Influence of Recycled Plastic Waste and Cement on Pavement Sub-Base Stabilization

Influence of Recycled Plastic Waste and Cement on Pavement Sub-Base Stabilization

Hocine ZianiSadek Deboucha Abderrachid Amriou Hayat Touati Inès Kebaili

Dept. of Civil Engineering, University of Bordj Bou Arréridj, El-Annesser 34030, Algeria

Dept. of Civil Engineering, University Mohamed El Bachir El Ibrahimi of Bordj Bou Arreridj, El Anasser 34030, Algeria

Dept. of Civil Engineering, University of M’sila, M’sila 28000, Algeria

Faculty of Engineering, sp. Civil Engineering, University of Beira Interior Calçada Fonte do Lameiro, P-6201-001 Covilhấ, Portugal

Corresponding Author Email: 
hocine.ziani@univ-bba.dz
Page: 
61-67
|
DOI: 
https://doi.org/10.18280/acsm.460201
Received: 
3 February 2022
|
Revised: 
17 February 2022
|
Accepted: 
26 February 2022
|
Available online: 
30 April 2022
| Citation

© 2022 IIETA. This article is published by IIETA and is licensed under the CC BY 4.0 license (http://creativecommons.org/licenses/by/4.0/).

OPEN ACCESS

Abstract: 

The use of recycled waste in road construction is part of the sustainable development of countries. Plastic waste poses an ecological problem because it is not biodegradable. Recycling this waste to reuse it in different areas seems to be a solution to reduce it. This article is devoted to the use of varieties of additions of recycled plastic waste (RPW) (5 and 10%) without and with Portland cement compound (PCC) (2 and 4%) moistened at the Proctor optimum, to stabilize the foundation layer of the section of the road connecting the highway at the Tixter dry port (Algeria). The results showed, that RPW increases the CBR (California Bearing Ration) of S0 approximately to 139.32%, however the use of 5% of RPW with 2% of PCC raises the CBR of the soil to 386.59% in unsoaked samples and 404.54% in soaked samples. Whereas, UCS (Unconfined Compressive Strength) tests, is marked by increases in compressive strength from 0 to1471.18 KPa and from 754.67KPa to 2051.53KPa of samples dosed with 5% RPW and 4% PCC, soaked and unsoaked respectively. This study offers the opportunity to find the right soil-RPW-PCC combination to stabilize future roads.

Keywords: 

Portland cement, recycled plastic waste, soil-stabilization, sub-base layer

1. Introduction

The last two decades, Algeria launched the creation of dry ports, far from urban areas and near highway axes, in order to control, reduce and rationalize the entry/exit of freight carriers to and from main ports. The choice is always made on non-exploitable and infertile land, most of which has poorly geotechnical characteristics. The connecting such paths, such highway-dry port is often subject to disorders under the expected wheel load, this state leads to practice stabilization in order to improve its bearing capacity and reduce its vulnerability to water.

Since its invention, the use of plastic has not stopped increasing; its global production reaches 8.3 billion tons. In 2015, the amount of plastic waste amounted to 6.9 billion tons, of which 9% was recycled. World Wildlife fund (WWF), estimates that by 2030, global plastic waste production will increase by 41%. At this rate, approximately 12 million tons of plastic waste will be deposited in landfills or in the natural environment by 2050 [1]. The abandonment of plastic has serious repercussions on the environment; it increases soil impermeability and contributes to the degradation of the natural environment in an alarming way [2]. Most studies refer to the stabilization of pavement soils in order to improve its physical and chemical characteristics [3], some propose to use additives in the construction of pavements is more economical to replace them with good quality soil [4]. These additives decrease its compressibility [5] modifies its drainage characteristics [6], and increases its bearing capacity [7]. The materials most commonly used in pavement stabilization are cement and lime, either alone or in combination [8]. However, others propose to recycle waste materials for highway construction [9]. Studies have proven the possibility of using packaging bags, tires and recycled waste in the realization of pavement wearing course and as alternative materials for their reductions [10-12]. To this effect, multitudes of initiatives are engaged to recover and reuse them in different fields and especially in the building and public works, in order to reduce their impact on the environment and even face economic and ecological pressures [13].

The problem of soils at risk is manifested worldwide, Algeria is not immune to these problems [14], and the latter is distinguished mainly by their poor quality, their low resistance to shear, their high compressibility and low carrying capacity [15]. The obligation to improve soil parameters, the sub-base layer in the realization of roads and highways can be achieved by using different stabilizers [16]. Today, the advantageous use of all kinds of waste in the treatment of road layer soils is a practice in full development from year to another [17]. Pierce (2001) [18], shows that the UCS increases with the proportion of binder and with the curing time for the samples, however [19], state that the mechanical parameters vary when the UCS changes. The appearance of disorders on a 2 km section of the road mentioned above, under the effect of an important traffic flow of heavy trucks, transporting containers, where the expertise on site showed the effect of water infiltrations, which induces the leaching of fine particles, and a fall of intrinsic characteristics of the embankments used in the base layer, and in particularly in the sub-base layer which causes its degradation.

Our work consists in evaluating the effect of the addition of RPW, without and with PCC at studied rates, on the physical (porosity), mechanical (strength) characteristics and the bearing capacity of the layer to be stabilized. Finally, the essence of our study, is to contribute to the preservation of nature by reducing plastic waste, because it takes four centuries to degrade (greenhouse gas emissions) by developing the best possible formulation of S0, RPW and PCC mixtures, which gives a maximum dry density and allows, to resize the strong layer of the pavement in order to ensure a good bearing capacity.

2. Test Materials and Methods

2.1 Materials

2.1.1 Initial soil (S0)

The soil used in our study is taken directly from the site. Sampling is taken carefully from three areas, known for their significant deformations and their dangers for road users. The irregularity coefficient Cu and particle classification coefficient Cc of S0 have values greater than 3 and between 1 and 3 respectively, these data reveal a well graded identity with the presence of a multitude of diameter [20]. However, the calculation of limits (WL, WP) and the plasticity index (IP) shows the collapsible aspect of S0 in the presence of water [21]. Table 1, summarizes the results of the S0 characterization tests.

Table 1. Basic geotechnical characteristics of S0

Geotechnical characteristics

Values

Apparent bulk density (g/cm3)

Mass of solid grains γs (g/cm3)

Dry density γd (g/cm3)

Irregularity coefficient Cu (%)

Particle classification coefficients Cc (%)

Liquid limit WL (%)

Plasticity limit WP (%)

Plasticity index IP (%)

1.178

2.670

1.947

39.84

1.77

34.55

26.06

9.49

2.1.2 Recycled plastic waste (RPW)

The recycling of polyethylene terephthalate (PET) after a pre-process of collection, sorting, washing or grinding [22]. To manufacture of fibers for domestic using PET by heating to 150℃, after this stage we got new waste (RPW), which we purpose to use in current research. This new product will be mixed at rates of 5 and 10% of the volume of S0 to stabilize the foundation layer of the road pavement mentioned above. The particle distribution of S0 and RPW, are shown in Figure 1.

Figure 1. Particle size distribution of S0 and RPW

2.1.3 Portland compound cement (PCC)

MATINE cement CEM II/B 42.5 N (EN 197-1) [23], from the Lafarge complex in M'sila (Algeria). The calcining a mixture of limestone and clay in a rotary oven at a temperature of 1450℃, produces the clinker, finely ground with precise mineral additions in order to attribute specific properties of the cement, adapted to its field of use. In the study, the PCC is chosen, due to its hydraulic character and at low contents (2 and 4%) in order to reduce the cost of stabilization. Binder materials cost about half of the cost of deep soil stabilization work [24]. Table 2 illustrates the physical and chemical properties of PCC according to the European (EN 197-1) standard.

Table 2. Physical and chemical characteristics of PCC

Designation

Characteristics - CEM II/B 42.5 N-

Physical properties

Chemical properties

Normal consistency (%) 26.5 ± 2.0

Specific area Blaine (cm3/g) 3700 ÷5200

Initial setting at 20º (min) 150 ± 30

End setting (min) 230 ± 50

Shrink at 28 jours (µm/m) < 1000

Bulk density (kg/dm3) 1.005

Specific density (kg/dm 3.02

Expansion ≤ 3.0

Sulphate content (SO3) (%) 2.5 ± 0.5

(MgO) (%) 1.7 ± 0.5

Chloride content 0.02÷0.05

Alkali content (%) 0.3 ÷ 0.75

Insoluble residues 0.7 ÷ 2.00

Fire loss (%) 10 ± 2

2.1.4 Soil formulation

Two main materials used in the stabilization of S0, namely the RPW at two rates 5 and 10%, then at each rate associated two doses of PCC (2 and 4%). The mixtures are carefully mixed to obtain homogeneous samples (Figure 2) and stored in a place at room temperature 20±2℃. The rates of binder addition are calculated on the basis of the weight of soil to be stabilized. Table 3 shows the formulation of test soils and the level of additives to the soil S0.

Table 3. Composition of design test soil mixtures

Designation

Composition of mixtures

S0

SA1

SA2

SA3

SB1

SB2

SB3

Natural soil (from the site)

S0 + 5% RPW

SA1 + 2% PCC

SA1 + 4% PCC

S0+ 10% RPW

SB1+ 2% PCC

SB1+ 4% PCC

Figure 2. Preparation of test mixtures (SA3)

2.2 Sample preparation and experimental protocol

The soil samples (S0) collected from the site were dried in the oven at 105 ± 2℃ and sieved to 5 mm. The physical characterization tests were described in accordance with BS 1977:1990 [25].

2.2.1 Modified proctor test

Compaction parameters, optimum water content (WOWC) and maximum dry density (γMDD) are performed according to ASTM D1557 (2021) [26], for all samples listed in Table 3. These two factors must reflect the worst soil conditions in situ. The stabilization of sub-base layer of the pavement bound between the particles of soil is generally carried out using binders as cement. Our studies focus on stabilization of the sub-base layer, not between sub-base and base layer. The maximum dry density (MDD) of S0 is 1.947g/cm3, for an optimal water content (OWC) equal to 13%.

2.2.2 CBR test

The CBR tests (Figure 3b), are performed according to the ASTMD1883 (2016) [27], allow to characterize the relative bearing capacity of the pavement foundation sub-base layer, as well as the evaluation S0 and the stabilizers additions (RPW and PCC). Compaction was carried out on soaked (Figure 3a) and unsoaked samples, however the SA2, SA3, SB2 and SB3 specimens which contain PCC are kept in isotherm plastic bags to avoid any contact with the external environment for 24 hours, then removed and cured in a water bag for 4 and 28 days to satisfy the soaked conditions, While the others are left in the bags for the unsoaked state until the end of the cementing process (28 days). However, samples without PCC are kept in plastic bags for 24 hours for the unsoaked state and 96 hours for the soaked state.

Figure 3. Sample retention and CBR execution

2.2.3 UCS test

In order to understand the impact of the RPW and cement on the strength of the soil, various samples were characterized using a universal machine. Applied load by displacement control with a loading rate of 1.27mm/min. Compacted the various mixtures in still mold of 70mm diameter and 140mm in height, then cured at immersed and non-immersed conditions.

The mechanical performance of the road sub-base layer, before and after the addition of RPW without and with PCC, was evaluated by UCS tests according to ASTM D2166 (2016) [28], expressing the strength of the embankment under an axial load (Figure 4a), this type of test is frequently used in the design and construction of underground projects [29, 30]. The cylindrical samples SA2, SA3, SB2 and SB3 are cured and cured at approximately 22℃ for 7, 14 and 28 days in both immersed (Figure 4a) and non-immersed states, however the samples without PCC namely, S0, SA1 and SB1 are tested after 1 day of their conservation (Figure 4b).

Figure 4. Typical failure of specimens after UCS test

3. Results and Discussion

3.1 Compaction testing

Figure 5 shows that the addition of RPW to the control soil S0 induces a 7.91% and 13. 09% decrease in MDD in samples SA1 and SB1 respectively, followed by an increase in OWC of 14.85% for SA1 and 6.77% for SB1. In the samples containing RPW associated with PCC, we observe a flattening of the curves indicating a reduction of 12.33 - 13.30% in MDD and the increase of OWC of samples SA2, SA3, SB2, and SB3 by 23.85; 14.85; 7.69 and 19.23% respectively, these can be explained by the high fine particle rate (> 10%) existing in the initial soil S0, the same behavior was observed by Senol et al. [31]. However the sensitivity to water is due to the hydraulic aspect of the PCC and the nature of the site which is a silty soil with little plasticity. The immediate effect of PCC on the mixtures is weak because the compaction is applied at 30 min of the test, which is a short time away from the start of the setting of the PCC (150 min). In this case, PCC plays the role of a filling material and not a bonding material. However, the small increases in OWC in the SA3, SB3 specimens (4% PCC) is due to the absorption of a part of the water by the PCC, giving rise to the formation of clay flocs in the form of solid aggregates that allow water drainage.

Figure 5. Variation of mixture compaction curves

3.2 CBR tests

Samples without PCC (S0+RPW+ 0% PCC) are tested after 24h and 4 days for unsoaked and soaked state respectively, while the specimens with PCC (S0+RPW+ PCC), are kept and tested after 28 days under the same conditions. It can be seen from Figure 6 that the CBR values increase with increasing percentages of the RPW and PCC for both conditions.

3.2.1 Mixtures without PCC

The bearing capacity of the road sub-base layer is evaluated by the control S0 before stabilization and SA1 and SB1 after stabilization. The increase in the addition of RPW, improves the CBR of SA1 by 11.5% and of SB1 by 140.75% in the unsoaked state, however, the increase in bearing capacity in the soaked state is significant, it is 373.11% and 531.13% for SA1 and SB1 respectively (Figure 6a). This can be explained by the amount and type of RPW (sand form) added which allows water drainage and therefore makes significant corrections to the bearing capacity of the stabilized soils.

3.2.2 Mixtures with PCC

Figure 6b, shows a significant increase CBR in the unsoaked samples, it reaches: 386.59; 776.82 and 439.82% for SA2; SA3 and SB3 respectively. For the soaked state, the CBR increases as the content of RPW and PCC increases and displays an initial value (S0) of 2.12, 222% for SA2, 340% for SA3, 55.76% for SB2 and 143.93% for SB3. This state was observed by Ratsifarehandahy et al. [13], on the increase of CBR as a function of binder dose. The effect of PCC and time are decisive in hardening, which gives the samples fairly strong bonds. However sample SB2 makes the exception where the effect of PCC is negligible for both conditions, this may be due to the high levels of RPW (10%) which reduces the effect of the chemical reaction of PCC and water and therefore its role in bonding materials. It is noted that despite the storage conditions are different, the CBR of the mixture evaluated in the same direction as the rate of additions.

3.3 UCS tests

3.3.1 Mixtures without PCC

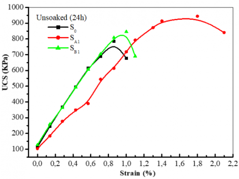
Incorporation of the RPW at rates of 5 and 10%, improves the UCS of 749.10 KPa for S0 to 928.28KPa and 820.83KPa for SA1 and SB1 respectively, followed by an increase of 87.03% in strain of SA1 sample and slight disturbances of 8.02% in SB1 (Figure 7). The increase in strain in SA1 and SB1 is perhaps the result of an intergranular rearrangement in the stabilized soils induced by RPW which gives rise to a new matrix more or less more compact than that of S0.

Figure 6. Variation of CBR with storage time and stabilizer contents

Figure 7. Effect of RPW on UCS results

3.3.2 Mixtures with PCC

After 7 days, the UCS of the unsoaked samples increases, by 68.74% for SA2, 107.62% for SA3 and 17.92% for SB3, however the SB2 samples are the exception by the reduction of UCS by 17.96%, the unsoaked conditions (Figure 8a), in the soaked conditions the contribution of PCC (4%) raises the evolution of UCS of SA3 and SB3 to 68.80% and 25.13% respectively (Figure 8b); however decreasing the PCC to 2% reduces the UCS by 18.83 and 17.46% for SA2 and SB2 regardless of the percentage of RPW added. At 14 days, the unsoaked specimens show an improvement in UCS of 137.84%, 79.11% in SA3 and SA2 respectively and to a lesser degree in SB3, where the evolution of strength reaches 55.53% (Figure 8c). For the soaked condition, a total relaxation of S0 (UCS = 0) is observed, the effect of adding 4% PCC to the soil samples increases the compressive strength to 1300 KPa in SA3 and SB3, this value is reduced to 748.4KPa and 645.16 KPa in SA2 and SB2 respectively (Figure 8d). At 28 days, for the unsoaked condition (Figure 8e), the samples whose RPW content is 5% with 2 and 4% of PCC, mark an increase of 183.27% for SA3 and 114.19% for SA2, while the samples dosed with 10% RPW with 2 and 4% of PCC, the UCS evaluates from 53.13% and 92.11% for SB2 and SB3 respectively, however, for soaked conditions, samples whose dosage of RPW is 5% and 2 or 4% of PCC, the UCS reaches 1500 KPa for SA2 and 1350 KPa for SA3, in the other specimens, SB2 and SB3, UCS varied between 980 KPa and 730 KPa (Figure 8d). The addition of PCC of a content of 2 and 4% to the mixtures: S0 with 5% of the RPW and S0 with 10% of RPW induce a progression of the UCS in the unsoaked and soaked conditions. These results are in accordance with the work of [32] for obtaining the desired technical properties of the soil to be stabilized.

Figure 8. Influence RPW and PCC dosage of mixtures on UCS results

4. Conclusions

Stabilization of the water-sensitive sub-layer of the pavement by adding RPW, alone or associated with low doses of PCC, is possible. Tests conducted on S0 samples before and after addition of stabilizers confirm this.

The compaction tests, proves an increase of the OWC, especially in the samples containing 4% of PCC, which explains the hydration of the binder by the absorption of an amount to separate from the calcium ions. While the flattening of the curves (decrease in MDD) may be the result of the formation of a new less dense material, due to the low specific gravity of RPW (80÷100 Kg/cm3) compared to S0. CBR and UCS tests generally show that the strength of stabilized soils depends on the amount of RPW and PCC added, i.e. increasing the rate of RPW and PCC increases CBR and UCS, especially in samples SA3 and slightly less SA2 and SB3. The chemical effect of PCC provides the stabilized specimens witch solidification by the formation of flocculates in the internal matrix and consequently increased the strength of the stabilized material. The best formulations are: S0+ 5% RPW+4%PCC and S0+ 5% RPW+2%PCC, compacted to OWC, could be the solution to water retention in foundation sub-layers during future road construction.

Acknowledgment

The authors sincerely thank the engineers of the Civil Engineering laboratory of BBA University. The Public Works Department (DTP) of BBA and the company RETPLAST (Mezloug) W. SETIF, for their precious help.

  References

[1] Geyer, R., Jambeck, J.R., Law, K.L. (2017). Production, use, and fate of all plastics ever made. Science Advances, 3(7): 25-29. https://doi.org/10.1126/sciadv.1700782

[2] Zombre, C.G.M.M. (1997). Domestic production, recovery and recycling of plastic waste: The case of plastic bags in Dakar. Faculty of Science and Technology, Cheikh Anta Diop University, Dakar, Senegal. 

[3] Oluwatuyi, O.E., Ojuri, O.O. (2017). Environmental performance of lime–rice husk ash stabilized lateritic soil contaminated with lead or naphthalene. Geotechnical and Geological Engineering, 35(6): 2947-2964. https://doi.org/10.1007/s10706-017-0294-9

[4] Ojuri, O.O., Oluwatuyi, O.E. (2014). Strength characteristics of lead and hydrocarbon contaminated lateritic soils stabilized with lime-rice husk ash. Electronic Journal of Geotechnical Engineering, 19: 10027-10042.

[5] Sidek, N., Mohamed, K., Jais, I.B.M., Bakar, I.A. (2016). Polyurethane foams in soil stabilization: A compressibility effect. InCIEC, Springer, Singapore, 369-377. https://doi.org/10.1007/978-981-10-0155-0_33

[6] Akinwumi, I.I., Booth, C.A. (2015). Experimental insights of using waste marble fines to modify the geotechnical properties of a lateritic soil. Journal of Environmental Engineering and Landscape Management, 23(2): 121-128. http://dx.doi.org/10.3846/16486897.2014.1002843

[7] Du, Y.J., Jiang, N.J., Liu, S.Y., Horpibulsuk S., Arulrajah A. (2016). Field evaluation of soft highway sub grade soil stabilized with calcium carbide residue. Soils Found, 56(2): 301-314. http://dx.doi.org/10.1016/j.sandf.2016.02.012

[8] Ojuri, O.O., Adavi, A.A., Oluwatuyi, O.E. (2017). Geotechnical and environmental evaluation of lime cement stabilized soil-mine tailing mixtures for highway construction. Transportation Geotechnics, 10: 1-12. https://doi.org/10.1016/j.trgeo.2016.10.001

[9] Kwabena, J., Berko-boateng, V.N., Ama, T. (2017). Use of waste plastic materials for road construction in Ghana. Case Studies in Construction Materials, 6(2017): 1-7. http://dx.doi.org/10.1016/j.cscm.2016.11.001

[10] Prasad, D.S.V., Raju, G.V.R.P., Kumar, M.A. (2009). Utilization of industrial waste in flexible pavement construction. EJGE, 13(2): 207-211.

[11] Vasudevan, R.N.S.K., Velkennedy, R., Sekar, A.R.C., Sundarakannan, B. (2010). Utilization of waste polymers for flexible pavement and easy disposal of waste polymers. International Journal of Pavement Research and Technology, 3(1): 34-42.

[12] Deboucha, S., Mamoune, S.M.A., Sail, Y., Ziani, H. (2020). Effects of ceramic waste, marble dust, and cement in pavement sub-base layer. Geotech Geol Eng, 38: 3331-3340. https://doi.org/10.1007/s10706-020-01211-x

[13] Ratsifarehandahy, D.F., Ramaroson, M., Rabevala, R., Randriamalala, R.T. (2020). Study of stabilization of laterity by binders, local plants and additives for construction road. Am. J. Innov. Res. Appl. Sci., 11(3): 180-186. ID Article Ramaroson-Ref.3-ajira040920.

[14] Ziani, H., Abbeche, K., Messaoudene, I., Andrade pais L. J. (2018). Treatment of collapsible soils by additions of granulated slag and natural pozzolan. KSCE Journal of Civil Engineering, 23(3): 1028-1042. https://doi.org/10.1007/s12205-019-0051-0

[15] Oluwatuyi, O.E., Adeola, B.O., Alhassan, A.E., Nnochiri, E.S., Modupe, A.E., Elemile, O.O., Obayanju,T. Akerele, G. (2018). Ameliorating effect of milled eggshell on cement stabilized lateritic soil for highway construction. Case Studies in Construction Materials, 9: e00191. https://doi.org/10.1016/j.cscm.2018.e00191

[16] Amu, O.O., Ogunniyi, S.A., Oladeji, O.O. (2011). Geotechnical properties of lateritic soil stabilized with sugar cane straw ash. American Journal of Scientific and Industrial Research, 2(2): 323-331. https://doi.org/10.5251/ajsir.2011.2.2.323.331

[17] Bin-Shafique, S., Rahman, K., Yaykiran, M., Azfar, I. (2010). The long-term performance of two fly ash stabilized fine-grained soil subbases. Resources, Conservation and Recycling, 54(10): 666-672. https://doi.org/10.1016/j.resconrec.2009.11.007

[18] Pierce, M.E. (2001). Stability analysis of paste back fill exposes at Brunswick mine. Proceedings of the 2nd international FLAC symposium Lyon, France, pp 147–156.

[19] Aref, K., Hassani, F.P., Churcher, D. (1989). A study on liquefaction potential of paste backfill. Innovations in Mining Backfill Technology, pp. 15-23.

[20] Thior, M., Sané, T., Sy, O., et al. (2019). Caractéristiques granulométrique et dynamique sédimentaire entre les différentes unités géomorphologiques du littoral de la Casamance, Sénégal.

[21] Ayadat, T., Ouali, S. (1999). Identification des sols affaissables basés sur les limites d’atterberg. Revue française de Géotechnique, N°86, Premier Trimestre, pp. 53-56.

[22] Ragaert, K., Delva, L., Van Geem, K. (2017). Mechanical and chemical recycling of solid plastic waste. Waste Management, 69: 24-58. http://dx.doi.org/10.1016/j.wasman.2017.07.044

[23] EN 197-1. (2011). European standard, Cement - Part 1: Composition, specifications and conformity criteria for common cements. Management Centre: Avenue Marnix 17, B-1000 Brussels. European Committee for Standardization.

[24] Bujulu, P.M.S., Sorta, A.R., Priol, G., Emdal, A.J. (2007). Potential of waste paper sludge ash to replace cement in deep stabilization of quick clay. In The 2007 Annual Conference of the Transportation Association of Canada, Session on “Characterization and Improvement of Soils and Materials”. Saskatoon, Saskatchewan, pp. 1-16.

[25] Standard, B. (1990). Methods of test for soils for civil engineering purposes. BS1377.

[26] ASTM D1557-02e1. (2003). Standard test methods for laboratory characteristics of soil using modified effort, 100 Barr Conshohocken, PA 19428-2959, US.

[27] ASTM D1883. (2016). Standard test method for California bearing ratio (CBR) of laboratory-compacted soils. ASTM International.

[28] ASTM D2166. (2016). Standard test method for unconfined compressive strength of cohesive soil. ASTM International.

[29] Ozbek, A., Unsal, M., Dikec, A. (2013). Estimating uniaxial compressive strength of rocks using genetic expression programming. Journal of Rock Mechanics and Geotechnical Engineering, 5(4): 325-329. https://doi.org/10.1016/j.jrmge.2013.05.006

[30] Yilmaz, I. (2009). A new testing method for indirect determination of the unconfined compressive strength of rocks. International Journal of Rock Mechanics and Mining Sciences, 46(8): 1349-1357. https://doi.org/10.1016/j.ijrmms.2009.04.009

[31] Senol, A., Bin-Shafique, M.S., Edil, T.B., Benson, C.H. (2002). Use of class C fly ash for stabilization of soft subgrade. In Fifth International Congress on Advances in Civil Engineering, pp. 25-27.

[32] Chen, J.A., Idusuyi, F.O. (2015). Effect of waste ceramic dust (WCD) on Index and Engineering properties of shrink-swell soils. International Journal of Engineering and Modern Technology, 1(7): 1-11.