Optimal Solution for Fully Spherical Fuzzy Linear Programming Problem

Optimal Solution for Fully Spherical Fuzzy Linear Programming Problem

Yuvashri Prakash Saraswathi Appasamy*

Department of Mathematics, College of Engineering and Technology, SRM Institute of Science and Technology, Kattankulathur, Chengalpattu 603203, India

Corresponding Author Email: 
saraswaa@srmist.edu.in
Page: 
1611-1618
|
DOI: 
https://doi.org/10.18280/mmep.100511
Received: 
10 March 2023
|
Revised: 
2 May 2023
|
Accepted: 
15 May 2023
|
Available online: 
27 October 2023
| Citation

© 2023 IIETA. This article is published by IIETA and is licensed under the CC BY 4.0 license (http://creativecommons.org/licenses/by/4.0/).

OPEN ACCESS

Abstract: 

This study presents an innovative extension to existing fuzzy set models, introducing the concept of spherical fuzzy sets. Distinguished by their three function characteristics—positive, neutral, and negative membership degrees—the sum of their squares is constrained to be no more than one. This paper discusses the application of these sets through the lens of fully fuzzy spherical linear programming problems, where spherical fuzzy numbers are utilized as parameters. A crisp version of the Spherical Fuzzy Linear Programming Problem (SFLPP) is generated by leveraging these membership degrees. A novel method is proposed for the de-fuzzification of spherical fuzzy numbers into crisp interval numbers. Further, the Best Worst Method (BWM) is employed to solve the crisp Linear Programming Problem (LPP). Alongside this, we propose a spherical fuzzy optimization model to resolve the SFLPP. The validity and optimality of our proposed methodology are substantiated with a detailed numerical example.

Keywords: 

spherical fuzzy number, Spherical Fuzzy Linear Programming Problem, γ-cut, interval linear programming , Best Worst Cases method

1. Introduction

Kahraman and Gündoğdu revolutionized the concept of fuzzy sets with the introduction of spherical fuzzy sets, expanding on the traditional picture fuzzy sets to help decision-makers with generalization. By defining a membership function on a spherical surface and expanding the function's parameters with a broader domain, fuzzy sets can transcend beyond their conventional limits. Compared to the picture fuzzy model, the spherical fuzzy sets offer a fresh and innovative approach to decision-making, with the potential to yield more accurate and nuanced results. The spherical fuzzy model proves superior in addressing uncertainty issues with the constrained 0≤α222≤1, providing an ample space to assign degrees of personal preference. Introducing a unique class of fuzzy sets known as SFSs, decision-makers can now state their degree of hesitancy directly, enabling access to a wider range of preferences. Kahraman and Gündoğdu's pioneering work, decision-makers can make informed and confident choices, even in the face of complexity and uncertainty.

Ahmad and Adhami [1] presented the fascinating concept of the Spherical Fuzzy Linear Programming Problem, which can be categorized into three types and converted into crisp issues using a ranking function. Ashraf and Abdullah [2] introduced a new frontier in fuzzy sets-spherical fuzzy sets, complete with operational rules and aggregation procedures that utilize the Archimedean t-norm and t-conorm. Building upon this work, Ashraf et al. [3] further refined the concept by introducing spherical fuzzy t'-norms and t'-conorms. To effectively solve decision-making problems, Ashraf et al. [4] established various aggregation operators for spherical fuzzy Dombi (SfDw) averaging, ordered averaging, hybrid averaging, geometric, and hybrid geometric. These operators are game-changers in the world of fuzzy sets. In a technology selection challenge for Automated Storage and Retrieval Systems, Boltürk [5] compared the results of SF TOPSIS and neutrosophic TOPSIS techniques. Cuong and Kreinovich [6, 7] introduced a technique in computer intelligence using picture fuzzy set. Garg et al. [8] developed and enhanced immersive aggregation procedures for T-spherical fuzzy sets in multi-attribute decision-making. Guleria and Bajaj [9] introduced the innovative concept of T-spherical fuzzy graphs, including their arithmetic operations, and applied them to business logistics management decision-making and service resto assessment problems.  Furthering their efforts, Gündoğdu [10, 11] extended this approach to the SF-WASPAS method, showcasing its effectiveness in an industrial robot selection problem.  Furthermore, Gündoğdu and Kahraman [12, 13] elucidated the details of the SFs and the application of the spherical fuzzy TOPSIS technique used for solar power station site selection.

Gündoğdu and Kahraman [14-16] devised the spherical fuzzy analytical hierarchical process (SF-AHP) to select industrial robots and renewable energy sources, further showcasing the utility of spherical fuzzy decision-making. In the realm of spherical fuzzy decision-making, Kutlu Gundogdu and Kahraman [17] pioneered the MULTIMOORA methodology to solve personnel selection problems. To make decision-making even more accessible. This extension allowed for more precise and nuanced decision-making. Gündoğdu and Kahraman [18] pushed the limits of the VIKOR method by introducing the spherical fuzzy VIKOR (SF-VIKOR) approach and successfully applying it to select a warehouse placement, demonstrating its superior performance.  Gündoğdu and Kahraman [19] introduced the groundbreaking interval valued spherical fuzzy sets, which were utilized to develop a fuzziness extension of TOPSIS and solve a multi-criteria allocation problem for 3D printers.

Jin et al. [20, 21] introduced spherical fuzzy entropy to identify unknown criterion weights information and proposed new logarithmic operations on spherical fuzzy sets. Liu et al. [22, 23] introduced the Lt-SFNs operator, which evaluates language value understanding among the public. They then developed the Lt-SF weighted averaging operator, integrating language evaluation knowledge. Building on these concepts, the authors enhanced the TODIM approach and established an MABAC methodology based on Lt-SFNs, a generalization of picture fuzzy sets. Mahmood et al. [24] presented the Sfs and T-Sfs concepts, illustrated through examples and graphical comparisons with established notions. The authors defined various operations and applied them to medical diagnostics and decision-making problems to demonstrate the practical implementation of Sfs and T-SFS.

Quek et al. [25] extended the Einstein aggregation operators to T-spherical fuzzy sets and proposed two types of Einstein interactive aggregation operators: Einstein interactive averaging and geometric aggregation operators. The authors applied these operators to a multi-attribute decision-making problem concerning pollution levels in five major Chinese cities. Rafiq et al. [26] investigated the use of cosine function-based similarity metrics to compare membership, hesitation, non-membership, and rejection grades in spherical fuzzy sets. These metrics were applied to innovative similarity analysis across spherical fuzzy sets.

Ullah et al. [27] developed correlation coefficients for T-spherical fuzzy sets, utilized in clustering and multi-attribute decision-making techniques. Ullah et al. [28, 29] proposed novel similarity metrics, such as cosine similarity measurements, grey similarity measures, and set-theoretical similarity measures, applied to a construction material identification problem in the context of spherical fuzzy sets and T-spherical fuzzy sets. Zeng et al. [30] devised a novel approach for hybrid spherical fuzzy sets using rough set concepts by implementing a covering-based spherical fuzzy rough set (CSFRS) model within the TOPSIS framework. Zheng et al. [31] proposed an analysis for optimized the creamic fibres using the differential method.

This research paper's key contribution is its innovative SFLPP technique proposal, which was created for spherical fuzzy information. Each of the three operators has a unique specification. Finally, a method based on the SFLPP is suggested for the case when the criteria are connected in spherical fuzzy multi-criteria multi-objective LPP decision making. A numerical example is used to demonstrate the viability of the created aggregation operator. The results show that the decision-maker is either optimistic or pessimistic; the outcomes of the suggested technique are objective, therefore they are unaffected by the decision-maker's choice for pessimist or optimist. We are motivated to define spherical LPP because the spherical fuzzy model is more adaptable than the picture's fuzzy model LPP. The existed technique only displays one ideal solution without allowing the decision maker to make a choice. To overcome this limitation, our suggested method displays many optimal solutions that allow the decision maker to make wise choices. In this study the fully spherical Linear programming moduled, by using γ-cut the FSLPP is converted into the interval LP model which is solved by BWC method using Tong-Shaocheng approach, yielding an optimal solution according to decision makers preference.

This research article is organized as follows. Section 2 is the discussion about fundamental definitions. Section 3 introduces the illustrated theorem for spherical fuzzy number. Section 4 explains about spherical linear programming problem. Section 5 describes the spherical fuzzy optimization. Section six describes the spherical fuzzy optimization. Section 6 discusses the formulation BWM cases. Section 7 demonstrates the proposed method. Section 8 illustrates a suitable numerical example for the proposed method. Section 9, some conclusion is pointed out in the end of this paper.

2. Preliminaries

2.1 Pythagorean fuzzy number [11]

Let the set W be the universe of discourse. A PFS $\tilde{P}^{f s}$ is a form-containing object $\tilde{P}^{f s}=\left\{w,\left(\mu_{\tilde{p} f s}(w), v_{\tilde{p} f s}(w) / w \in W\right),\right\}$ where functions are $\mu_{\tilde{p} f s}(w): w \rightarrow[0,1]$, $v_{\tilde{p} f f}(w): w \rightarrow[0,1]$ and $0 \leq \mu_{\tilde{p}^{f t}}^2(w)+v_{\tilde{p}^{f k}}^2(w) \leq 1$ are the degree of membership, non-membership of w of $\tilde{P}^{f s}$ respectively, for any PFS $\tilde{A}$ and $w \in W$ $\pi_{\tilde{P}^{ f s}}=\sqrt{1-\mu_{\tilde{P}^{ f s}}^2(w)+v_{\tilde{P} ^{ f s}}^2}$ is called degree of hesitancy of w to $\tilde{P}^{f s}$.

2.2 Picture fuzzy set [11]

A picture fuzzy set on a $\tilde{A}$ of the universe of discourse U is given by $\tilde{A}^s=\left\{u,\left(\mu_{\widetilde{A}^s}(u), v_{\widetilde{A}^s}(u), \pi_{\widetilde{A}^s}(u) / u \in W\right),\right\}$ where $\mu_{\widetilde{A}^s}(u): u \rightarrow[0,1]$, $v_{\widetilde{A}^s}(u): u \rightarrow[0,1]$ $\pi_{\tilde{A}^s}(u): u \rightarrow[0,1]$ $\forall u \in U$ then $\chi=1-\left(\mu_{\tilde{P} ^{f s}}(w)+v_{\tilde{P} ^{f s}}(w)+\pi_{\tilde{A}^s}(u)\right)$ could be called the degree of refusal membership of u in U.

2.3 Spherical fuzzy set [22]

Let W be the universe of discourse then a Sfs $\tilde{X}_{S f s}$ can be defined with the aid of ordered triplets given as follows: $\tilde{X}_{S f s}=\left\{\left\langle w, t_{\tilde{X}_s}(w), i_{\tilde{X}_s}(w), f_{\tilde{X}_s}(w) \mid w \in W\right\rangle\right\}$. Such that $t_{\tilde{X}_S}: W \rightarrow[0,1]$, $i_{\tilde{X}_S}: W \rightarrow[0,1]$, $f_{\tilde{X}_S}: W \rightarrow[0,1]$ and $0 \leq t_{\tilde{X}_S}^2+i_{\tilde{X}_S}^2+f_{\tilde{X}_S}^2 \leq 1 \forall w \in W$, where $t_{\tilde{X}_S}$, $i_{\tilde{X}_S}$, $f_{\tilde{X}_S}$ be positive, neutral and negative membership degree for each element $W \rightarrow[0,1]$ to $\tilde{X}_{S f s}$ respectively.

2.4 Spherical fuzzy number [22]

Let $\tilde{X}_{S f s}=\left\{\left\langle w, t_{\tilde{X}_S}(w), i_{\tilde{X}_S}(w), f_{\tilde{X}_S}(w) \mid w \in W\right\rangle\right\}$ be the triple component $\left\langle w, t_{\tilde{X}_s}(w), i_{\tilde{X}_s}(w), f_{\tilde{X}_s}(w) \mid w \in W\right\rangle$ are known as a spherical fuzzy number (SFN) and SFN can be denoted by $a_r=\left\langle t_a, i_a, f_a\right\rangle$ where $t_a, i_a$ and $f_a \in[0,1]$, as well as with the restrictions $0 \leq t_a^2+i_a^2+f_a^2 \leq 1$.

The representation of graphical structure is in Figure 1 and the hierarchical order is shown in Figure 2.

Figure 1. Representation of spherical fuzzy number

Figure 2. Hierarchical structure for spherical fuzzy set

2.5 Union

Let $\tilde{X}_{S f s}$ and $\tilde{Y}_{S f s}$ be two Sfs then their union can be defined as follows:

$\tilde{X}_{S f s} U \tilde{Y}_{S f s}=\left\{\max \left\{t_{\tilde{X}_s}, t_{\tilde{Y}_S}\right\}, \min \left\{f_{\tilde{X}_s}, f_{\tilde{Y}_S}\right\}, \min \left\{\left(1-\left(\max \left\{t_{\tilde{X}_S}, t_{\tilde{Y}_S}\right\}\right)^2+\left(\min \left\{f_{\tilde{X}_S}, f_{\tilde{Y}_S}\right\}\right)^2\right)^{\frac{1}{2}}, \max \left\{i_{\tilde{X}_s}, i_{\tilde{Y}_S}\right\}\right\}\right\}$

2.6 Arithmetic operation

Let $a_r=\left\langle t_{a_r}, i_{a_r}, f_{a_r}\right\rangle$ and $a_s=\left\langle t_{a_s}, i_{a_s}, f_{a_s}\right\rangle$ be any two SFNs and λ≥0, then some fundamental operations can be defined as heeds:

$a_r \oplus a_s=\left\langle\sqrt{t_{a_r}^2+t_{a_s}^2-t_{a_r}^2 t_{a_s}^2}, i_{a_r}, i_{a_s}, f_{a_r} . f_{a_s}\right\rangle$

$a_r \otimes a_s=\left\langle t_{a_r} . t_{a_s}, i_{a_r} . i_{a_s}, \sqrt{f_{a_r}^2+f_{a_s}^2-f_{a_r}^2 f_{a_s}^2}\right\rangle$

$\lambda a_r=\left\langle\sqrt{1-\left(1-t_{a_r}^2\right)^\lambda},\left(i_{a_r}^2\right)^\lambda,\left(f_{a_r}^2\right)^\lambda\right\rangle$

2.7 γ-Cut

Let $\tilde{A}^{s f n}$ be the spherical fuzzy number is defined as $\tilde{A}^{s f n}=\left(\tilde{t}_j^{s f n}, \tilde{l}_j^{s f n}, \tilde{f}_j^{s f n}\right)$, then γ-level interval or γ-cut are given by $\gamma^{\tilde{A}^{s f n}}$, $\gamma \tilde{A}^{s f n}=\left[\tilde{t}_j^{s f n}+\gamma\left(\tilde{l}_j^{s f n}-\tilde{t}_j^{s f n}\right), \tilde{f}_j^{s f n}-\gamma\left(\tilde{f}_j^{s f n}-\tilde{l}_j^{s f n}\right)\right]$, j=1,2,3, $\gamma \in[0,1]$.

3. Theorems

3.1 Theorem

If $\tilde{A}^{s f n}$ and $\tilde{B}^{s f n}$ are two spherical fuzzy numbers are defined as $\tilde{A}^{s f n}=\left(\tilde{t}_j^{s f n}, \tilde{l}_j^{s f n}, \tilde{f}_j^{s f n}\right)$ and $\tilde{B}^{s f n}=$ $\left(\tilde{u}_j^{s f n}, \tilde{v}_j^{s f n}, \widetilde{w}_j^{s f n}\right), j=1,2,3$ then $\tilde{C}^{s f n}=\tilde{A}^{s f n} \oplus \tilde{B}^{s f n}$ are also spherical fuzzy numbers $\tilde{C}^{s f n}=\left(\tilde{t}_j^{s f n}+\tilde{u}_j^{s f n} \tilde{l}_j^{s f n}+\right.$ $\left.\tilde{v}_j^{s f n}, \tilde{f}_j^{s f n}+\widetilde{w}_j^{s f n}\right), j=1,2,3$.

Proof By transition l=m+n

The $\gamma$-Cut of $\tilde{A}^{s f n}$ is defined as $\gamma \tilde{A}^{s f n}=\left[\tilde{t}_j^{s f n}+\gamma\left(\tilde{l}_j^{s f n}-\right.\right.$ $\left.\left.\tilde{f}_j^{s f n}\right), \tilde{f}_j^{s f n}-\gamma\left(\tilde{l}_j^{s f n}-\tilde{t}_j^{s f n}\right)\right], j=1,2,3 \quad \forall, \gamma \in[0,1]$, i.e., $m \in\left[\tilde{t}_j^{s f n}+\gamma\left(\tilde{l}_j^{s f n}-\tilde{t}_j^{s f n}\right), \tilde{f}_j^{s f n}-\gamma\left(\tilde{f}_j^{s f n}-\tilde{l}_j^{s f n}\right)\right], j=$ 1,2,3.

The $\gamma$-Cut of $\tilde{B}^{s f n}$ is defined as $\gamma \tilde{B}^{s f n}=\left[\tilde{u}_j^{s f n}+\gamma\left(\tilde{v}_j^{s f n}-\right.\right.$ $\left.\left.\tilde{u}_j^{s f n}\right), \widetilde{w}_j^{s f n}-\gamma\left(\widetilde{w}_j^{s f n}-\tilde{v}_j^{s f n}\right)\right], j=1,2,3 \forall, \gamma \in[0,1]$, i.e., $n \in\left[\tilde{u}_j^{s f n}+\gamma\left(\tilde{v}_j^{s f n}-\tilde{u}_j^{s f n}\right), \widetilde{w}_j^{s f n}-\gamma\left(\widetilde{w}_j^{s f n}-\tilde{v}_j^{s f n}\right)\right], j=$ $1,2,3$.

Thus, $l(=m+n) \in\left[\begin{array}{l}\tilde{t}_j^{s f n}+\tilde{u}_j^{s f n}+\gamma\left(\left(\tilde{l}_j^{s f n}-\tilde{t}_j^{s f n}\right)+\left(\tilde{v}_j^{s f n}-\tilde{u}_j^{s f n}\right)\right) \\ \tilde{f}_j^{s f n}+\widetilde{w}_j^{s f n}-\gamma\left(\left(\tilde{f}_j^{s f n}-\tilde{l}_j^{s f n}\right)+\right)\left(\widetilde{w}_j^{s n}-\tilde{v}_j^{s f n}\right)\end{array}\right], j=1,2,3 \quad \gamma \in[0,1]$.

4. Spherical Linear Programming Problem

The LPP is a common and widely utilized mathematical programming problem (LPP).

Many researchers have carefully examined the various extensions of the LPP, including fuzzy LPP, IFLPP, and NLPP. The LPP is being expanded further by the introduction of a spherical fuzzy idea known as the SFLPP. The fully SFLPP model, in which the co-efficient of the objective function and the constraints is indicated by the spherical fuzzy number, may be expressed as follows:

Optimize $\tilde{Z}=\sum_{i=1}^n \tilde{c}_{i_{\bar{\gamma}}}^{s f n} x_i$             (1)

Subject to constraints,

$\sum_{j=1}^n \tilde{a}_{i j_{\bar{\gamma}}}^{s f n} x_j \leq,=, \geq \tilde{b}_{i_{\bar{\gamma}}}^{s f n}, i=1,2, \ldots, m \tilde{a}_{i j_{\bar{\gamma}}}^{s fn}$ and $\widetilde{b}_{i_{\bar{\gamma}}}^{s f n}$ $x_j \geq 0$.

where, $\tilde{\mathcal{C}}_{i_{\bar{Y}}}^{s f n}$, $\tilde{a}_{i j_{\bar{\gamma}}}^{s f n}$ and $\widetilde{b}_{i_{\bar{\gamma}}}^{s f n}$ are spherical fuzzy number. Let spherical fuzzy number $\tilde{a}^{s f n}=\left\langle\tilde{t}^{s f n}, \tilde{l}^{s f n}, \tilde{f}^{s f n}\right\rangle$ such that $\tilde{t}^{s f n}, \tilde{l}^{s f n}, \tilde{f}^{s f n} \in[0,1]$.

The following is the description of the positive membership function for spherical fuzzy numbers $\left(\tilde{a}^{s f n}\right)$:

$\tilde{t}_{\tilde{a}^{s f n}}(x)=\left\{\begin{array}{l}\frac{x-\tilde{t}_1{ }^{s f n}}{\tilde{t}_2{ }^{s f n}-\tilde{t}_1{ }^{s f n}}, \tilde{t}_1{ }^{s f n} \leq x \leq \tilde{t}_2{ }^{s f n} \\ \frac{\tilde{t}_2{ }^{s f n}-x}{\tilde{t}_3{ }^{s f n}-\tilde{t}_2{ }^{s f n}}, \tilde{t}_2{ }^{s f n} \leq x \leq \tilde{t}_3{ }^{s f n} \\ 0, \text { otherwise }\end{array}\right.$          (2)

The following is the description of the neutral membership function for spherical fuzzy numbers:

$\tilde{l}_{\tilde{a}^{s f n}}(x)=\left\{\begin{array}{l}\frac{x-\tilde{l}_1{ }^{s f n}}{\tilde{l}_2{ }^{s f n}-\tilde{l}_1^{s f n}}, \tilde{l}_1^{s f n} \leq x \leq \tilde{l}_2^{s f n} \\ \frac{\tilde{l}_2{ }^{s f n}-x}{\tilde{l}^{s f n}-\tilde{l}_2 ^{s f n}}, \tilde{l}_2{ }^{s f n} \leq x \leq \tilde{l}_3{ }^{s f n} \\ 0, \text { otherwise }\end{array}\right.$                      (3)

The following is the description of the negative membership function for spherical fuzzy numbers:

$\tilde{f}_{\tilde{a}^{s f n}}(x)=\left\{\begin{array}{l}\frac{x-\tilde{f}_1^{s f n}}{\tilde{f}_2^{s f n}-\tilde{f}_1^{s f n}}, \tilde{f}_1^{s f n} \leq x \leq \tilde{f}_2^{s f n} \\ \frac{\tilde{f}_2^{s f n}-x}{\tilde{f}^{s f n}-\tilde{f}_2^{s f n}}, \tilde{f}_2^{s f n} \leq x \leq \tilde{f}_3^{sfn} \\ 0, \text { otherwise }\end{array}\right.$            (4)

5. Spherical Optimization

SF optimization methods were used to solve the spherical fuzzy linear programming model. As a result, the SF optimization model is as follows:

$\operatorname{Max} \widetilde{T}^{s f n}(\widetilde{N}(x)), \operatorname{Min} \tilde{I}^{s f n}(\widetilde{N}(x)), \operatorname{Min} \widetilde{F}^{s f n}(\widetilde{N}(x))$          (5)

Subject to constraints,

$\tilde{T}^{s f n}(\widetilde{N}(x)) \geq \tilde{I}^{s f n}(\widetilde{N}(x)) \geq \tilde{F}^{s f n}(\widetilde{N}(x))$

$0 \leq \tilde{T}^{s f n}(\widetilde{N}(x))^2+\tilde{I}^{s f n}(\widetilde{N}(x))^2+\tilde{F}^{s f n}(\widetilde{N}(x))^2 \leq 1$

$\tilde{T}^{s f n}(\widetilde{N}(x)), \tilde{I}^{s f n}(\widetilde{N}(x)), \tilde{F}^{s f n}(\widetilde{N}(x)) \geq 0, x \geq 0$

$\tilde{T}^{s f n}(\widetilde{N}(x)), \tilde{I}^{s f n}(\widetilde{N}(x))$ and $\tilde{F}^{s f n}(\widetilde{N}(x))$

denote the positive, neutral, and negative membership degrees of the spherical fuzzy objective function and constraints, respectively.

The following optimisation model may be used to solve the above-mentioned problem:

$\operatorname{Max} \varpi, \operatorname{Min} \theta, \operatorname{Min} \vartheta$

Subject to constraints,

$\begin{gathered}\tilde{T}^{s f n}(\widetilde{N}(x)) \geq \varpi, \tilde{I}^{s f n}(\widetilde{N}(x)) \leq \theta, \tilde{F}^{s f n}(\widetilde{N}(x)) \leq \vartheta \\ \varpi \geq \theta, \theta \geq \vartheta \\ 0 \leq \varpi^2+\theta^2+\vartheta^2 \leq 1 \\ x \geq 0\end{gathered}$          (6)

where, $\varpi, \theta$ and $\vartheta$ and denote the minimum level of acceptance for positive membership, the maximum level of acceptance for neutral membership, the maximum level of acceptability for negative membership, in that order.

Similarly, SF optimisation model may be represented as follows:

$\operatorname{Max}(\varpi-\theta-\vartheta)$

Subject to constraints,

$\begin{gathered}\widetilde{T}^{s f n}(\widetilde{N}(x)) \geq \varpi, \tilde{I}^{s f n}(\widetilde{N}(x)) \leq \theta, \tilde{F}^{s f n}(\widetilde{N}(x)) \leq \vartheta \\ \varpi \geq \theta, \theta \geq \vartheta \\ \varpi, \theta, \vartheta \geq 0 \\ 0 \leq \varpi^2+\theta^2+\vartheta^2 \leq 1 \\ x \geq 0\end{gathered}$             (7)

The earlier documented SF optimisation approach may solve the SFLPP with various spherical fuzzy parameters and addresses the more substantial aspects of parameter uncertainty.

6. BWC Method

The interval linear programming problem defined as:

$\operatorname{Max}\text{Z}=\sum\limits_{j=1}^{n}{\left[ {{{\overset{\scriptscriptstyle\frown}{\bar{c}}}}_{j}},{{{\underset{\scriptscriptstyle\smile}{\underset{\scriptscriptstyle-}{c}}}}_{j}} \right]},{{x}_{j}}$

Subject to constraints,

$\sum_{j=1}^n\left[{\overset{\scriptscriptstyle\frown}{\bar{a}}}_j, {\underset{\scriptscriptstyle\smile}{\underset{\scriptscriptstyle-}{a}}}_j\right] x_j \leq,=, \geq\left[{\overset{\scriptscriptstyle\frown}{\bar{b}}}_j, {\underset{\scriptscriptstyle\smile}{\underset{\scriptscriptstyle-}{b}}}_j\right], i=1,2, \ldots, m$

$x_j \geq 0, j=1,2, \ldots, n$                  (8)

The following problems yield the best and worst instances for the interval linear programming problem.

Best case method:

$\operatorname{Max} \mathrm{Z}=\sum_{j=1}^n\left[{\underset{\scriptscriptstyle\smile}{\underset{\scriptscriptstyle-}{c}}}_j\right] x_j$

Subject to constraints,

$\begin{gathered}\sum_{j=1}^n\left[{\overset{\scriptscriptstyle\frown}{\bar{a}}}_j\right] x_j \leq,=, \geq\left[{\underset{\scriptscriptstyle\smile}{\underset{\scriptscriptstyle-}{b}}}_j\right], i=1,2, \ldots, m \\ x_j \geq 0, j=1,2, \ldots, n\end{gathered}$          (9)

Worst case method,

$\operatorname{Max} \mathrm{Z}=\sum_{j=1}^n\left[{\overset{\scriptscriptstyle\frown}{\bar{c}}}_j\right] x_j$

Subject to constraints,

$\begin{gathered}\sum_{j=1}^n\left[{\underset{\scriptscriptstyle\smile}{\underset{\scriptscriptstyle-}{a}}}_{j_j}\right] x_j \leq,=, \geq\left[{\overset{\scriptscriptstyle\frown}{\bar{b}}}_j\right], i=1,2, \ldots, m \\ x_j \geq 0, j=1,2, \ldots, n\end{gathered}$             (10)

7. Proposed Strategy

Step 1

Formulate the problem as model (1).

Step 2

Using the γ-cut approach, convert the spherical fuzzy LPP into an interval programming problem.

Optimize $\tilde{Z}=\sum_{i=1}^n \tilde{c}_{i_{\bar{\gamma}}}^{s f n} x_i$.

Subject to constraints,

$\begin{gathered}\sum_{j=1}^n \tilde{a}_{i j_{\bar{\gamma}}}^{s n} x_j \leq,=, \geq \tilde{b}_{i_{\bar{\gamma}}}^{s f n}, i=1,2, \ldots, n \\ x_j \geq 0\end{gathered}$            (11)

Step 3

Utilize the instructions of γ-cut for various γ-[0,1]. The values for the task at hand are γ=0,0.25, 0.50, 0.75, 1, Crisp interval linear programming is used to solve the problem.

Max Z=$\sum_{j=1}^n\left[{\overset{\scriptscriptstyle\frown}{\bar{c}}}_j, {\underset{\scriptscriptstyle\smile}{\underset{\scriptscriptstyle-}{c}}}_j\right], x_j$.

Subject to constraints,

$\begin{gathered}\sum_{j=1}^n\left[{\overset{\scriptscriptstyle\frown}{\bar{a}}}_j, {\underset{\scriptscriptstyle\smile}{\underset{\scriptscriptstyle-}{a}}}_j\right] x_j \leq,=, \geq\left[{\overset{\scriptscriptstyle\frown}{\bar{b}}}_j, {\underset{\scriptscriptstyle\smile}{\underset{\scriptscriptstyle-}{b}}}_j\right], i=1,2, \ldots, m \\ x_j \geq 0, j=1,2, \ldots, n\end{gathered}$           (12)

Step 4

Elicit the interval programming issue into crisp LPP by using the BWC approach.

Best case method:

$\operatorname{Max} \mathrm{Z}=\sum_{j=1}^n\left[{\underset{\scriptscriptstyle\smile}{\underset{\scriptscriptstyle-}{c}}}_j\right] x_j$

Subject to constraints,

$\begin{gathered}\sum_{j=1}^n\left[{\overset{\scriptscriptstyle\frown}{\bar{a}}}_j\right] x_j \leq,=, \geq\left[{\underset{\scriptscriptstyle\smile}{\underset{\scriptscriptstyle-}{b}}}_j\right], i=1,2, \ldots, m \\ x_j \geq 0, j=1,2, \ldots, n\end{gathered}$          (13)

Worst case method:

$\operatorname{Max} \mathrm{Z}=\sum_{j=1}^n\left[{\overset{\scriptscriptstyle\frown}{\bar{c}}}_j\right] x_j$

Subject to constraints,

$\begin{gathered}\sum_{j=1}^n\left[{\underset{\scriptscriptstyle\smile}{\underset{\scriptscriptstyle-}{a}}}_{j_j}\right] x_j \leq,=, \geq\left[{\overset{\scriptscriptstyle\frown}{\bar{b}}}_j\right], i=1,2, \ldots, m \\ x_j \geq 0, j=1,2, \ldots, n\end{gathered}$          (14)

Figure 3. The proposed method's framework in graphical representation

Step 5

Solve the LPP with LINGO 20.0 software or an appropriate optimizing programme to obtain the appropriate optimum solutions based on the decision makers' preference as shown in Figure 3.

8. Numerical Examples

Here the numerical examples were illustrated using proposed method. As a result, the proposed strategy can be applied to actual-life issues such as purchasing and production planning problems.

Example 1 [30]

Step 1

Constructing the problem as (1):

MaximizeZ $=\tilde{c}_1^{s f n} x_1+\tilde{c}_2^{s f n} x_2+\tilde{c}_3^{s f n} x_3$

Subject to constraints,

$\begin{gathered}\tilde{a}_{11}^{s f n} x_1+\tilde{a}_{12}^{s f n} x_2+\tilde{a}_{13}^{s f n} x_3 \leq \tilde{b}_1^{s f n} \tilde{a}_{21}^{s f n} x_1+\tilde{a}_{22}^{s f n} x_2+\tilde{a}_{23}^{s f n} x_3 \leq \\ \tilde{b}_2^{s f n} \tilde{a}_{31}^{s f n} x_1+\tilde{a}_{32}^{s f n} x_2+\tilde{a}_{33}^{s f n} x_3 \leq \tilde{b}_3^{s f n} x_1, x_2, x_3 \geq 0\end{gathered}$

The spherical fuzzy numbers are:

$\begin{gathered}\tilde{c}_1^{s f n}=(0.7,0.7,0.2), \tilde{c}_2^{s f n}=(0.9,0.4,0.2)+\tilde{c}_3^{s f n}=(0.7,0.2,0.4) \\ \tilde{a}_{11}^{s f n}=(0.6,0.3,0.1), \tilde{a}_{12}^{s f n}=(0.6,0.4,0.4), \tilde{a}_{13}^{s f n}=(0.2,0.3,0.5) \\ \tilde{a}_{21}^{s f n}=(0.3,0.9,0.2), \tilde{a}_{22}^{s f n}=(0.7,0.5,0.3), \tilde{a}_{23}^{s f n}=(0.6,0.3,0.5) \\ \tilde{a}_{31}^{s f n}=(0.8,0.5,0.7), \tilde{a}_{32}^{s f n}=(0.8,0.5,0.4), \tilde{a}_{33}^{s f n} x_3=(0.7,0.4,0.5) \\ \tilde{b}_1^{s f n}=(0.8,0.3,0.3), \tilde{b}_2^{s f n}=(0.680 .4,0.3), \widetilde{b}_3^{s f n}=(0.7,0.6,0.3)\end{gathered}$

Step 2

Using the definition of γ-cut the problem is converted into (12),

Max Z=[0.2, 0.2+0.5γ]x1+[0.9-0.5γ, 0.2+0.2γ]x2+[-0.5γ+0.7, 0.4-0.2γ]x3

Subject to constraints,

[0.6-0.3γ, 0.1+0.2γ]x1+[-0.2γ+0.6, 0.4]x2+[0.1γ+0.2, 0.5-0.2γ]x3 ≤[-0.5γ+0.8, 0.3+0.1γ]

[0.6γ+0.3, 0.2+0.7γ]x1+[-0.2γ+0.7, 0.2γ+0.3]x2+[-0.3γ+0.6, 0.5-0.2γ]x3 ≤[-0.2γ+0.6, 0.3+0.1γ]

[-0.6γ+0.8, 0.7-0.5γ]x1+[-0.2γ+0.7, 0.2γ+0.3]x2+[-0.3γ+0.7, 0.5-0.1γ]x3 ≥[-0.1γ+0.7, 0.3+0.3γ]

x1,x2,x3≥0.

Step 3

For γ=0, 0.25, 0.50, 0.75, 1. The following problem is converted into five interval programming for the values mentioned here.

Step 4

By using step 4 of proposed strategy. The interval programming problems are converted into crisp LPP, solving by the Best-Worst case method.

Step 5

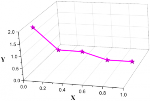
The crisp LPP are solved through LINGO 20.0, the optimal solution is represented in Table 1 and Figure 4.

Table 1. Optimal solution for example 1

γ

0

0.25

0.50

0.75

1

Optimal solution

1.72

0.82388

0.8125

0.525

0.525

Example 2 [30]

Step 1

Constructing the problem as (1),

MaximizeZ $=\tilde{c}_1^{s f n} x_1+\tilde{c}_2^{s f n} x_2+\tilde{c}_3^{s f n} x_3$

Subject to constraints,

$\begin{gathered}\tilde{a}_{11}^{s f n} x_1+\tilde{a}_{12}^{s f n} x_2+\tilde{a}_{13}^{s f n} x_3 \leq \tilde{b}_1^{s f n} \\ \tilde{a}_{21}^{s f n} x_1+\tilde{a}_{22}^{s f n} x_2+\tilde{a}_{23}^{s f n} x_3 \leq \tilde{b}_2^{s f n} \\ \tilde{a}_{31}^{s f n} x_1+\tilde{a}_{32}^{s f n} x_2+\tilde{a}_{33}^{s f n} x_3 \leq \tilde{b}_3^{s f n} \\ x_1, x_2, x_3 \geq 0\end{gathered}$

The spherical fuzzy numbers are,

$\begin{gathered}\tilde{c}_1^{s f n}=(0.71,0.76,0.42), \tilde{c}_2^{s f n}=(0.92,0.94,0.82), \\ \tilde{c}_3^{s f n}=(0.47,0.42,0.64) \tilde{a}_{11}^{s f n}=(0.76,0.38,0.41), \\ \tilde{a}_{12}^{s f n}=(0.68,0.45,0.49), \tilde{a}_{13}^{s f n}=(0.62,0.73,0.85) \\ \tilde{a}_{21}^{s f n}=(0.38,0.99,0.82), \tilde{a}_{22}^{s f n}=(0.78,0.8,0.73), \\ \tilde{a}_{23}^{s f n}=(0.6,0.39,0.58) \tilde{a}_{31}^{s f n}=(0.88,0.72,0.77), \\ \tilde{a}_{32}^{s f n}=(0.58,0.65,0.74), \tilde{a}_{33}^{s f n}=(0.6,0.39,0.58), \\ \tilde{b}_1^{s f n}=(0.85,0.36,0.37), \tilde{b}_2^{s f n}=(0.68,0.46,0.39), \\ \tilde{b}_3^{s f n}=(0.79,0.64,0.34)\end{gathered}$

Step 2

Using the definition of γ- cut the problem is converted into (12),

Max Z=[0.05γ+0.71, 0.42+0.34γ]x1+[0.02γ+0.92, 0.82+0.12γ]x2+[-0.5γ+0.47, 0.64 0.22γ]x3

Subject to constraints,

[-0.38γ+0.76, 0.41+0.03γ]x1+[0.23γ+0.68, 0.49+0.22γ]x2

+[0.11γ+0.62, 0.85-0.12γ]x3≤[-0.49γ+0.85, 0.3+0.1γ]

[0.61γ+0.38, 0.82+0.17γ]x1+[0.02γ+0.78, 0.07γ+0.73]x2+

[-0.21γ+0.6, 0.58-0.19γ]x3≤[-0.22γ+0.68, 0.39+0.07γ]

[-0.16γ+0.88, 0.77-0.05γ]x1+[0.07γ+0.55, -0.09γ+0.74]x2+

[-0.4γ+0.87, 0.85+0.8γ]x3 ≥[-0.15γ+0.79, 0.34+0.3γ]

x1,x2,x3 ≥0.

Step 3

For γ=0, 0.25, 0.50, 0.75, 1. The following problem is converted into five interval programming for the values mentioned here.

Step 4

By using step 4 of proposed strategy. The interval programming problems are converted into crisp LPP, solving by the Best-Worst case method.

Step 5

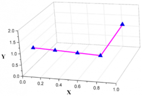
The crisp LPP are solved through LINGO 20.0, the optimal solution is represented in Table 2 and Figure 5.

Table 2. Optimal solution for example 2

γ

0

0.25

0.50

0.75

1

Optimal solution

0.756722

0.703374

0.646155

0.5875

Infeasible

Figure 4. Delineative representation of optimal solutions of example 1

Figure 5. Delineative representation of optimal solutions of example 2

9. Conclusions

Decision Making entails arranging, guiding, and preparing the information in order to get the intended results. Numerous strategies and techniques have been developed to address the issue of decision-making. The spherical fuzzy set and the operating principles for spherical fuzzy numbers are introduced in this study. The SFLP issue with spherical fuzzy numbers enigmatic of kind Ambiguity is studied in this work, with all coefficients being spherical fuzzy numbers. In addition, to solve the SFLP issue using spherical fuzzy numbers, γ-cut of the spherical fuzzy numbers is employed. As a result, using the γ-cut, each spherical fuzzy numbers in the problem is ascribed to an interval, and the SFLP problem with spherical fuzzy numbers becomes the ILP problem, with all coefficients being intervals. The optimal value and optimal solution are then obtained using the BWC approach. An easy and effective method for solving the SFLP issue using spherical fuzzy numbers was described. This approach is generalized to the SFLP issue using spherical fuzzy numbers. Furthermore, the ILP problem solving approaches with the BWC method, the suggested strategy in this work to answer the SFLP problem, can be analyzed with spherical fuzzy numbers obscure of type Uncertainty, Imprecise information, and even both. These might be viewed as some new study suggestions for scholars and aficionados of this field. Finally, the decision maker may obtain the crisp ideal of the problem for each grade $\gamma \in[0,1]$ by employing the Tong-Shaocheng approach in BWC, where the value is chosen based on the decision maker's optimist attitude. Additionally, suggested strategies are applied to a decision-making LPP issue to obtain an optimal solution that examines the preferences of decision makers. Considering the suggested strategy is for completely spherical LPP, it has to be developed for primarily the objective function or solely for constraints in spherical parameters. The suggested approach had limitations in that it required improvement to provide a feasible optimal solution since the few cuts left the optimal solution as unfeasible. Future versions of this concept could incorporate other fuzzy number extensions. In future We recommend that γ-cut be created for new spherical fuzzy numbers, such as triangular, Gaussian, LR and trapezoidal SF numbers, for future study. These numbers require for the definition of new arithmetic operations, de-fuzzification techniques, and conglomeration operators. Later, they will allow these new varieties of fuzzy numbers to be added to the classic LPP and multi-objective LPP approaches. Utilizing the suggested strategy, find the ideal answer in accordance with the decision maker’s preferences.

Nomenclature

Sfs

Spherical fuzzy set

SFN

Spherical Fuzzy Number

LPP

Linear Programming Problem

SFLPP

Spherical Fuzzy Linear Programming Problem

SfDw

Spherical fuzzy Dombi weighted

Sfd

Spherical fuzzy distance

SF

Spherical Fuzzy

LPP

Linear Programming Problem

BWC

Best Worst Cases

  References

[1] Ahmad, F., Adhami, A.Y. (2021). Spherical fuzzy linear programming problem. Decision Making with Spherical Fuzzy Sets: Theory and Applications, 455-472. https://doi.org/10.1007/978-3-030-45461-6_19

[2] Ashraf, S., Abdullah, S. (2019). Spherical aggregation operators and their application in multiattribute group decision‐making. International Journal of Intelligent Systems, 34(3): 493-523. https://doi.org/10.1002/int.22062

[3] Ashraf, S., Abdullah, S., Aslam, M., Qiyas, M., Kutbi, M.A. (2019). Spherical fuzzy sets and its representation of spherical fuzzy t-norms and t-conorms. Journal of Intelligent & Fuzzy Systems, 36(6): 6089-6102. https://doi.org/10.3233/JIFS-181941

[4] Ashraf, S., Abdullah, S., Mahmood, T. (2020). Spherical fuzzy Dombi aggregation operators and their application in group decision making problems. Journal of Ambient Intelligence and Humanized Computing, 11: 2731-2749. https://doi.org/10.1007/s12652-019-01333-y

[5] Boltürk, E. (2020). AS/RS technology selection using spherical fuzzy TOPSIS and neutrosophic TOPSIS. In International Conference on Intelligent and Fuzzy Systems, 1029: 969-976. https://doi.org/10.1007/978-3-030-23756-1_115

[6] Cuong, B.C. (2014). Picture fuzzy sets. Journal of Computer Science and Cybernetics, 30(4): 409-420. https://doi.org/10.15625/1813-9663/30/4/5032

[7] Cuong, B.C., Kreinovich, V. (2013). Picture fuzzy sets-a new concept for computational intelligence problems. In 2013 Third World Congress on Information and Communication Technologies, IEEE, 1-6. https://doi.org/10.1109/WICT.2013.7113099

[8] Garg, H., Munir, M., Ullah, K., Mahmood, T., Jan, N. (2018). Algorithm for T-spherical fuzzy multi-attribute decision making based on improved interactive aggregation operators. Symmetry, 10(12): 670. https://doi.org/10.3390/sym10120670

[9] Guleria, A., Bajaj, R.K. (2019). T-Spherical fuzzy graphs: operations and applications in various selection processes. Arabian Journal for Science and Engineering, 45: 2177-2193. https://doi.org/10.1007/s13369-019-04107-y

[10] Gündoğdu, F.K. (2020). A spherical fuzzy extension of MULTIMOORA method. Journal of Intelligent & Fuzzy Systems, 38(1): 963-978. https://doi.org//10.3233/JIFS-179462

[11] Gündoğdu, F.K. (2020). Principals of spherical fuzzy sets. In Intelligent and Fuzzy Techniques in Big Data Analytics and Decision Making, Springer International Publishing, 15-23. https://doi.org/10.1007/978-3-030-23756-1_4

[12] Gündoğdu, F.K., Kahraman, C. (2019). A novel fuzzy TOPSIS method using emerging interval-valued spherical fuzzy sets. Engineering Applications of Artificial Intelligence, 85: 307-323. https://doi.org/10.1016/j.engappai.2019.06.003

[13] Gündoğdu, F.K., Kahraman, C. (2020). Spherical fuzzy analytic hierarchy process (AHP) and its application to industrial robot selection. In Intelligent and Fuzzy Techniques in Big Data Analytics and Decision Making, Springer International Publishing, 988-996. https://doi.org/10.1007/978-3-030-23756-1_117

[14] Gündoğdu, F.K., Kahraman, C. (2019). Extension of CODAS with spherical fuzzy sets. Journal of Multiple-Valued Logic & Soft Computing, 33: 481-505.

[15] Gündoğdu, F.K., Kahraman, C. (2019). From 1D to 3D membership: Spherical fuzzy sets. BOS/SOR2018 Conference.

[16] Gündoğdu, F.K., Kahraman, C. (2020). A novel spherical fuzzy analytic hierarchy process and its renewable energy application. Soft Computing, 24: 4607-4621. https://doi.org/10.1007/s00500-019-04222-w

[17] Gündoğdu, F.K., Kahraman, C. (2019). Extension of WASPAS with spherical fuzzy sets. Informatica, 30(2): 269-292. https://doi.org/10.15388/Informatica.2019.206

[18] Gündoğdu, F.K., Kahraman, C. (2019). Spherical fuzzy sets and spherical fuzzy TOPSIS method. Journal of Intelligent & Fuzzy Systems, 36(1): 337-352. https://doi.org/10.3233/JIFS-181401

[19] Gündoğdu, F.K., Kahraman, C. (2020). A novel spherical fuzzy QFD method and its application to the linear delta robot technology development. Engineering Applications of Artificial Intelligence, 87: 103348. https://doi.org/10.1016/j.engappai.2019.103348

[20] Jin, H.H., Ashraf, S., Abdullah, S., Qiyas, M., Bano, M., Zeng, S.Z. (2019). Linguistic spherical fuzzy aggregation operators and their applications in multi-attribute decision making problems. Mathematics, 7(5): 413. https://doi.org/10.3390/math7050413

[21] Jin, Y., Ashraf, S., Abdullah, S. (2019). Spherical fuzzy logarithmic aggregation operators based on entropy and their application in decision support systems. Entropy, 21(7): 628. https://doi.org/10.3390/e21070628

[22] Liu, P.D., Khan, Q., Mahmood, T., Hassan, N. (2019). T-spherical fuzzy power muirhead mean operator based on novel operational laws and their application in multi-attribute group decision making. IEEE Access, 7: 22613-22632. https://doi.org/10.1109/ACCESS.2019.2896107

[23] Liu, P.D., Zhu, B.Y., Wang, P., Shen, M.J. (2020). An approach based on linguistic spherical fuzzy sets for public evaluation of shared bicycles in China. Engineering Applications of Artificial Intelligence, 87: 103295. https://doi.org/10.1016/j.engappai.2019.103295

[24] Mahmood, T., Ullah, K., Khan, Q., Jan, N. (2019). An approach toward decision-making and medical diagnosis problems using the concept of spherical fuzzy sets. Neural Computing and Applications, 31: 7041-7053. https://doi.org/10.1007/s00521-018-3521-2

[25] Quek, S.G., Selvachandran, G., Munir, M., Mahmood, T., Ullah, K., Son, L.H., Thong, P.H., Kumar, R., Priyadarshini, I. (2019). Multi-attribute multi-perception decision-making based on generalized T-spherical fuzzy weighted aggregation operators on neutrosophic sets. Mathematics, 7(9): 780. https://doi.org/10.3390/math7090780

[26] Rafiq, M., Ashraf, S., Abdullah, S., Mahmood, T., Muhammad, S. (2019). The cosine similarity measures of spherical fuzzy sets and their applications in decision making. Journal of Intelligent & Fuzzy Systems, 36(6): 6059-6073. https://doi.org/10.3233/JIFS-181922

[27] Ullah, K., Garg, H., Mahmood, T., Jan, N., Ali, Z. (2020). Correlation coefficients for T-spherical fuzzy sets and their applications in clustering and multi-attribute decision making. Soft Computing, 24: 1647-1659. https://doi.org/10.1007/s00500-019-03993-6

[28] Ullah, K., Hassan, N., Mahmood, T., Jan, N., Hassan, M. (2019). Evaluation of investment policy based on multi-attribute decision-making using interval valued T-spherical fuzzy aggregation operators. Symmetry, 11(3): 357. https://doi.org/10.3390/sym11030357

[29] Ullah, K., Mahmood, T., Jan, N. (2018). Similarity measures for T-spherical fuzzy sets with applications in pattern recognition. Symmetry, 10(6): 193. https://doi.org/10.3390/sym10060193

[30] Zeng, S.Z., Hussain, A., Mahmood, T., Irfan Ali, M., Ashraf, S., Munir, M. (2019). Covering-based spherical fuzzy rough set model hybrid with TOPSIS for multi-attribute decision-making. Symmetry, 11(4): 547. https://doi.org/10.3390/sym11040547

[31] Zheng, Y.T., Gao, X.W., Liu, S., Man, Y.J., Yang, K. (2021). Multi-physics coupling analysis of rope-sealed structures with braided ceramic fibres by element differential method. International Journal of Computational Methods and Experimental Measurements, 9(2): 153-164. https://doi.org/10.2495/CMEM-V9-N2-153-164