phase which is the major contributor to strength in concrete [1]. Belouadah et al. [19] have reported that the addition of 10% of marble powder in the concrete mixture enhances its resistance in the time.

  Several studies on mortar and concrete high performance were developed for the purpose of high lighting the effect of the morphology of coarse aggregate and CA on the properties of concrete and HPC, However, there are few studies that have focused on the effect of both the nature and distribution of the granules, as well as the size of rolled and crushed aggregates on the characteristics of concrete [20, 21]. These studies showed the importance to inclusion of rolled coarse aggregate of 3/8 mm fraction at 40% substitution level and 60% of 8/15 mm coarse aggregate fractions in concrete effectively improved the mechanical properties. Hence, the objective of this study is to investigate the impact of the particle size distribution of rolled gravel and crushed gravel on the compressive strength of HPC using several combinations of granular fractions at different percentages with pozzolan addition combined with admixtures. In order to reach the desired goals of this study, we have taken the following steps:

- Firstly, investigate the physical properties of the aggregates (sand aggregate and coarse aggregate) used in terms of granular distribution, strength, relative density, porosity and surface texture;

- Then, the density and the porosity for fractions mixtures rolled gravel and crushed gravel in various percentages (10% to 90%) in order to have the best results of the porosity;

- In this state, three combinations (C1, C2, C3) has been chosen with the proportions of RG (3/8) and CG (8/16) (%) as follows: (35 – 65), (40 – 60), (45 – 55);

- In order to complete the granular skeletons of HPC’s, four percentages of pozzolan addition were tested (0, 5, 8 and 10%) by weight of cement;

- Finally, after selecting the assembly with the lowest porosity, twelve mixtures were formed with 5%, 8% and 10% of pozzolana in order to study the:

  1. Development of compressive strength as a function of time;
  2. Effect of pozzolan addition on the strength concrete;
  3. Effect of rolled gravel on the strength concrete;
  4. Effect of the sand /gravel ratio (S/G) on the strength concrete.
2. Research Significance

Concrete is a material consisting of three elements by containing cement paste, aggregate skeleton and interfacial area. Mechanical strengths significantly affected by the characteristics of these three compositions. Since coarse aggregates occupy on average between 40 and 50% of the total volume of concrete mix, this component can be expected to have a great influence on the properties of hardened concrete. The size, shape and nature of the aggregates play an important role in the water and cement conditions, strength, fluidity and durability of HPC. The principle of this study is to see the influence of the introduction of the 3/8 rolled gravel fraction on the mechanical strength of the concrete, looking for a minimal porosity of the granular skeleton with a combination of proportions of fraction of gravel and an appropriate design of the concrete with these proportions, to improve the quality of HPC in terms of strength and fluidity.

3. Experimental Procedure

3.1 Materials

Cement: The Portland cement type NA 42 - CEM 152,5 R was used in this experimental study. It has an absolute density, consistency and fineness values of 3.1 g/cm3, 28% and 4000 - 5400 cm2/g, respectively.

Pozzolan: pozzolan powder was come from BeniSaf cement plant (north-west of Algeria). In this study, the pozzolan presented a specific gravity of 2670 kg/m3 and 960 m2/ kg for the specific surface. The properties composition of the cement and the pozzolan are given in Table 1.

Aggregates: Two types of coarse aggregates are used, the 8/15 fraction of crushed gravel and 3/8 fraction of rolled gravel, Table 1 shows the chemical and mineralogical compositions, the crushed gravel (CG) have rough and angular surfaces, rolled gravel (RG) have smooth and rounded surfaces. The two types of gravel have a volumetric coefficient greater than 0.2, which complies with the standard conforming to the studies [22, 23].

Sand: A mixed sand is used in our concretes in equal proportions (according to a study presented in a previous publication), 50% natural river sand (DS) which is characterized by siliceous granules, round and smooth shape and a coefficient of fineness, estimated at 1.92, as for the other 50% of sand was made of crushed natural sand (DC) with angular and rough surfaces and a modulus of finesse 2.25 [24].

Superplasticizer: it was used the superplasticizer reducer water manufactured under the name of MEDAFLOW 30. It is designed based on Ether Polycarboxylate which considerably improves the properties of concrete. It is recommended to use 0, 5 to 2% weight of the cement [25].

The properties of the CG, RG and superplasticizer are represented in Table 1.

Table 1. Chemical composition of cement, pozzolan and the coarse aggregate (crushed gravel CG and rolled gravel RG) used

Content (%)

Cement

Pozzolan

CG

RG

SiO2

Al203

Cao

Fe2O3

MgO

SO3

K2O

Na2O

CL-

TiO2

LOI

23.1

6.2

67.8

0.28

0.83

0.89

0.4

0.05

-

-

-

44.78

16.53

10.97

9.01

9.59

0.17

1.15

3.42

0.014

-

-

4.4

1.39

50.7

1.13

0.75

0.79

-

-

-

0.01

41

15.2

0.65

46.1

0.93

0.23

0.20

0.17

-

-

0.01

37

Characteristics of the superplasticizer (MEDAFLOW 3)

Nature

Color

Ph

Density

Chlorine content

Dry extract

Liquid

Light brown

6- 6.5

1.07 ± 0.01

<1g/l

30%

Figure 1. Distribution size of aggregates used

The particle size analysis of aggregates used is shown in Figure 1.

The mineral phases of the RG investigated by the x-ray diffraction (XRD), in which identified by crystalline mineral phases which are essentially composed of the quartz, calcite and anorthite. Result indicated the presence of amorphous materials.

Figure 2 shows the fraction 3/8 of rolled gravel smooth and rounded surfaces, this type of gravel facilitates rearrangement of coarse gravel and improves the workability of the concrete. The different aggregates properties employed in this study are presented in the Table 2.

Figure 2. Grain size of aggregates used

Table 2. Properties of aggregates used

Properties

Sand

Fraction of Coarse aggregate (mm)

DS

CS

R G (3/8)

CG (8/15)

Relative density

2.53

2.54

2.55

2.51

Water absorption (%)

1.67

2.95

0.16

1.33

Dust content (%)

1.50

2.11

1.10

1

Volumetric coefficient

-

-

-

0.153

Content of flat and elongated particles (%)

-

-

-

18.20

Compressive strength (Mpa)

-

-

-

75

Abrasion value (%)

-

-

19.08

23.26

Shape

Rounded

-

Rounded

Angular

Surface texture

Smooth

-

Smooth

Rough

3.2 Mixture composition and granular proportioning

Table 3 provide the density and the porosity for fractions mixtures rolled gravel and crushed gravel.

Table 3. Density and porosity of fractions mixtures

Combination No

Gravels RG (3/8) and CG (8/16) (%)

Bulk Density (kg / l)

Porosity of mixture (%)

1

10 - 90

1.316

50.42

2

20 - 80

1.352

49.08

3

30 - 70

1.361

48.74

4

35 - 65

1.363

48.64

5

40 - 60

1.366

48.56

6

45 - 55

1.362

48.68

7

50 - 50

1.357

48.89

8

60 - 40

1.337

49.64

9

70 - 30

1.337

49.64

10

80 - 20

1.311

49.86

11

90 - 10

1.309

50.68

Figure 3. Porosity of mixtures gravel fractions

Figure 4. Density of mixtures of gravel fractions

Table 4. Combinations of granular fraction used

Mixture code

Coarse aggregate fraction (%)

Coarse aggregate fraction (kg/m3)

Total coarse Aggregate

(kg/m3)

RG

(3/8)

CG

(8/15)

RG

(3/8)

CG

(8/15)

C1

35

65

417

773

1190

C2

40

60

480

720

1200

C3

45

55

527

643

1170

According to the Figures 3 and 4, on can be seen that the mixing combination with 35, 40 and 45% fraction 3/8 rolled gravel give a maximum bulk density with minimum porosity.

Three granular systems were used as basic groups with many percent gravel fractions were selected based on preliminary bulk density and porosity calculation tests, examining the porosity of the different granular fraction combinations. The three combinations chosen in this work gave the best results of the porosity. It was selected and studied with the combination of two types of gravel, namely the fraction 8/16 of crushed gravel and the fraction 3/8 of rolled gravel, in order to better understand their impact on HPC properties. Four pozzolan percentages were tested in this research (0, 5, 8 and 10%) by weight of cement in order to find the best percentage of pozzolan is added, 1.5% by weight of cement of the super plasticizer was added. These percentages were found by saturation tests.

All concrete mixed in accordance of Dreux-Goris method. Table 4 presented the combinations of granular fraction used in the concretes.

3.3 Testing method

The value of the slump in all mixtures was determined by value of about 70 ± 10 mm [26, 27]. Twelve forms of HPC were prepared from the three combinations of granular fraction C1, C2 and C3 and four percentages of pozzolan (0, 5, 8, and 10% based on the weight of cement). The concrete mixtures were labeled using the following codes: CX-PY where the first letters CX represents the combined fraction of CA followed by the number 1, 2, or 3, the letters PY represents the percentage of pozzolan (0, 5, 8 and 10%). The required proportions of dry materials were mixed. Then followed by the stage of adding water mixed with super plasticizer (Medaflow 30) until we get homogeneous concrete mix. Cubic steel moulds (100 × 100 × 100) mm3 have been used for the compressive strength test according to NF EN 12390 – 4 [27]. At the end of mixing, concrete is poured into the molds in three layers, as specified in the standards, using a vibrator plate to compact the concrete into the molds. Then it kept in a laboratory environment at (20℃ ± 2℃ and 55% ± 5% HR) for the first 24 h. The samples, after being removed from the molds, were stored in water until the day of the test, which was determined at: 7, 14 and 28 days.

Table 5 shows the various combinations of coarse gravel with different percentages of pozzolan.

Table 5. Compositions of concretes mixture

Mixture

Code

Cement

(kg/m3)

Sand

(kg/m3)

Coarse aggregate

(kg/m3)

Total CA

(kg/m3)

Pozzolan

(kg/m3)

W/L

3/8

8/15

C1-P0

450

630

417

773

1190

0

0.33

C1-P5

22.5

0.34

C1-P8

36

0.30

C1-P10

45

0.31

C2-P0

625

480

720

1200

0

0.34

C2-P5

22.5

0.30

C2-P8

36

0.30

C2-P10

45

0.31

C3-P0

665

527

643

1170

0

0.33

C3-P5

22.5

0.29

C3-P8

36

0.30

C3-P10

45

0.31

4. Test Results and Discussion

4.1 Development of compressive strength as a function of time

Figures 5, 6 and 7 shows the compressive strength results of all concrete mixtures studied.

For all concrete mixture, compressive strength increases with prolonged cure time. The significant development of compressive strength has been achieved during the first 7 days, as the process of hydration reactions progresses rapidly during this stage.

Between the seventh and the 14th day of curing, a slowing down of the development of the resistance was observed. After the 14th day of curing, the compressive strength continued to increase for the concrete mixtures with pozzolan admixture and slowed substantially for the mixtures without pozzolan addition. It is observed that the effect of pozzolan goes beyond the 14th day of cure and is the greatest value during 28 days.

Figure 5. Compressive strength of C1 combination with and without pozzolan addition

Figure 6. Compressive strength of C2 combination with and without pozzolan addition

Figure 7. Compressive strength of C3 combination with and without pozzolan addition

According to Figures 5, 6 and 7 we notice that the C1 results in a highest value in compressive strength at 28 days, followed by concrete C3. But with concrete C2 there is a significant increase in the compressive strength due to a chemical phenomenon. Moreover, the absence of pozzolan resulted in a increase in the compressive strength of C1-P0 and C3-P0 concrete by 7.8% and 10%, respectively, compared to the C2-P0 concrete in the composition of mixtures. This percentage increase is 8% and 11% for C1-P5, C3-P5 compared to the C2-P5 concrete.

For C1-P8, C3-P8, we note that this range of altitude decreased to 2.5% and 5% respectively, compared to the C 2-P8 and stays in the same range of escalation at for C1-P10, C3-P10. In effect, the compressive strength is influenced by the packing characteristics of the entire mixture that includes fine aggregates, coarse aggregate, cement and water. Also, the W/L values of concrete made with CA mixtures are lower (0.30) than those of concrete without CA (0.34). The use of 1.5% of Medaflow 30 allows reducing the number of voids and pores existing in the concrete, which consequently becomes more compact, more resistant, and more water proof [28, 29]. The high compressive strength value obtained is explained by the good distribution of the aggregates, which improved the performance of the concrete in terms of minimum porosity and compaction.

4.2 Effect of pozzolan addition on the strength concrete

The compressive strength of concrete with pozzolan addition has presented in Figure 8. It can be seen clearly that the introduction of the pozzolan into the concrete mix significantly increases its compressive strength. The percentage of 5% by pozzolan gives the best values for the compressive strength of the concrete, the improvement in the compressive strength of our HPC were: with a percentage of 5% pozzolan is significant, it is 77% relative to the control concrete with 0% pozzolan (C2P0), it is 15% relative to C2P8 and 10% with respect to C2P10. The pozzolan fills the voids between the fines of the mixture and thus reduces the porosity of this mixture, any decrease or increase in the percentage of pozzolan causes an increase in the porosity and consequently a decrease in the resistance [18]. Furthermore, a pozzolanic material relies on the secondary reaction following the hydration of cement, whereby it reacts with the free calcium hydroxide to form the calcium silicate hydrates (C-S-H) phase which is the major contributor to strength in concrete [30].

The bonding point between coarse aggregates used and fine aggregates has been increased, which improves the strength of Portland cement pervious concrete. These results confirm other work [31, 32]. They noted that the increase in compressive due to the grouting impact of fine aggregates in which can improve the gradation of the monolithic aggregates and thus alter the properties of the concrete accordingly.

Figure 8. Compressive strength development depending on the percentage of pozzolan addition

4.3 Effect of rolled gravel on the strength concrete

The compressive strength of concrete with different content of fraction 3/8 of rolled gravel (uncrushed coarse aggregates) were illustrated in Figure 9.

Figure 9. Effect of rolled gravel content on the compressive strength of concrete at 28 days

The best results of the compressive strength is obtained for C2 (40% of fraction 3/8 of rolled gravel and 60% of fraction 8/16 of crushed gravel).From the laboratory study, it was found that the rolled gravel (uncrushed coarse aggregates) need lower W/L ratio than crushed gravel (crushed coarse aggregates) and rolled gravel cater higher strength to concrete made with binary gravel (rolled and crushed gravels).Although the three percentages of fraction 3/8 of gravel rolled in mixtures C1, C2, C3 are chosen for their minimum porosities in the binary mixtures of fraction 3/8 RG and fraction 8/15 CG, the mixture C2 (40% fraction 3/8 RG and 60% fraction 8/15 CG) gives the best compressive strength with respect to C1 and C3, the improvement is 9.7%. This is due to cohesion force between the particles of rounded shape and a smooth surface texture of the rolled gravel (low water absorption). The incorporation of 3/8 mm fraction RG allows an important decreasing of mixing water for all concretes though the high percentages of 40% (3/8 mm) fraction RG used. The concrete resistance depends on the resistance of the gravel rock, so the RG has a better resistance than the CG (presence of cracks). Indeed, the improvement of the compressive is due to the correction of the physical properties (low porosity, improved grading, high compactness, etc....) of the concrete containing binary gravel (rolled and crushed coarse aggregates) [20].

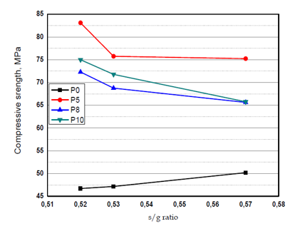
4.4 Effect of the sand /gravel ratio (S/G) on the strength concrete

The (S/G) ratio illustrates the impact of compressive strength in terms of the ratio between coarse aggregate content and fine aggregate has been shows in Figure 10. We can notice that within the values ranging from 0.57 to 0.53, the S/G not important impact on the compressive strength of the control. For a value of the ratio S / G equal to 0.52 we obtain the best values of the compressive strength for all mixtures.

This result agrees with research of Lin which confirms that a higher S/G ratio improved flowability. A greater proportion of coarse aggregate (i.e., a decrease in S/G ratio) improved the mechanical properties by 10% compared to the control specimens (S/G ratio: 52%) [33].

Figure 10. The relation between S/G ratio and the compressive strength

5. Conclusions

This study proved its significance method to made concrete with binary gravel (natural river rolled gravel and manufactured crushed gravel) in order to correct the physical properties of coarse aggregates. In addition, the enhancing of mechanical responses using these two combined types allows a high strength concrete to be produced. Thus, the test results obtained in the present study allow the following conclusions to be drawn;

  • 3/8 mm fraction rolled gravel up to a percentage of 40% is found to improve the physical properties of binary gravel (grading, low porosity, high compactness.) as well as the mechanical strengths. The rate of the strength as the percentage of rolled gravel replacement increase is around 10% for HPC tested mixes overall fractions used in this program.
  • Pozzolan incorporation matched with enhances the concrete resistance of HPC mixes. It reaches a significant increase of more than 70% for its compressive strength at the percentages of 5% pozzolan and 1.5% superplasticizer by weight of cement compared to control concrete (without pozzolana).
  • Through the obtained results, it was found that the compressive strength is related to the variables of coarse aggregate (content, fine to coarse aggregate ratio and grain size distribution) of the concrete mixture).
  • Again rolled (uncrushed) coarse aggregates and pozzolan are cheaper than crushed coarse aggregates in Algeria. So from the study, it can be concluded that the use of rolled gravel and manufactured crushed gravel are appropriate in concrete mixture for better performances in terms of strength and economy.
Acknowledgment

The authors express their acknowledgement for any help provided by all people contributing in the preparation of the present work.

Nomenclature

NA 42 - CEM 152,5

Portland cement type

CG

Crushed gravel

RG

Rolled gravel

DS

Natural river sand

DC

Crushed natural sand

CA

Coarse aggregate

C1-P0

Concrete 1 without pozzolan addition

C1-P5

Concrete 1 with 5% pozzolan addition

C1-P8

Concrete 1 with 8% pozzolan addition

C1-P10

Concrete 1 with 10% pozzolan addition

C2-P0

Concrete 2 without pozzolan addition

C2-P5

Concrete 2 with 5% pozzolan addition

C2-P8

Concrete 2 with 8% pozzolan addition

C2-P10

Concrete 2 with 10% pozzolan addition

C3-P0

Concrete 3 without pozzolan addition

C3-P5

Concrete 3 with 5% pozzolan addition

C3-P8

Concrete 3 with 8% pozzolan addition

C3-P10

Concrete 3 with 10% pozzolan addition

W/L

Water Binder Ratio

S/G

Sand/gravel ratio

NF EN

European Committee for Standardization

  References

[1] Tebbal, N., Rahmouni, Z., Maza, M. (2017). Combined effect of silica fume and additive on the behavior of high performance concretes subjected to high temperatures. Mining Science, 24: 129-145. https://doi.org/10.5277/msc172408

[2] Aitcin, P.C. (2001). Bétons Haute Performance. Edition Eyrolles, Janvier, INSB2, 212-01323-X. Université de Sherbrooke, Québec, Canada.

[3] Basha, S.I., Ali, M.R., Al-Dulaijan, S.U., Maslehuddin, M. (2020). Mechanical and thermal properties of lightweight recycled plastic aggregate concrete. Journal of Building Engineering, 32: 101710. https://doi.org/10.1016/j.jobe.2020.101710

[4] Navarrete, I., Lopez, M. (2017). Understanding the relationship between the segregation of concrete and coarse aggregate density and size. Construction and Building Materials, 149: 741-748. https://doi.org/10.1016/j.conbuildmat.2017.05.185

[5] Özturan, T., Çeçen, C. (1997). Effect of coarse aggregate type on mechanical properties of concretes with different strengths. Cement and Concrete Research, 27(2): 165-170. https://doi.org/10.1016/S0008-8846(97)00006-9

[6] De Brito, J., Kurda, R., Raposeiro da Silva, P. (2018). Can we truly predict the compressive strength of concrete without knowing the properties of aggregates? Applied Sciences, 8(7): 1095. https://doi.org/10.3390/app8071095

[7] Neuwald, A. (2004). Self-consolidating concrete. MC Magazine, 1: 1-3. https://scholar.google.com/scholar?q=Neuwald,%20A%20.,%20Self-Consolidating%20Concrete%20MC%20Magazine,%20pp.%202-4.

[8] Daczko, J. (2019). Self-Consolidating Concrete: Applying What We Know. CRC Press. https://doi.org/10.1201/b11721

[9] Maza, M., Tebbal, N., Zitouni, S., Rahmouni, Z. (2021). Combined effect of marble waste as powder and aggregate form on the proprieties of the mortar. Annales de Chimie-Science des Matériaux, 45(6): 467-476. https://doi.org/10.18280/acsm.450605

[10] Kusbiantoro, A., Embong, R., Shafiq, N. (2017). Adaptation of eco-friendly approach in the production of soluble pozzolanic material. International Journal of Design & Nature and Ecodynamics, 12(2): 246-253. https://doi.org/10.2495/DNE-V12-N2-246-253

[11] Neville, A.M., Brooks, J.J. (1987). Concrete Technology. England: Longman Scientific & Technical. pp. 242-246.

[12] Şahin, R., Demirboğa, R., Uysal, H., Gül, R. (2003). The effects of different cement dosages, slumps and pumice aggregate ratios on the compressive strength and densities of concrete. Cement and Concrete Research, 33(8): 1245-1249. https://doi.org/10.1016/S0008-8846(03)00048-6

[13] Cetin, A., Carrasquillo, R.L. (1998). High-performance concrete: Influence of coarse aggregates on mechanical properties. Materials Journal, 95(3): 252-261.

[14] Giaccio, G., Rocco, C., Violini, D., Zappitelli, J., Zerbino, R. (1992). High-strength concretes incorporating different coarse aggregates. Materials Journal, 89(3): 242-246.

[15] Donza, H., Cabrera, O., Irassar, E.F. (2002). High-strength concrete with different fine aggregate. Cement and Concrete Research, 32(11): 1755-1761. https://doi.org/10.1016/S0008-8846(02)00860-8

[16] Celik, T., Marar, K. (1996). Effects of crushed stone dust on some properties of concrete. Cement and Concrete Research, 26(7): 1121-1130. https://doi.org/10.1016/0008-8846(96)00078-6

[17] Wu, K.R., Yan, A., Yao, W., Zhang, D. (2002). The influence of RPCA on the strength and fracture toughness of HPC. Cement and Concrete Research, 32(3): 351-355. https://doi.org/10.1016/S0008-8846(01)00681-0

[18] Bellil, A., Aziz, A., Achab, M., Amine, A., El Azhari, H. (2021). Effects of the variety and content of natural pozzolan coarse aggregate on the thermo-mechanical properties of concrete. Biointerface Research in Applied Chemistry, 12(4): 5405-5415. https://doi.org/10.33263/BRIAC124.54055415

[19] Belouadah, M., Rahmouni, Z.E., Tebbal, N., Hicham, M.E.H (2021). Evaluation of concretes made with marble waste using destructive and non-destructive testing. Annales de Chimie-Science des Matériaux, 45(5): 361-368. https://doi.org/10.18280/acsm.450501

[20] Zitouni, S., Naceri, A., Maza, M. (2016). Influence of the nature and particle size distribution of rolled and crushed coarse aggregates on the physico-mechanical properties of concrete. Asian Journal of Civil Engineering (Building and Housing), 17(4): 459-478.

[21] Meddah, M.S., Zitouni, S., Belâabes, S. (2010). Effect of content and particle size distribution of coarse aggregate on the compressive strength of concrete. Construction and Building Materials, 24(4): 505-512. https://doi.org/10.1016/j.conbuildmat.2009.10.009

[22] EN 933-1. (2012). Tests for Geometrical Properties of Aggregates-Part 1: Determination of Particle Size Distribution- Particle size analysis by sieving. https://www.boutique.afnor.org/fr-fr/norme/nf-en-9331/essais-pour-determiner-les-caracteristiques-geometriques-des-granulats-part/fa163900/39221.

[23] NF EN 1097- 6. (2014). Tests for mechanical and physical properties of aggregates - Part 6: determination of partic density and water absorption. https://www.boutique.afnor.org/fr-fr/norme/nf-en-123905/essais-pour-beton-durci-partie-5-resistance-a-la-flexion-des-eprouvettes/fa190567/83459#AreasStoreProductsSummaryView.

[24] Menadi, B., Kenai, S., Khatib, J., Aït-Mokhtar, A. (2009). Strength and durability of concrete incorporating crushed limestone sand. Construction and Building Materials, 23(2): 625-633. https://doi.org/10.1016/j.conbuildmat.2008.02.005

[25] Technical data sheet. MEDAFLOW 30, Granitex, Algiers. https://silex-dz.com/wp-content/ uploads/2020/04/MEDAFLOW-30.pdf.

[26] Tebbal, N. (2017). Effet de la nature des granulats sur les propriétés physico-mécaniques et durabilité d’un béton à haute performance. Doctoral thesis. Department of Civil Engineering, Mohamed Boudiaf University, M’sila, Algeria.

[27] NF EN 12390-5. (2012). French standard Tests for hardened concrete-Part 5: Flexural strength of the specimens. https://www.boutique.afnor.org/fr-fr/norme/nf-en-123905/essais-pour-beton-durci-partie-5-resistance-a-la-flexion-des-eprouvettes/fa190567/83459#AreasStoreProductsSummaryView.

[28] Maza, M., Naceri, A., Zitouni, S. (2016). Physico-mechanical properties of mortar made with binary natural fine aggregates (dune sand and crushed sand) with and without chemical admixture. Asian Journal of Civil Engineering (Building And Housing), 17(5): 663-682. https://www.sid.ir/FileServer/JE/103820160509.pdf.

[29] Tebbal, N., Rahmouni, Z.E.A. (2016). Influence of local sand on the physicomechanical comportment and durability of high performance concrete. Advances in Civil Engineering, 2016: 1-10. https://doi.org/10.1155/2016/3897064

[30] Ahmed, A., Kamau, J., Pone, J., Hyndman, F., Fitriani, H. (2019). Chemical reactions in pozzolanic concrete. Modern Approaches on Material Science, 1(4): 128-133. https://doi.org/10.32474/MAMS.2019.01.000120

[31] Zhang, Y., Zhang, W., Zhang, Y. (2019). Combined effect of fine aggregate and silica fume on properties of Portland cement pervious concrete. Advances in Concrete Construction, 8(1): 47-54. https://doi.org/10.12989/acc.2019.8.1.047

[32] Zaetang, Y., Wongsa, A., Sata, V., Chindaprasirt, P. (2017). Influence of mineral additives on the properties of pervious concrete. IJEMS, 24(6): 507-515.

[33] Lin, W.T. (2020). Effects of sand/aggregate ratio on strength, durability, and microstructure of self-compacting concrete. Construction and Building Materials, 242: 118046. https://doi.org/10.1016/j.conbuildmat.2020.118046