A Hybrid Model Combining Discrete Wavelet Transform and Nonlinear Autoregressive Neural Network for Stock Price Prediction: An Application in the Egyptian Exchange

A Hybrid Model Combining Discrete Wavelet Transform and Nonlinear Autoregressive Neural Network for Stock Price Prediction: An Application in the Egyptian Exchange

Asmaa Y. Fathi* Ihab A. El-Khodary Muhammad Saafan

Department of Operations Research and Decision Support, Faculty of Computers & Artificial Intelligence, Cairo University, Orman 12613, Giza, Egypt

Department of Petroleum Engineering, Universiti Teknologi PETRONAS (UTP), Seri Iskandar 32610, Perak Darul Ridzuan, Malaysia

Corresponding Author Email: 
a.fathi@fci-cu.edu.eg
Page: 
15-21
|
DOI: 
https://doi.org/10.18280/ria.370103
Received: 
15 January 2023
|
Revised: 
3 February 2023
|
Accepted: 
10 February 2023
|
Available online: 
28 Feburary 2023
| Citation

© 2023 IIETA. This article is published by IIETA and is licensed under the CC BY 4.0 license (http://creativecommons.org/licenses/by/4.0/).

OPEN ACCESS

Abstract: 

Forecasting stock prices is crucial for successful investment in financial markets. However, it is challenging due to the nonlinearity and high volatility caused by various factors influencing price movements. This paper proposes a hybrid model that integrates the discrete wavelet transform (DWT) with the nonlinear autoregressive neural network (NARNN) to predict stock prices. Following the division of stock prices into training and testing sets, the DWT decomposes the training set into low- and high-frequency components reducing the noise and lessening the data's nonlinearity. Then, the obtained components are used to train the NARNNs. To predict the future components, the model decomposes the preceding available prices at each time step and utilizes the latest eight points as input to the NARNNs. Eventually, NARNNs' outputs are combined to provide the final predicted prices. In previous works, the entire dataset is first decomposed and then partitioned into training and testing sets. This unrealistic approach causes the testing set to inherit information regarding stocks' future performance, leading to optimistic deceptive results. Twenty-four stocks from the Egyptian Exchange (EGX-30) are utilized to validate the proposed model's performance. The DWT-NARNN model is compared against other methods, and the empirical findings show that it performs the best.

Keywords: 

data preprocessing, financial markets, hybrid model, stock market, time series forecasting

1. Introduction

Investing in stock markets offers substantial profits, making it financially attractive compared to low-yield investments, e.g., government bonds. However, a few individuals are involved in stock trading due to the difficulty of predicting price behavior that elevates investment risk. Therefore, several approaches have been suggested in the literature for predicting stock prices utilizing historical data, such as nonlinear models based on machine learning. Artificial Neural Networks (ANNs) are among the commonly utilized algorithms in predicting stock market prices [1].

Artificial Neural Networks are well suited to model time series with significant fluctuations and discontinuities [2]. Although ANNs attained remarkable outcomes in predicting stock markets, the nonstationarity and the interaction between hidden features of the price time series lessen forecasting accuracy [3, 4]. Consequently, data preprocessing techniques such as discrete wave transform (DWT) and singular spectrum analysis (SSA) are utilized to improve the ANNs forecasting accuracy by reducing the noise and extracting hidden characteristics of the time series [5].

The wavelet transform has gained considerable interest in analyzing non-stationary signals for predictive purposes. The WT converts the non-stationary time series into low- and high-frequency filtered components with reduced noise. This process decreases the nonstationarity of time series and improves the prediction accuracy of the ANNs [6]. Wang et al. [7] combined the DWT and backpropagation neural network (BPNN) to predict Shanghai Composite Index (SCI) closings prices. The DWT decomposed the price data then the low-frequency components were utilized for training the BPNN. The author found that the suggested model has higher performance than the single BPNN. Lahmiri [8] improved the model mentioned above, using low- and high-frequency components to train BPNN. Huang and Wang [6] integrated the DWT with a stochastic recurrent wavelet neural network (SRWNN) to forecast crude oil prices and oil-related stocks. Hajiabotorabi et al. [5] utilized the B-spline wavelet of a high order as a preprocessing method to enhance the recurrent neural network (RNN) performance. Lin et al. [9] suggested a crude oil price prediction model combining DWT, empirical mode decomposition (EMD), ARMA, and complex long memory GARCH-M. They employed the DWT and EMD methods to reduce volatile oil market noise.

The existing approaches applied to predict stock prices adopting data preprocessing techniques still possess the following limitations:

  1. They first decompose the entire dataset then divide it into training and testing sets. This decomposition process does not resemble the actual trading manner and inserts information regarding future performance in the testing set. Hence, the testing set cannot be characterized as hidden data, and any model validation process becomes unrealistic. These approaches always obtain misleading optimistic prediction results.

  2. The stock prices are highly volatile in the short term, influenced by news, rumor, and market makers' manipulations. Therefore, utilizing the last price to predict the succeeding price is insufficient and leads to the loss of useful information.

This study develops a hybrid model, which integrates the DWT and the NARNN model to forecast stock prices. The weekly closing prices are initially divided into training and testing datasets. Then, the DWT method is employed to decompose the training set into its high- and low-frequency components, hence extracting hidden information and reducing the noise. Each decomposed component in the training set is used to train a NARNN model. The NARNNs incorporate a time delay line (TDL) in the input layer, which utilizes eight-week closing prices to predict the ninth-week close and fade the short-term volatility. Unlike previous studies, our model predicts any price by decomposing all of its preceding prices, thus simulating the actual trading process. Then, the predicted decomposed components are combined to obtain the model's final output. The weekly closing prices for twenty-four stocks from the Egyptian Exchange EGX-30 are used to illustrate the proposed model's reliability. Furthermore, our model's superiority is shown by comparing it to the BPNN, NARNN, DWT-BPNN, SSA-BPNN, and SSA-NARNN models. Finally, we proved the existing approaches that decompose the entire dataset are unrealistic, and their testing set is no more characterized as hidden data and leads to misleading results.

The rest of this paper is arranged as follows: Section 2  illustrates the suggested DWT-NARNN model with details of the underlying models. The performance evaluation criteria are also introduced. Section 3 evaluates the results and examines the proposed hybrid DWT-NARNN model's reliability compared to other models. Also, it investigates the reliability of decomposing the entire stock data used by the previous approaches. Finally, Section 4 summarizes the paper's content and provides its conclusion.

2. Research Methods

2.1 Discrete wavelet transform (DWT)

The discrete wavelet transform (DWT) is a multiresolution decomposition that decomposes a time series into several scales with different resolution levels. The DWT is a commonly employed for extracting hidden information from a non-stationary time series [6, 7]. The main advantage of DWT is its ability to de-noise signals [10]. Mallat (1989) reported a procedure for implementing the DWT to extract the approximation coefficients A(t) and detail coefficients D(t) by convolving the signal with a low-pass (LP) and high-pass (HP) filters, respectively [11]. Figure 1 illustrates the structure of a five-level decomposition DWT of the Commercial International Bank, COMI.CA, weekly prices. In the first level of decomposition, the prices are decomposed in low- and high-frequency filtered components A1 and D1, respectively. The two filters progressively decompose the resultant low-frequency component until the predefined decomposition level is attained [6, 8]. According to the study [12], the typical decomposition level for one-dimensional problems is five.

The decomposed time series is perfectly reconstructed by combining the low and high-frequency components, as in Eq. (1). The reconstruction process is called the inverse discrete wavelet transform [12].

$R T S=A_n+\sum_{i=1}^n D_j$                    (1)

where, RTS is the reconstructed time series, n is the predefined decomposition level, An is the residual filtered low-frequency component, and Dj is the filtered high-frequency component at the jth decomposition level.

Figure 1. A five-level DWT decomposition of "COMI.CA" weekly closing prices using biorthogonal 3.5 wavelets

The appropriate wavelet selection is determined by the time series' characteristics under analysis [10]. Accordingly, the more resemblance between a mother wavelet and the time series results in a more reliable decomposition process. In this paper, the biorthogonal 3.5 mother wavelet is utilized due to its satisfactory agreement with stock price behavior. Instead of employing a single wavelet, the biorthogonal wavelets use one wavelet for decomposition (Figure 2a) and another for reconstruction (Figure 2b). Consequently, interesting attributes are deduced from decomposing the time series.

Figure 2. Biorthogonal 3.5 wavelet pair: (a) decomposition and (b) reconstruction wavelets

2.2 Nonlinear autoregressive neural network (NARNN)

The NARNN is a feed-forward dynamic network that predicts future time series values by adopting its past d values [8]. The NARNN model implies that the time series' past behavior would render its future behavior. The model is formulated in terms of the feedback delays as [2, 13]:

$\hat{s}(t)=F(s(t-1), s(t-2), \ldots, s(t-d))$        (2)

where, d is a time-delay parameter, and F is a nonlinear function. Figure 3 shows an example of NARNN's topology with a time delay line (TDL) in the input layer, two hidden layers, and an output layer. The network involves biases (b), input weights (IW), layer weights (LW), and layers' activation functions (f). We utilized this NARNN architecture to forecast the weekly stock prices in the Egyptian exchange.

Selecting the number of hidden layers and neurons per layer is essential for improving network performance. Since no proper process exists to determine them theoretically, trial-and-error is implemented to select these parameters [2, 13]. Ordinarily, the network's complexity increases with increasing the number of neurons, while its generalization abilities diminish with decreasing the number of neurons [14]. This work adopts a two-hidden layer network with ten neurons for each layer. The activation function for the first and second hidden layers is tan-sigmoid and log-sigmoid, respectively. Moreover, the output layer includes a single neuron with a linear activation function corresponding to our one-week forecasting problem. The ANN's most common learning approach is the Levenberg-Marquardt backpropagation (LMBP) method. The LMBP approximates the second-order derivative without computing the Hessian matrix, improving the training process and reducing learning time [2, 14]. The backpropagation (BP) algorithm optimizes the connection weights among the nodes by minimizing the mean square error (MSE) between actual and predicted values in the training dataset [5]. The tolerance in MSE in the training process is set as less than 0.001. Consequently, when the MSE is less than the tolerance value, the training process is stopped, and the neural network’s weights and biases are considered optimized.

Figure 3. A general schematic of a NARNN [15]

2.3 DWT-NARNN forecasting model

Predicting the future behavior of noisy, non-stationary stock prices characterized by regular structural discontinuity leads to a reduction in the ANN's performance [10]. Consequently, enhancing the overall data consistency using the DWT data preprocessing technique would boost the prediction results. In this paper, the DWT and the NARNN are integrated to build a hybrid forecasting model, i.e., the DWT-NARNN model. This model adopts the DWT to decompose the time series data into its high- and low-frequency components, reducing the impact of noise and decreasing the nonstationarity in the price data. The decomposed approximation and detail coefficients are fed into the NARNNs to predict one step of future prices. Figure 4 presents a schematic diagram of the hybrid DWT-NARNN model, and the detailed procedures are described as follows:

  1. Divide the weekly closing stock prices into a training dataset (70%) and a testing dataset (30%).

  2. Decompose the training dataset by the DWT, utilizing the biorthogonal 3.5 mother wavelet, into approximation coefficients A(t) and detail coefficients D(t), as discussed in section 2.1. Set the decomposition level to five [12] and extract six components D1, D2, D3, D4, D5, and A5.

  3. Normalize the decomposed components using the Min-Max normalization method.

$X_{\text {normalized }}=\frac{X-X_{\min }}{X_{\max }-X_{\min }}$           (3)

  1. Build six NARNNs, with the topology shown in Figure 3, to forecast each decomposed component. The number of feedback delays in the TDL is set to eight, i.e., the preceding eight weeks' closing prices are utilized to forecast the ninth-week closing price.

  2. Divide the training dataset into three parts: 70% for training, 15% for validation, and 15% as test data. Then train the six NARNNs.

  3. Predict the future price for each point in the testing data set as follows:

  1. Decompose its preceding price data as described in step 2.

  2. Normalize the decomposed features using Eq. (3).

  3. Predict one step for each component.

  4. De-normalize and aggregate the predicted values.

  5. Repeat steps a, b and c until all the testing dataset points are forecasted.

  1. Evaluate the error criteria.

Figure 4. Schematic diagram of the hybrid DWT-NARNN model

2.4 Evaluation criteria

To precisely evaluate the DWT-NARNN model's prediction accuracy, three evaluation measures are involved: root mean square error (RMSE), mean absolute percentage error (MAPE), and directional symmetry (DS). These performance measures are represented as [5, 8, 16, 17]:

$R M S E=\sqrt{\frac{1}{N} \sum_{t=1}^N\left(s_t-\hat{s}_t\right)^2}$

$M A P E=\frac{100}{N} \sum_{t=1}^N\left|\frac{s_t-\hat{s}_t}{s_t}\right|$

                        $D S=\frac{100}{N} \sum_{t=1}^N d_i$                 (4)

$ where \, d_i= \begin{cases}1 & \left(s_t-s_{t-1}\right)\left(\hat{s}_t-\hat{s}_{t-1}\right) \geq 0 \\ 0 & \text { Other }\end{cases}$

where $s_t$ is the actual price, $\hat{s}_t$ is the predicted price, N is the number of points in the testing dataset. Remarkably, the RMSE and MAPE delineate the difference between the predicted and the actual prices; thus, smaller values manifest better-forecasted results [6]. The RMSE is reliable in representing errors for the same dataset. In contrast, to compare errors for different datasets, the scale-free MAPE is more suitable [18]. Furthermore, DS evaluates the model performance in predicting the stock's direction; hence, higher values reveal better forecasting performance [16].

3. Results and Discussion

3.1 Experimental data

Our experimental data involves stocks listed in the Egyptian Exchange EGX-30 index with at least five-year historical data from Jan 3, 2016, to Dec 27, 2020. Twenty-four stocks are involved in our analysis, and their weekly closing prices have been downloaded from investing financial website (https://www.investing.com). Table 1 shows the various market sectors with the statistical analysis of the selected stocks.

3.2 Training and forecasting by DWT-NARNN model

The proposed DWT-NARNN model (Figure 4) is applied to predict the twenty-four stocks' weekly closing prices. This section presents a detailed illustrative example of forecasting the weekly closing prices of COMI stock, the heaviest constituent of the EGX-30. The training set comprises the first 70% of the available 260 trading weeks, while the testing dataset contains the remaining 30%. The training data is decomposed using the DWT, and the extracted six components are normalized to train the NARNNs. Then, the latest decomposed eight points are fed to the trained NARNNs to predict the testing dataset's first point components. To predict the second point's components, all the preceding prices, i.e., the training set plus the first testing point, are decomposed using the DWT. Then the latest eight weeks of decomposed data are fed to the NARNNs. This process is repeated until all points in the testing set are predicted. Finally, the predicted decomposed components are aggregated to obtain the weekly closing price using the DWT-NARNN model.

Figure 5 compares the predicted and actual decomposed components of the COMI testing dataset. The volatility of extracted high-frequency components decreases from D1 to D5. Moreover, the low-frequency component A5, which represents the stock's general trend, is the smoothest. Also, Table 2 presents the MAPE of the predicted decomposed components to their actual values. From the error analysis in Table 2, it is evident that the prediction accuracy of the NARNN increases with decreasing the frequency of the time series. Hence, A5 has the lowest MAPE among all components.

Table 1. Twenty-four stocks listed in EGX-30 with their statistical summary

Market Sector

Symbol

Mean

Std.

Basic Resources

ABUK

18.41

7.98

AMOC

5.39

3.06

ESRS

14.43

7.01

SKPC

15.46

6.65

Non-bank financial services

CCAP

1.97

1.02

EKHO

0.94

0.33

HRHO

15.39

4.01

OIH

0.63

0.12

PIOH

6.85

2.03

Banks

COMI

61.78

14.26

CIEB

36.88

9.10

EXPA

9.35

2.35

Textile

ORWE

7.84

2.70

Real Estate

EMFD

3.02

0.66

HELI

7.44

2.40

MNHD

5.68

1.58

OCDI

14.93

4.28

ORHD

4.12

2.30

PHDC

2.60

0.95

TMGH

8.53

2.27

Food, Beverages & Tobacco

EAST

13.35

5.91

EFID

15.23

3.48

Industrial Goods & Automobiles

AUTO

3.50

1.30

SWDY

11.15

5.13

Figure 5. Predicted vs. actual decomposed components of COMI using DWT-NARNN model

Table 2. Error analysis of predicted COMI decomposed components

Component

D1(t)

D2(t)

D3(t)

D4(t)

D5(t)

A5(t)

MAPE (%)

1823

387.5

173.6

100.6

83.91

0.82

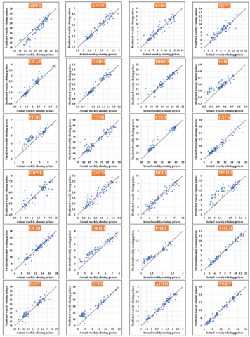
Figure 6 displays a comparison of the predicted versus actual weekly closing prices of the testing dataset with a MAPE of 2.8%. Moreover, Figure 7 illustrates the predicted versus actual weekly closing prices for the twenty-four stocks. The unit slope line is added to the plots to aid in visualizing the relationship between two variables.

Figure 6. DWT-NARNN model's predicted weekly closing prices of the COMI stock

Figure 7. DWT-NARNN model's predicted weekly closing prices versus actual prices of the twenty-four stocks. The black line in each plot represents is of unit slope

3.3 Comparison of different forecasting models

The proposed DWT-NARNN model is applied to predict the twenty-four stocks' weekly closing prices. This section presents a detailed illustrative example of forecasting the weekly closing prices of COMI stock, the heaviest constituent of the EGX-30. The training set comprises the first 70% of the available 260 trading weeks, while the testing dataset contains the remaining 30%. The training data is decomposed using the DWT, and the extracted six components are normalized to train the NARNNs. Then, the latest decomposed eight points are fed to the trained NARNNs to predict the testing dataset's first point components. To predict the second point's components, all the preceding prices, i.e., the training set plus the first testing point, are decomposed using the DWT. Then the latest eight weeks of decomposed data are fed to the NARNNs. This process is repeated until all points in the testing set are predicted. Finally, the predicted decomposed components are aggregated to obtain the weekly closing price using the DWT-NARNN model.

In order to analyze the proposed DWT-NARNN model's performance and prove its effectiveness, we compared it with the BPNN, NARNN, DWT-BPNN, SSA-BPNN, and SSA-NARNN models. Figure 8 illustrates a box plot for the MAPE of the different forecasting models. For the twenty-four stocks examined, the DWT-NARNN model had the lowest median and mean MAPE. In addition, the MAPE for 75% of the stocks is less than 11%.

Figure 8. Box plot of MAPE for the different forecasting models

Figure 9 hows a box plot for DS of the different forecasting models. For the DWT-NARNN model, the DS for 75% of the stocks is higher than 51%. Also, the median and mean DS is 52.5% of the twenty-four stocks. Moreover, the SSA-NARNN model has the highest median and mean DS compared to other models. Generally, the NARNN based on data preprocessing models shows a better performance in predicting price direction.

Figure 9. Box plot of DS for the different forecasting models

The nonparametric statistical Friedman and Chi-square tests are implemented to assess the evaluation criteria and determine the best-performing model for predicting stock prices in the Egyptian exchange. The null hypothesis of the statistical test is H0: The different models have equal performance. The obtained p-values (Table 3) for the RMSE, MAPE, and DS are 1.83×10-8, 1.84×10-8, and 0.0024, respectively, which are lower than the significance level of 0.05. Therefore, H0 is rejected for the various evaluation criteria. Table 4 shows the Friedman test's mean rank for the different models, where smaller values indicate high performance. The results demonstrated that the proposed DWT-NARNN is superior to other models. Owing to noise and nonstationarity reduction in the price data, the DWT increased the NARNN's learning and generalization abilities. From this analysis, the proposed DWT-NARNN model proved its ability to predict stock prices in the Egyptian Exchange. From this analysis, the proposed DWT-NARNN model proved its ability to predict stock prices in financial markets.

From the previous analysis, the proposed DWT-NARNN model outperforms other models and proves its ability to predict stock prices in financial markets.

Table 3. p-values from the Chi-square test

Evaluation Criteria

p-value

RMSE

1.83×10-8

MAPE

1.84×10-8

DS

0.0024

Table 4. Mean rank of the Freidman test

Model

Mean rank

RMSE

MAPE

DS

BPNN

3.42

3.46

4.79

NARNN

4.48

4.42

3.08

DWT- BPNN

3.35

3.35

3.50

DWT-NARNN

1.85

1.75

2.83

SSA- BPNN

5.04

5.02

3.83

SSA-NARNN

2.85

3.00

2.96

Figure 10. Comparison of the old approaches and our point-by-point decomposition for COMI

3.4 Effect of the unrealistic decomposition of the entire dataset on prediction results

The existing stock market prediction approach first decomposes the entire dataset and then divides it into training and testing sets. However, this approach does not simulate the actual trading process. Hence, the decomposition process must be carried out point-by-point to validate the models and ensure that the succeeding prices are always hidden. Figure 10 compares the old approach and the realistic point-by-point decomposition for COMI. It is clear from Figure 10 that both retain the same results for the low- and high-frequency components in the training dataset (3-Jan-16 to 23-Jun-19). However, the difference in extracted components is quite evident for the testing set (30-Jun-19 to 27-Dec-20), especially for the low volatility components. Moreover, the old approach's extracted components are smooth in the testing dataset, indicating that the future trend is already captured during the entire data decomposition. This unrealistic decomposition process introduces information related to future performance in the testing set.

Figure 11 displays a box plot of the evaluation criteria. The results indicate that the old approach has a deceiving high performance with an average DS of 82% for the twenty-four stocks. The deceiving results are attributed to introducing information related to future performance in the testing set during the decomposition process. Consequently, the old approach's testing set is no more characterized as hidden data and cannot be used in the validation process.

Figure 11. Box plot of MAPE and DS for the 'Unrealistic' old approach and our 'Realistic' point-by-point decomposition

4. Conclusion

The prediction of stock prices is essential for making investment decisions and maximizing profits. Stock price fluctuations are prominent, particularly in the short term, influenced by news, rumors, and major players' manipulation. Hence, we deal with a noisy non-stationary time series that makes the prediction process challenging. For this reason, we proposed a hybrid model based on the integration of the DWT and NARNN. The DWT is a data preprocessing technique efficient in noise reduction and decreases stock prices' nonstationarity via decomposing the raw prices into their constituent components. The decomposed training set is used as input to the NARNN, which utilizes eight preceding timesteps to fade the market's short-term volatility. Next, the DWT-NARNN model decomposes all the available prices preceding each testing point to simulate the actual trading process.

Based on the empirical finding, the proposed DWT-NARNN model proves its efficiency in predicting stock prices compared to BPNN, NARNN, DWT- BPNN, SSA- BPNN, SSA- NARNN models. Also, integrating the DWT in the hybrid models results in better performance than single models. Moreover, the old approaches do not simulate the actual trading process when validating their models. The decomposition process of the entire price series, then dividing it into training and testing sets introduces information about the stock's future performance in the testing set. Hence, their validation process invariably produces misleading results.

  References

[1] Bisoi, R., Dash, P.K., Parida, A.K. (2019). Hybrid variational mode decomposition and evolutionary robust kernel extreme learning machine for stock price and movement prediction on daily basis. Applied Soft Computing, 74: 652-678. https://doi.org/10.1016/j.asoc.2018.11.008

[2] Ruiz, L.G.B., Cuéllar, M.P., Calvo-Flores, M.D., Jiménez, M.D.C.P. (2016). An application of non-linear autoregressive neural networks to predict energy consumption in public buildings. Energies, 9(9): 684. https://doi.org/10.3390/en9090684

[3] Rezaei, H., Faaljou, H., Mansourfar, G. (2021). Stock price prediction using deep learning and frequency decomposition. Expert Systems with Applications, 169: 114332. https://doi.org/10.1016/j.eswa.2020.114332

[4] Fathi, A.Y., El-Khodary, I.A., Saafan, M. (2021). A hybrid model integrating singular spectrum analysis and backpropagation neural network for stock price forecasting. Revue d'Intelligence Artificielle, 35(6): 483-488. https://doi.org/10.18280/ria.350606

[5] Hajiabotorabi, Z., Kazemi, A., Samavati, F.F., Ghaini, F.M.M. (2019). Improving DWT-RNN model via B-spline wavelet multiresolution to forecast a high-frequency time series. Expert Systems with Applications, 138: 112842. https://doi.org/10.1016/j.eswa.2019.112842

[6] Huang, L., Wang, J. (2018). Forecasting energy fluctuation model by wavelet decomposition and stochastic recurrent wavelet neural network. Neurocomputing, 309: 70-82. https://doi.org/10.1016/j.neucom.2018.04.071

[7] Wang, J.Z., Wang, J.J., Zhang, Z.G., Guo, S.P. (2011). Forecasting stock indices with back propagation neural network. Expert Systems with Applications, 38(11): 14346-14355. https://doi.org/10.1016/j.eswa.2011.04.222

[8] Lahmiri, S. (2014). Wavelet low-and high-frequency components as features for predicting stock prices with backpropagation neural networks. Journal of King Saud University-Computer and Information Sciences, 26(2): 218-227. https://doi.org/10.1016/j.jksuci.2013.12.001

[9] Lin, L., Jiang, Y., Xiao, H., Zhou, Z. (2020). Crude oil price forecasting based on a novel hybrid long memory GARCH-M and wavelet analysis model. Physica A: Statistical Mechanics and its Applications, 543: 123532. https://doi.org/10.1016/j.physa.2019.123532

[10] Nobre, J., Neves, R.F. (2019). Combining principal component analysis, discrete wavelet transform and XGBoost to trade in the financial markets. Expert Systems with Applications, 125: 181-194. https://doi.org/10.1016/j.eswa.2019.01.083

[11] Mallat, S.G. (1989). A theory for multiresolution signal decomposition: The wavelet representation. IEEE Transactions on Pattern Analysis and Machine Intelligence, 11(7): 674-693. https://doi.org/10.1109/34.192463

[12] Misiti, M., Misiti, Y., Oppenheim, G., Poggi, J.M. (1996). Wavelet Toolbox. The MathWorks Inc., Natick, MA, 15: 21.

[13] Safari, A., Davallou, M. (2018). Oil price forecasting using a hybrid model. Energy, 148: 49-58. https://doi.org/10.1016/j.energy.2018.01.007

[14] Fontes, D.O.L., Vasconcelos, L.G.S., Brito, R.P. (2020). Blast furnace hot metal temperature and silicon content prediction using soft sensor based on fuzzy C-means and exogenous nonlinear autoregressive models. Computers & Chemical Engineering, 141: 107028. https://doi.org/10.1016/j.compchemeng.2020.107028

[15] Fathi, A.Y., El-Khodary, I.A., Saafan, M. (2022). Integrating singular spectrum analysis and nonlinear autoregressive neural network for stock price forecasting. IAES International Journal of Artificial Intelligence, 11(3): 835-842. https://doi.org/10.11591/ijai.v11.i3.pp835-842

[16] Lei, L. (2018). Wavelet neural network prediction method of stock price trend based on rough set attribute reduction. Applied Soft Computing, 62: 923-932. https://doi.org/10.1016/j.asoc.2017.09.029

[17] Zhou, F., Zhou, H.M., Yang, Z., Yang, L. (2019). EMD2FNN: A strategy combining empirical mode decomposition and factorization machine based neural network for stock market trend prediction. Expert Systems with Applications, 115: 136-151. https://doi.org/10.1016/j.eswa.2018.07.065

[18] Büyükşahin, Ü.Ç., Ertekin, Ş. (2019). Improving forecasting accuracy of time series data using a new ARIMA-ANN hybrid method and empirical mode decomposition. Neurocomputing, 361: 151-163. https://doi.org/10.1016/j.neucom.2019.05.099