Radiation and Chemical Reaction Effects on Unsteady Flow Past an Infinite Vertical Plate in the Presence of Heat Source Through Porous Medium Along with Dufour Effect

Radiation and Chemical Reaction Effects on Unsteady Flow Past an Infinite Vertical Plate in the Presence of Heat Source Through Porous Medium Along with Dufour Effect

Ananthi Loganathan Sujatha Elamparithi*

Department of Mathematics, College of Engineering and Technology, SRM Institute of Science and Technology, Kattankulathur 603203, India

Corresponding Author Email: 
sujathae@srmist.edu.in
Page: 
454-464
|
DOI: 
https://doi.org/10.18280/mmep.120210
Received: 
19 August 2024
|
Revised: 
9 November 2024
|
Accepted: 
15 November 2024
|
Available online: 
28 February 2025
| Citation

© 2025 The authors. This article is published by IIETA and is licensed under the CC BY 4.0 license (http://creativecommons.org/licenses/by/4.0/).

OPEN ACCESS

Abstract: 

The principal aim of the current work is to analyze the consequences of radiation and chemical reactions on the unsteady flow of viscous incompressible fluid through a uniformly accelerated infinite erect plate which is porous in nature and passes through the porous medium, in the existence of heat source along with the Dufour effect. The nature of the plate is such that it is of variable temperature and uniform mass diffusion with heat and mass transfer (HAMT). The non-dimensional governing PDEs are solved by using the perturbation technique. The analysis of the combined effects of heat source and Df in the specified setup is a key aspect of this work. The study has potential applications in chemical reactors, environmental engineering processes, and geothermal systems. The velocity (u), temperature (θ), and concentration (φ) profiles with various parameters are displayed graphically. The values of skin friction (SF), rate of heat transfer (Nu) and Sherwood number (Sh) are shown in tables.

Keywords: 

heat source, radiation, chemical reaction, vertical plate, Dufour effect

1. Introduction

The existence of heat source coupled with chemical reaction and radiation of convective fluids within porous medium holds significant importance across various fields. These encompass geophysical and energy-related challenges, including processes such as petroleum resource recovery, cooling process of underground electric cables, pollution of ground water, granular and fiber insulation, chemical catalytic reactors and solidification in casting. Radiation denotes energy emanating from a source and traversing through space at the velocity of light. It is characterized by both an electric and a magnetic field, possessing wave-like properties. In the concepts like energy transfer, thermal radiation modelling and transfer of heat in high temperature environments, radiation plays a very important role.

A chemical reaction refers to the transformation of a substance involving the rearrangement of its molecular structure. This process stands apart from alterations in physical appearance or nuclear reactions. The reactions categorize into two types: homogeneous reactions, which happen uniformly within flow phase and heterogeneous reactions, occurring in specific regions or phase boundaries. The Dufour effect represents the energy transfer resulting from a concentration gradient of mass, emerging as a combined consequence of non-reversible process. It has various applications in different fields, such as thermoelectric cooling, membrane separation processes, fuel cells and batteries, heat exchangers, chemical and biological processes, enhanced oil recovery, food industry, biomedical engineering and cryogenic applications. The inclusion of the Dufour effect in studying the unsteady flow around a limitless upright plate subjected to a heat source and varying temperature within a porous medium has diverse applications across several domains. These applications span from heat exchangers and chemical reactors to geothermal systems and environmental engineering.

Karthikeyan et al. [1] conducted a study on the impact of HAMT on MHD mixed convective flow over an upright plate on a permeable surface, considering heat generation, Dufour effect and thermal radiation. Islam et al. [2] investigated the consequence of the Dufour effect and heat generation parameter on the MHD free convection flow of an incompressible, electrically conductive, viscous fluid flowing via a sloping plate within a permeable medium. Rout and Pattanayak [3] investigated on MHD fluid motion via permeable medium. The results of radiation and chemical reaction in the existence of source of heat together with varying mass diffusion and temperature were also considered. Islam and Ahmed [4] conducted a study on the impact of the Soret effect, heat source, chemical reaction and thermal radiation on MHD free convective flow of an electrically conductive viscous fluid along a limitless isothermal erect plate. On the unsteady MHD free convection motion of fluid via an erect porous surface, a study on the influence of chemical reaction along with heat source and suction and radiation was done by Ibrahim et al. [5]. By applying the convective boundary condition, the combined impact of radiation and chemical reaction in the existence of heat source on MHD HAMT fluid flow along a movable erect plate was considered by Rout et al. [6]. On unsteady flow of an incompressible, viscous fluid through an evenly accelerated limitless erect porous plate via permeable medium, an analysis on the consequence of chemical reaction, radiation in the existence of different temperature, constant mass diffusion with HAMT was done by Kumar et al. [7]. Rajput and Kumar [8] conducted an analysis on the impact of chemical reaction, radiation and permeability of the medium on the unsteady motion of an incompressible, viscous and electrically conductive fluid flowing over an upright plate with temperature-varying walls and mass diffusion.

Within a permeable material experiencing internal generation of heat, Bagai [9] conducted a study on the impact of varying viscosity on a free convective flow (FCF) by the way of a non-isothermal axi-symmetric structure. Malla et al. [10] conducted a study on natural convection flow over an upright wavy surface with a constant surface temperature, considering the influence of heat generation or absorption. A study on MHD free convection flow across standing slightly curved surface by investigating the impact of heat generation/absorption was done by Hady et al. [11]. On a FCF over a moving plate, the influence of radiation was explored by Raptis and Perdikis [12]. Rajput and Kumar [13] conducted a study on the unsteady flow of an incompressible, electrically conductive, viscous fluid over an exponentially accelerated erect plate with temperature variation and mass diffusion, considering the influences of radiation, porosity, and chemical reaction.

The numerical investigation has been conducted by Muthtamilselvan et al. [14] on the natural convection of a micropolar fluid within a square cavity featuring uniform and non-uniform heating from horizontally or vertically embedded thin plates. The non-uniform heating stems from the nonlinear variation in plate temperature. Cooling is utilized on the vertical walls, while insulation is installed on the top and bottom walls. The flow within the cavity is expected to be two-dimensional. The governing equations were resolved using a finite volume method, incorporating a second-order central difference scheme along with an upwind differencing scheme. Shankar et al. [15] examined the consequence of a heat source on an MHD Casson fluid flowing through a vertically oscillating porous plate. The dimensional nonlinear coupled DEs are transformed into dimensionless structure by introducing similarity variables. The resulting non-dimensional ODEs governing velocity and temperature are solved using the Galerkin element technique. Makinde et al. [16] examined the transient motion of a viscous, incompressible fluid that conducts both electricity and heat between two infinitely parallel porous walls positioned at y=0 and y=a. It is hypothesized that the flow of the electrically conductive fluid is prompted by a combination of external factors including an applied pressure gradient, thermal buoyancy, and a heat source or sink.

Sharma and Gandhi [17] examined the dynamics of unsteady MHD encompassing HAMT within an incompressible, viscous fluid moving over a vertically elongated surface implanted in a Darcy-Forchheimer porous medium. This scenario encompasses a non-uniform heat source/sink and a first-order chemical reaction. Moreover, the permeable surface experiences a uniform magnetic field perpendicular to the direction of flow, while exploring the impact of velocity, thermal and concentration slip. Bhukta et al. [18] explored the impact of dissipative results on the unsteady mixed convective flow of a MHD electrically conducting fluid over a stretching sheet within a permeable medium. The system experiences a transversal magnetic field and includes a non-uniform heat source/sink. To find the solution of the coupled nonlinear PDEs governing the flow, a similarity transformation method is employed, transforming them into a set of nonlinear ODEs. These transformed equations are then numerically solved using the fourth-order Runge-Kutta method along with a shooting technique. The study on the consequence of heat source/sink, Joule heating and chemical reaction on HAMT in MHD mixed convection flow through a limitless upstanding plate by incorporating the Dufour effect was done by Loganathan and Elamparithi [19]. Sharmin and Alam [20] examined the dynamics of unsteady MHD viscoelastic fluid flow, considering chemical reactions and thermal diffusion phenomena. The conduct of the flow is characterized by a complex system of coupled nonlinear PDEs. To analyze this system, traditional transformation techniques are utilized, resulting in dimensionless equations, which are then solved numerically. Furthermore, perturbation techniques are applied to address the equations that govern the fluid flow. Alam [21] examined the influence of heat generation or absorption and thermophoresis on steady, laminar, hydromagnetic free convection and mass transfer within the boundary layer flow over an inclined permeable stretching sheet. The analysis also considered the Df and Soret effects. The governing non-linear PDEs are converted into a system of coupled ODEs using similarity transformation.

The already existing works studied the influence of radiation and chemical reactions on the unsteady flow of an incompressible fluid via an erect plate. Also, the additional focus was specifically on either on Dufour effect or Soret effect or heat source. However, those works did not focus on the combined existence of heat sources and the Dufour effect. Thus, the main intention of this work is to examine the influence of chemical reaction and radiation on the unsteady flow of an incompressible, viscous fluid moving through a uniformly accelerated limitless upright plate. The porous plate travels through a porous medium and the analysis also accounts for the existence of heat source and Dufour effect. The practical application of this study is found in heat exchangers, environmental engineering processes, and chemical reactors.

2. Mathematical Formulation

The study examines the unsteady flow of an initially stationary, incompressible viscous fluid passing through an infinite upright plate with varying temperatures within a permeable medium. In Figure 1, the flow is presumed to be in the ‘x’ direction, with the vertical plate oriented upwards. The ‘y’ axis is considered perpendicular to the plate. Initially, both the fluid and the plate share the same temperature T' and concentration C' at all points. For time t'>0 the plate is accelerated with velocity $u^{\prime}=\frac{u_0^3 t^{\prime}}{v}$ in the plane. The temperature of the plate is increased to $T_w{ }^{\prime}$. Similarly, the concentration near the plate is increased linearly with time to $C_w^{\prime}$.

The image illustrates the concept of boundary layers in fluid dynamics, particularly concerning flow through a porous medium. It shows three distinct types of boundary layers: momentum, thermal and concentration. The diagram appears to depict the development of these boundary layers along a vertical surface within the porous medium, influenced by gravity.

Figure 1. Geometry of the problem

3. Geometry of the Problem

Boussinesq’s approximation is a fundamental assumption in fluid dynamics, particularly in the study of buoyancy-driven flows. It is primarily used in situations where density variations due to temperature differences are small. This approximation simplifies calculations by considering the buoyancy term, which arises from density differences caused by temperature fluctuations, leading to the buoyant forces observed in fluids.

By Boussinesq’s approximation the governing equations for unsteady flow are given by the following:

$\frac{\partial u}{\partial t^{\prime}}=g \beta\left(T^{\prime}-T_{\infty}\right)+g \beta *\left(C^{\prime}-C_{\infty}^{\prime}\right)+v \frac{\partial^2 u}{\partial y^{\prime 2}}-\frac{v}{k_1} u^{\prime}$    (1)

$\rho C_p \frac{\partial T^{\prime}}{\partial t^{\prime}}=k \frac{\partial^2 T^{\prime}}{\partial y^{\prime 2}}-\frac{\partial q_r}{\partial y^{\prime}}-Q_0\left(T^{\prime}-T_{\infty}\right)+\rho \frac{D K_t}{C s} \frac{\partial^2 C^{\prime}}{\partial y^{\prime 2}}$    (2)

$\frac{\partial C^{'}}{\partial t^{'}} = D\frac{\partial^{2}C^{'}}{\partial y^{'2}} - Kr^{'}\left( {C^{'} - {C_{\infty}}^{'}} \right)$    (3)

In Eq. (1) which controls the fluid flow within the system, the term:

$\frac{\partial u^{\prime}}{\partial t^{\prime}}$ - is the unsteady rate of change of the velocity u' in the fluid.

β - measures the extent to which a fluid expands or contracts in response to temperature changes.

$T^{\prime}-T_{\infty}{ }^{\prime}$ - is the difference in temperature between the local temperature and the surrounding temperature.

β* - takes into consideration the changes in concentration within the fluid.

$C^{\prime}-C_{\infty}{ }^{\prime}$ - the variation in species concentration between the local concentration C' and the ambient concentration.

$v \frac{\partial^2 u^{\prime}}{\partial y^{\prime 2}}$ - this term denotes the diffusion of velocity due to viscosity in the y-direction.

$\frac{v}{k_1} u^{\prime}$ - this term signifies the resistance to velocity.

Eq. (2) which regulates the energy (temperature) balance in the fluid, the term:

$\frac{\partial T^{\prime}}{\partial t^{\prime}}$ - transient variation in temperature.

$k \frac{\partial^2 T^{\prime}}{\partial y^{\prime 2}}$ - the conduction of heat within the fluid in the y-direction.

$\frac{\partial q_r}{\partial y^{\prime}}$ - radiative heat transfer.

$Q_0\left(T^{\prime}-T_{\infty}\right)$ - heat source or sink

$\frac{\partial^2 C^{\prime}}{\partial y^{\prime 2}}$ - diffusion of concentration.

$\rho \frac{D K_t}{C s} \frac{\partial^2 C^{\prime}}{\partial y^{\prime 2}}$ - thermal diffusion resulting from mass diffusion.

In Eq. (3), which regulates the mass transfer, the term:

$\frac{\partial C^{\prime}}{\partial t^{\prime}}$ - the time-dependent rate of change of species concentration.

$D \frac{\partial^2 C^{\prime}}{\partial y^{\prime 2}}$ - the species diffusion in the y-direction.

$K r^{\prime}\left(C^{\prime}-C_{\infty}{ }^{\prime}\right)$  - reaction.

The boundary conditions are:

$\begin{gathered}u^{\prime}=0, T^{\prime}=T_{\infty}{ }^{\prime}, C^{\prime}=C_{\infty}{ }^{\prime}, \forall y^{\prime} \text { and } t^{\prime} \leq 0 \\ u^{\prime}=\frac{u_0{ }^3 t^{\prime}}{v}, \\ T^{\prime}=T_{\infty}{ }^{\prime}+\left(T_w{ }^{\prime}-T_{\infty}\right) A t^{\prime}, C^{\prime} \\ =C_{\infty}{ }^{\prime}+\left(C_w{ }^{\prime}-C_{\infty}{ }^{\prime}\right) A t^{\prime}, \\ \text { at } y=0 \& t^{\prime}>0 \\ u^{\prime} \rightarrow 0, T^{\prime} \rightarrow T_{\infty}{ }^{\prime}, C^{\prime} \rightarrow C_{\infty}{ }^{\prime} \text { as } y^{\prime} \rightarrow \infty\end{gathered}$    (4)

Eq. (4) implies that for t'≤0, there is no velocity and both the temperature and concentration match the ambient values across all y'.

$u^{\prime}=\frac{u_0{ }^3 t^{\prime}}{v}$ describes the fluid velocity u' as a function of time t', with u0 representing a characteristic velocity and ν denoting the fluid's kinematic viscosity. The velocity increases over time, signifying unsteady flow.

$T^{\prime}=T_{\infty}{ }^{\prime}+\left(T_w{ }^{\prime}-T_{\infty}{ }^{\prime}\right) A t^{\prime}, C^{\prime}=C_{\infty}{ }^{\prime}+\left(C_w{ }^{\prime}-C_{\infty}{ }^{\prime}\right) A t^{\prime}$

These equations describe the temperature and concentration profiles within the fluid. The temperature and concentration both increase linearly with time t', driven by the difference between the wall and ambient values at y=0 and t'>0.

As y'→∞, the velocity approaches zero, while both temperature and concentration move toward the ambient conditions.

Dimensionless variables and parameters:

$\begin{gathered}u=\frac{u^{\prime}}{u_0} ; t=\frac{t^{\prime} u_0{ }^2}{v} ; y=\frac{y^{\prime} u_0}{v} ; \theta=\frac{T^{\prime}-T_{\infty}{ }^{\prime}}{T_w{ }^{\prime} T_{\infty}} ; \\ \varphi=\frac{C^{\prime}-C_{\infty}{ }^{\prime}}{C_w{ }^{\prime}-C_{\infty}} ; \frac{1}{K}=\frac{k_1{ }^{\prime} u_0{ }^2}{v^2} ; F=\frac{4 v I^*}{\rho C_p u_0{ }^2} ; \\ \frac{\partial q_r}{\partial y}=\frac{-16 a * T_{\infty}{ }^3 \partial^2 T^{\prime}}{3 k_p} \frac{g y^{\prime}}{\partial y} ; G r=\frac{g \beta\left(T_w{ }^{\prime}-T_{\infty}\right)}{u_0{ }^3} ; \\ G m=\frac{g \beta * v\left(C_w{ }^{\prime}-C_{\infty}{ }^{\prime}\right)}{u_0{ }^3} ; S c=\frac{v}{D} ; P r=\frac{\mu C_p}{k} ; \\ K r=\frac{K r^{\prime} v}{u_0{ }^2} ; N=\frac{16 a * T_{\infty}{ }^3}{3 K_p k} ; D u=\frac{D_m K_t\left(C_w{ }^{\prime}-C_{\infty}\right)}{v C_s C_p\left(T_w{ }^{\prime}-T_{\infty}{ }^{\prime}\right)} ; \\ Q=\frac{v Q_0}{u_0{ }^2 \rho C_p}\end{gathered}$    (5)

By substituting the non-dimensional equations in the Eqs. (1) to (3), the following equations are obtained:

$\frac{\partial u}{\partial t}=\operatorname{Gr} \theta+G m \varphi+\frac{\partial^2 u}{\partial y^2}-K u$    (6)

$\frac{\partial \theta}{\partial t}=\frac{1+N}{{Pr} \frac{\partial^2 \theta \partial^2 \phi}{\partial y^2 \partial y^2}}$    (7)

$\frac{\partial \varphi}{\partial t}=\frac{1}{S c} \frac{\partial^2 \varphi}{\partial y^2}-K r \varphi$    (8)

The corresponding initial and boundary conditions become:

$\begin{gathered}\forall y<0, t \leq 0, u=0, \theta=0, \varphi=0 ; \\ \text { at } y=0, t>0, u=t, \theta=t, \varphi=t ; \\ \text { as } y \rightarrow \infty, u \rightarrow 0, \theta \rightarrow 0, \varphi \rightarrow 0 \text {, for } t>0\end{gathered}$   (9) 

4. Solution of the Problem

Perturbation theory is a mathematical method used to tackle complex problems by initially solving a simpler, idealized version and then applying small adjustments to account for real-world complications. In the current study the perturbation parameters chosen are Gr, Gm, (When these values are small, it signifies weak buoyancy effects, and perturbations can be used to examine how minor temperature (or concentration) gradients influence the system.) Pr (In perturbation analysis, slight variations in the Pr can result in adjustments to the coupling between momentum and heat transfer) and Sc (when Sc is either small or large, perturbation methods can aid in refining mass transfer models).

On applying the perturbation technique of first order, the equations for u, θ, ϕ are expressed as:

$\begin{aligned} & u(y, t)=u_1(y)+u_2(y) e^{n t} \\ & \theta(y, t)=\theta_1(y)+\theta_2(y) e^{n t} \\ & \varphi(y, t)=\varphi_1(y)+\varphi_2(y) e^{n t}\end{aligned}$    (10)

By substituting Eq. (10) in the Eqs. (6) to (8), the following equations are obtained:

$\begin{matrix}{{\varphi }_{1}}^{\prime\prime }-KrSc{{\varphi }_{1}}=0 \\{{\varphi }_{2}}^{\prime\prime }-(Kr+n)Sc{{\varphi }_{2}}=0 \\\left( \frac{1+N}{\Pr } \right){{\theta }_{2}}^{\prime\prime }-(n+Q){{\theta }_{2}}=0 \\\left( \frac{1+N}{\Pr } \right){{\theta }_{1}}^{\prime\prime }-Q{{\theta }_{1}}=-Df\left( tKrSce{{}^{-\sqrt{KrSc}y}} \right) \\{{u}_{2}}^{\prime\prime }-\left( n+K \right){{u}_{2}}=0 \\{{u}_{1}}^{\prime\prime }-K{{u}_{1}}=-Gr{{B}_{4}}{{e}^{-\sqrt{\frac{Q\Pr }{1+N}}y}}+Gr{{C}_{4}}e{{}^{-\sqrt{KrSc}y}}-Gmt{{e}^{-\sqrt{KrSc}y}} \\\end{matrix}$    (11)

The solutions of the equations present in Eq. (11) are given below:

$\begin{matrix}{{\varphi }_{1}}={{A}_{1}}{{e}^{\sqrt{KrSc}y}}+{{B}_{1}}{{e}^{-\sqrt{KrSc}y}} \\{{\varphi }_{2}}={{A}_{2}}{{e}^{\sqrt{\left( Kr+n \right)Sc}y}}+{{B}_{2}}{{e}^{-\sqrt{\left( Kr+n \right)Sc}y}} \\{{\theta }_{1}}={{A}_{4}}e{{}^{\sqrt{\frac{Q\Pr }{1+N}}y}}+{{B}_{4}}{{e}^{-\sqrt{\frac{Q\Pr }{1+N}}y}} \\{{\theta }_{2}}={{A}_{3}}e{{}^{\sqrt{\frac{\left( n+Q \right)\Pr }{1+N}}y}}+{{B}_{3}}e{{}^{-\sqrt{\frac{\left( n+Q \right)\Pr }{1+N}}y}} \\{{u}_{2}}={{A}_{5}}e{{}^{\sqrt{n+K}y}}+B{}_{5}e{{}^{-\sqrt{n+K}y}} \\{{u}_{1}}={{A}_{6}}e{{}^{Ky}}+{{B}_{6}}e{{}^{-Ky}}-\frac{Gr{{B}_{4}}\left( 1+N \right)}{Q\Pr -K\left( 1+N \right)}e{{}^{-\sqrt{\frac{Q\Pr }{1+N}}y}} +\frac{tGrDu\Pr }{\left( KrSc-K \right)\left[ \left( 1+N \right)-Q\Pr  \right]}e{{}^{-\sqrt{KrSc}y}} -\frac{tGm}{KrSc-K}e{{}^{-\sqrt{KrSc}y}} \\\end{matrix}$    (12)

By substituting Eq. (12) in Eq. (10) and applying Eq. (9), the following equations are obtained:

$\begin{matrix}u={{B}_{6}}e{{}^{-Ky}}-\frac{Gr{{B}_{4}}\left( 1+N \right)}{Q\Pr -K\left( 1+N \right)}e{{}^{-\sqrt{\frac{Q\Pr }{1+N}}y}} +\frac{tGrDu\Pr }{\left( KrSc-K \right)\left[ \left( 1+N \right)-Q\Pr  \right]}e{{}^{-\sqrt{KrSc}y}} -\frac{tGm}{KrSc-K}e{{}^{-\sqrt{KrSc}y}} \\\theta ={{B}_{4}}e{{}^{-\sqrt{\frac{Q\Pr }{1+N}}y}}-\frac{tDu\Pr }{\left( 1+N \right)-Q\Pr }e{{}^{-\sqrt{KrSc}y}} \\\varphi =te{{}^{-\sqrt{KrSc}y}} \\\end{matrix}$     (13)

Skin Friction (SF):

The skin friction at the surface is as follows:

$\begin{matrix}\tau ={{\left( \frac{\partial u}{\partial y} \right)}_{y=0}}=-K{{B}_{6}}+\frac{Gr{{B}_{4}}\left( 1+N \right)}{Q\Pr -K\left( 1+N \right)}\sqrt{\frac{Q\Pr }{1+N}}-\frac{tGrDu\Pr \sqrt{KrSc}}{\left( KrSc-K \right)\left[ \left( 1+N \right)-Q\Pr  \right]} +\frac{tGm\sqrt{KrSc}}{KrSc-K} \\\end{matrix}$    (14)

Nusselt Number (Nu):

The coefficient of rate of heat transfer is obtained as:

$Nu={{\left( \frac{\partial \theta }{\partial y} \right)}_{y=0}}={{B}_{4}}\left( \sqrt{\frac{Q\Pr }{1+N}} \right)-\frac{tDu\Pr \sqrt{KrSc}}{\left( 1+N \right)-Q\Pr }$   (15) 

Sherwood Number (Sh):

The coefficient of rate of mass transfer is denoted as:

$Sh={{\left( \frac{\partial \varphi }{\partial y} \right)}_{y=0}}=-t\sqrt{KrSc}$    (16)

5. Results and Discussion

The result of various parameters like thermal Grashof number (Gr), mass Grashof number (Gm), Dufour number (Df), radiation parameter (N), heat source (Q), chemical reaction parameter (Kr), Prandtl number (Pr), Schmidt number (Sc), permeability parameter (K) on velocity profile (VP), temperature profile (TP), concentration profile (CP), SF, Nu, Sh are studied by fixing some standard values for other parameters.

Gr is the proportion of thermal buoyancy force to the viscous hydrodynamic force within the boundary layer (BL). Hence as value of Gr rises, there will be a hike in the thermal BL force which directs to an increment in the velocity of fluid flow. Gm is the fraction of the buoyancy force to the viscous hydrodynamic force; hence the rise in Gm value leads to an increment in the speed of the fluid. These concepts are well depicted in Figure 2 and Figure 3. Figure 4 exposes that the velocity of the fluid increases as Df rises. It is noted that Df is inversely proportional to the kinematic viscosity. As Df increases, kinematic viscosity decreases. It represents a low frictional force and therefore fluid can flow easily. Figure 5 implies that the velocity of the fluid increases as Q rises. This is because, as Q increases the kinetic energy of the particles of the fluid rises and the thickness of the BL boosts up. Hence the velocity shoots up. As time rises, the speed of the fluid boosts up. It is expressed in Figure 6. An elevation in the radiation parameter triggers a corresponding increase in the fluid temperature, driven by heightened radiation-induced energy transfer. This temperature surge commonly translates to a reduction in fluid density, consequently causing a decline in fluid velocity. This is well depicted in Figure 7.

Figure 2. Gr on velocity

Figure 3. Gm on velocity

Figure 4. Df on velocity

Figure 5. Q on velocity

Figure 6. t on velocity

Figure 7. N on velocity

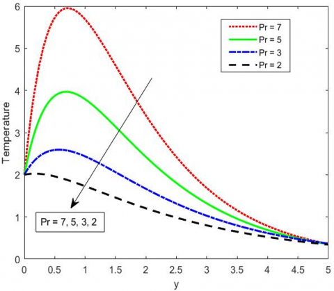
Figure 8 shows that velocity declines with a rise in Pr. It is because, when Pr boosts up, kinematic viscosity rises. An improvement in the kinematic viscosity leads to the increment of frictional force which operates in the reverse direction of the fluid flow. Sc is the fraction of momentum diffusivity and mass diffusivity. Figure 9 illustrates that a hike in Sc results in a decrement in the velocity of the fluid. This is attributed to the dominance of momentum diffusivity over mass diffusivity within the fluid.

Figure 8. Pr on velocity

Figure 9. Sc on velocity

Figure 10. Kr on velocity

Figure 11. K on velocity

Figure 12. Kr on temperature

Figure 13. Q on temperature

As the value of Kr increases, velocity falls. This is shown in Figure 10. Permeability creates resistance to the flow of the fluid; hence velocity declines with rise in permeability parameter, which is exposed in Figure 11. Chemical reaction frequently emits energy in the form of heat. As the rate of these reactions rises, a large amount of heat is produced within the fluid, resulting in a hike of temperature, which is shown in Figure 12. The presence of heat energy has a very important effect on temperature flux. Since high thermal force is produced between the particles of the fluid, the thermal BL thickness rises. Hence as Q rises, the temperature of the fluid grows and is implied in Figure 13. A rise in Schmidt number implies a dominance of momentum transport over mass transport. This leads to improved mixing and dispersion of heat within the fluid, resulting in the rise of temperature as shown in Figure 14. Figure 15 depicts that as time increases, temperature increases. Dufour number is proportional to the thermal conductivity. As Df boosts up, thermal conductivity rises. As a result, heat transfer rate increases. Hence Figure 16 implies temperature of fluid increases with a rise in Df. The fraction of momentum diffusivity to heat diffusivity is Prandtl number. As Pr rises it leads to the declination of thickness of thermal BL and hence temperature drops off with the increase in Pr and is shown in Figure 17.

As the radiative parameter rises, the thermal BL thickens. This makes the fluid to release the heat energy from the region of the flow. Hence as N improves, temperature drops off and is depicted in Figure 18.

Figure 14. Sc on temperature

Figure 15. t on temperature

Figure 16. Df on temperature

Figure 17. Pr on temperature

Figure 18. N on temperature

Figure 19 implies that concentration increases as time increases. As Sc rises, it indicates momentum diffusivity dominates the mass diffusivity within the fluid. Hence the capacity of the fluid to scatter and blend solute particles decreases, resulting in a decline in the value of φ of the fluid. Thus, as Sc hikes up, concentration drops down and is depicted in Figure 20. When Kr rises it suggests an elevated occurrence of chemical reactions in the fluid. This increased activity results in the consumption or production of substances involved in the reaction. Consequently, certain species within the fluid undergo a decrease in φ due to their consumption. This leads to a reduction in the value of φ. Hence Figure 21 implies that φ decreases as Kr increases.

Figure 19. t on concentration

Figure 20. Sc on concentration

Figure 21. Kr on concentration

Table 1. The values for $\tau$, Nu and Sh are obtained for the values of Pr = 7, Sc = 0.6, Gr = 5, Gc =5, Q = 0.1, N = 0.1, t = 0.2, Df = 0.2, K = 0.5, Kr = 3

Gr

Gm

Sc

Df

N

$\tau$

Nu

Sh

2

5

0.6

0.2

0.1

3.571

0.221

-0.268

4

5

0.6

0.2

0.1

6.594

0.221

-0.268

6

5

0.6

0.2

0.1

9.618

0.221

-0.268

8

5

0.6

0.2

0.1

12.641

0.221

-0.268

5

5

0.6

0.2

0.1

8.106

0.221

-0.268

5

10

0.6

0.2

0.1

8.753

0.221

-0.268

5

15

0.6

0.2

0.1

9.401

0.221

-0.268

5

20

0.6

0.2

0.1

10.048

0.221

-0.268

5

5

0.2

0.2

0.1

2.860

-0.175

-0.154

5

5

0.4

0.2

0.1

7.598

0.048

-0.219

5

5

0.6

0.2

0.1

8.106

0.221

-0.268

5

5

1.0

0.2

0.1

8.492

0.494

-0.346

5

5

0.6

0.2

0.1

8.106

0.221

-0.268

5

5

0.6

0.3

0.1

10.794

0.411

-0.268

5

5

0.6

0.4

0.1

13.482

0.601

-0.268

5

5

0.6

0.5

0.1

16.169

0.792

-0.268

5

5

0.6

0.2

0.5

-15.693

0.093

-0.268

5

5

0.6

0.2

1

-1.418

0.043

-0.268

5

5

0.6

0.2

1.5

-0.191

0.020

-0.268

5

5

0.6

0.2

2

0.255

0.007

-0.268

Table 2. The values for $\tau$, Nu and Sh are obtained for the values of Pr = 7, Sc = 0.6, Gr = 5, Gc = 5, Q = 0.1, N = 0.1, t = 0.2, Df = 0.2, K = 0.5, Kr = 3

Kr Pr t Q $\tau$ Nu Sh
3 7 0.2 0.1 8.1064 0.2212 -0.2683
5 7 0.2 0.1 8.4928 0.4945 -0.3464
7 7 0.2 0.1 8.678 0.7166 -0.4099
9 7 0.2 0.1 8.7944 0.9087 -0.4648
3 7 0.2 0.1 8.1064 0.2212 -0.2683
3 5 0.2 0.1 -10.7513 0.0876 -0.2683
3 3 0.2 0.1 -0.1093 0.0185 -0.2683
3 2 0.2 0.1 0.5938 -0.0039 -0.2683
3 7 0.2 0.1 8.1064 0.2212 -0.2683
3 7 0.4 0.1 16.2127 0.4424 -0.5367
3 7 0.6 0.1 24.3191 0.6636 -0.805
3 7 0.8 0.1 32.4254 0.8848 -1.0733
3 7 0.2 0.5 1.1245 -0.3052 -0.2683
3 7 0.2 1 0.9641 -0.4485 -0.2683
3 7 0.2 1.5 0.8875 -0.5658 -0.2683

While comparing the current results with the existing literature, it was observed that some findings align with certain studies while differing from others. Specifically, the current results match with both VP and CP as in references [5, 7, 19-21], align with only CP as in reference [13] and differ in VP and TP when compared to references [3, 6, 13, 17].

From Table 1 and Table 2, the following observations are drawn: As Gr and Gm rise, buoyant forces due to temperature and concentration differences become more prominent. These forces accelerate the fluid near the heated plate, enhancing the velocity gradient and surface shear stress. Since SF is directly linked to shear stress, an increase in the Gr and Gm results in greater SF. As the Sc increases, momentum diffusivity surpasses mass diffusivity, resulting in a thinner concentration BL and sharper velocity gradients near the plate. Hence as Sc increases SF hikes. As the Df increases, the heat flux driven by mass diffusion intensifies thermal gradients within the BL, enhancing buoyancy forces and speeding up fluid flow near the plate. Thus, SF boosts up as Df rises. As N rises, radiative heat transfer plays a more prominent role in the overall energy balance. This raises the temperature near the plate, intensifying thermal buoyancy forces that accelerate the fluid close to the surface. This increases SF value. As Kr increases, chemical reactions affect the concentration gradients near the plate, strengthening the buoyancy forces related to mass transfer. This acceleration of fluid near the plate leads to a sharper velocity gradient and hence SF rises. As time increases, SF hikes up. As Q rises, the thermal energy in the fluid increases, resulting in greater temperature gradients and stronger buoyancy-driven flows. These changes cause an increase in fluid velocity near the plate, leading to a sharper velocity gradient at the surface, which results in hike in SF value.

As the Df increases, mass diffusion contributes more significantly to convective heat transfer. This leads to improved thermal energy transfer, steeper temperature gradients near the surface, and a more efficient convection process. Since Nu represents the effectiveness of convective heat transfer compared to conductive heat transfer, Nu also increases. As N increases, radiative heat transfer becomes more dominant over convective heat transfer. Hence Nu declines as N hikes. As Kr increases, the heat produced or absorbed by the reaction intensifies temperature gradients and strengthens convective currents within the fluid. Hence Nu rises as Kr boosts up. As Pr decreases, thermal diffusivity increases, resulting in greater heat diffusion through conduction rather than convection, which leads to a reduction in the Nu. The rise in Nu over time is mainly attributed to the formation of the thermal boundary layer, enhanced temperature gradients, and the progression of convective flow. The Nu decreases as Q increases because the heat source lowers the temperature gradient at the plate surface, thereby reducing the necessity for convective heat transfer.

The Sh decreases with an increase in Sc because a higher Sc signifies lower mass diffusivity, which diminishes the mass transfer gradient at the plate's surface. This results in a thicker concentration boundary layer and reduced convective mass transfer. The Sh declines as Kr rises because more intense chemical reactions consume a greater amount of the diffusing species. This increased consumption of species inhibits both convective and diffusive mass transfer, leading to a smaller Sh. Sh decreases over time because the concentration gradients near the plate diminish as the system approaches equilibrium, which reduces the effectiveness of convective mass transfer.

6. Conclusions

The impact of chemical reaction and radiation together with the existence of heat source and Dufour effect on unsteady motion of incompressible, viscous fluid via a uniformly fastened infinite erect porous plate through permeable medium have been discussed. The governing, transformed dimensionless PDEs are resolved by perturbation technique. For distinct values of parameters, the results are presented in graphical form. The present work can be summarized as below.

The VP rises due to the following reasons:

i) The rise in the Gr and Gm lead to rise in the BL force which result in an increase in fluid flow velocity.

ii) An increase in the value of Df expresses low frictional force and hence flow of the fluid increases.

iii) Hike in Q, boosts up the thickness of BL leading to a rise in velocity.

iv) As time increases, velocity rises up.

v) Velocity hikes with rise in Sc, since mass diffusivity is dominated by momentum diffusivity.

The VP declines due to:

i) Rise in N leads to a reduction in fluid density which reduces the velocity.

ii) Kinematic viscosity boosts up with rise in Pr, which reduces velocity.

iii) An increment in Kr, reduces VP.

iv) The flow of the fluid is resisted as K increases.

TP hikes up due to:

i) Surge in Kr emits heat energy frequently, hence temperature increases.

ii) As Q rises, thermal BL thickens a lot and temperature boosts up.

iii) Dispersion of heat boosts up as Sc shoots up, resulting in hike in temperature.

iv) TP rises as time increases.

v) An upsurge in Df boosts up thermal conductivity which in-turn raises TP.

TP declines due to:

i) When Pr rises, thickness of BL reduces and reduces the temperature.

ii) Fluid releases heat energy as N improves, which leads to decline in TP.

CP declines due to:

i) As time rises, concentration decreases.

ii) The fluid’s concentration declines with the rise of Sc, as blending of solute particles reduces.

iii) Concentration drops off as the consumption of substances in the fluid rises up as Kr increases.

The results of this study are highly beneficial for various engineering applications. The present study examines incompressible viscous fluid flow over an infinite erect plate. Future research could focus on MHD fluid or extend the analysis to an inclined plate.

7. Application

The Dufour effect in the existence of heat source becomes remarkable and possesses different applications in various fields. The Dufour effect holds an important role in the process of combustion within flames. It exerts influence over temperature and composition profiles within the flame front, impacting factors such as stability, propagation and efficiency. Heat exchangers operate by facilitating the exchange of heat between fluids. In systems characterized by substantial concentration gradients or where simultaneous mass transfer accompanies heat transfer, acknowledging the Dufour effect is essential for precise design and accurate evaluation of performance. Chemical reactions often involve the release or absorption of heat, coupled with changes in mass concentrations. The Dufour effect holds significant importance in predicting temperature and concentration patterns within these reactors, providing valuable insights that enhance reaction rates and maximize yields through optimization.

The incorporation of the Dufour effect in the analysis of unsteady flow via an unbounded upstanding plate with a heat source and varying temperature through a porous medium finds applications in various fields, including heat exchangers, chemical reactors, geothermal systems and environmental engineering. Here are some specific applications:

1. Heat Exchangers: In heat exchangers where fluid flows through porous media, understanding the Dufour effect is crucial for optimizing heat transfer processes. Incorporating the Dufour effect helps in designing more efficient heat exchangers by accounting for the influence of thermal gradients on mass diffusion and heat transfer.

2. Chemical Reactors: In chemical reactors involving reactive flows through porous media, the Dufour effect plays a significant role in determining the species concentration profiles and reaction rates. Incorporating the Dufour effect allows for more accurate predictions of reaction kinetics and product yields in such systems.

3. Geothermal Systems: Geothermal reservoirs often involve flow of fluid via porous media with variable temperature gradients. Understanding the Dufour effect is essential for modelling heat transfer and fluid flow processes in geothermal systems accurately. Incorporating the Dufour effect helps in predicting temperature distributions, fluid velocities and heat extraction rates in geothermal reservoirs.

4. Environmental Engineering: In environmental engineering applications such as groundwater remediation and contaminant transport, understanding the Dufour effect is crucial for modelling the migration of pollutants through porous media under variable temperature conditions. Incorporating the Dufour effect helps in predicting the transport and dispersion of contaminants in groundwater systems more accurately.

Overall, the incorporation of the Dufour effect in the analysis of unsteady flow via a boundless erect plate with a heat source and variable temperature along a permeable medium has broad applications across various engineering and scientific disciplines, enabling more accurate modelling and optimization of HAMT processes in complex systems.

  References

[1] Karthikeyan, S., Bhuvaneswari, M., Sivasankaran, S., Rajan, S. (2016). Soret and Dufour effects on MHD mixed convection heat and mass transfer of a stagnation point flow towards a vertical plate in a porous medium with chemical reaction, radiation and heat generation. Journal of Applied Fluid Mechanics, 9(3): 1447-1455. http://doi.org/10.18869/acadpub.jafm.68.228.24135

[2] Islam, S.H., Begum, P., Sarma, D. (2021). Dufour effect on MHD free convection heat and mass transfer effects flow over an inclined plate embedded in a porous medium. Journal of Scientific Research, 13(1): 111-123. https://doi.org/10.3329/jsr.v13i1.48174 

[3] Rout, B.R., Pattanayak, H.B. (2013). Chemical reaction and radiation effect on MHD flow past an exponentially accelerated vertical plate in presence of heat source with variable temperature embedded in a porous medium. Mathematical Theory and Modeling, 3(8): 253-259. 

[4] Islam, H., Ahmed, N. (2019). Effect of thermal diffusion and chemical reaction on MHD free convective flow past an infinite isothermal verticalplate with heat source. Italian Journal of Pure and Applied Mathematics, 42: 559-574.

[5] Ibrahim, F.S., Elaiw, A.M., Bakr, A.A. (2008). Effect of the chemical reaction and radiation absorption on the unsteady MHD free convection flow past a semi infinite vertical permeable movingplate with heat source and suction. Communications in Nonlinear Science and Numerical Simulation, 13: 1056-1066. http://doi.org/10.1016/j.cnsns.2006.09.007

[6] Rout, B.R., Parida, S.K., Panda, S. (2013). MHD heat and mass transfer of chemical reaction fluid flow over a moving vertical plate in presence of heat source with convective surface boundary condition. International Journal of Chemical Engineering, 2013: 296834. http://doi.org/10.1155/2013/296834.

[7] Kumar, C.S., Chowdary, P.G., Devi, P.S., Nagaraju, V. (2022). Radiation and chemical reaction effects on unsteady flow past an accelerated infinite vertical plate with variable temperature and uniform mass diffusion through a porous medium. Journal of Positive School Psychology, 10983-10991.

[8] Rajput, U.S., Kumar, G. (2017). Chemical reaction effect on unsteady MHD flow past an impulsively started inclined plate with variable temperature and mass diffusion in the presence of hall current. Jordan Journal of Mechanical and Industrial Engineering, 11(1): 41-49. 

[9] Bagai, S. (2004). Effect of variable viscosity on free convection over a non-isothermal axisymmetric body in a porous medium with internal heat generation. Acta Mechanica, 169(1): 187-194. http://doi.org/10.1007/s00707-003-0069-7

[10] Malla, M.M., Hossain, M.A., Yao, L.S. (2004). Natural convection flow along a vertical wavy surface with uniform surface temperature in presence of heat generation/absorption. International Journal of Thermal Sciences, 43(2): 157-163. https://doi.org/10.1016/j.ijthermalsci.2003.04.001

[11] Hady, F.M., Mohamed, A., Mahdy, A. (2006). MHD free convection flow along a vertical wavy surface with heat generation or absorption effect. International Communications in Heat and Mass Transfer, 33(10): 1253-1263. https://doi.org/10.1016/j.icheatmasstransfer.2006.06.007

[12] Raptis, A., Perdikis, C. (1999). Radiation and free convection flow past a moving plate. International Journal of Applied Mechanics and Engineering, 4(4): 817-821.

[13] Rajput, U.S., Kumar, G. (2019). Effects of radiation and chemical reaction on MHD flow past a vertical plate with variable temperature and mass diffusion. Journal of Naval Architecture and Marine Engineering, 16(2): 99-108. http://doi.org/10.3329/jname.v16i2.29526

[14] Muthtamilselvan, M., Periyadurai, K., Doh, D.H. (2017). Effect of uniform and nonuniform heat source on natural convection flow of micropolar fluid. International Journal of Heat and Mass Transfer, 115: 19-34. https://doi.org/10.1016/j.ijheatmasstransfer.2017.06.134

[15] Goud, B.S., Kumar, P.P., Malga, B.S. (2020). Effect of heat source on an unsteady MHD free convection flow of Casson fluid past a vertical oscillating plate in porous medium using finite element analysis. Partial Differential Equations in Applied Mathematics, 2: 100015. https://doi.org/10.1016/j.padiff.2020.100015

[16] Makinde, O.D., Khan, Z.H., Ahmad, R., Haq, R.U., Khan, W.A. (2019). Unsteady MHD flow in a porous channel with thermal radiation and heat source/sink. International Journal of Applied and Computational Mathematics, 5(59): 1-21. https://doi.org/10.1007/s40819-019-0644-9

[17] Sharma, B.K., Gandhi, R. (2022). Combined effects of Joule heating and non uniform heat source/sink on unsteady MHD mixed convective flow over a vertical stretching surface embedded in a Darcy-Forchheimer porous medium. Propulsion and Power Research, 11(2): 276-292. https://doi.org/10.1016/j.jppr.2022.06.001

[18] Bhukta, D., Dash, G.C., Mishra, S.R., Baag, S. (2017). Dissipation effect on MHD mixed convection flow over a stretching sheet through porous medium with non-uniform heat source/sink. Ain Shams Engineering Journal, 8(3): 353-361. http://doi.org/10.1016/j.asej.2015.08.017

[19] Loganathan, A., Elamparithi, S. (2023). MHD heat and mass transfer steady flow of a convective fluid through a porous plate in the presence of multiple parameters along with Dufour effect. International Journal of Heat and Technology, 41(1): 205-212. https://doi.org/10.18280/ijht.410122

[20] Sharmin, F., Alam, M.M. (2017). MHD viscoelastic fluid flow along an infinite oscillating porous plate with heat source and thermal diffusion. Modelling, Measurement and Control B, 86(4): 808-829. https://doi.org/10.18280/mmc_b.860401

[21] Alam, M.S. (2016). Mathematical modelling for the effects of thermophoresis and heat generation/absorption on MHD convective flow along an inclined stretching sheet in the presence of Dufour-Soret effects. Mathematical Modelling of Engineering Problems, 3(3): 119-128. https://doi.org/10.18280/mmep.030302