Facile Synthesis of Perovskite-Type Sm1-xSrxMnO3 (0 ≤ x ≤ 0.8), a Non-Precious Metal Oxides and its Electrocatalytic Analysis Towards the Oxygen Evolution Reaction (OER)

Facile Synthesis of Perovskite-Type Sm1-xSrxMnO3 (0 ≤ x ≤ 0.8), a Non-Precious Metal​ Oxides and its Electrocatalytic Analysis Towards the Oxygen Evolution Reaction (OER)

Prakhar Mishra  Priya Sharma | Narendra Kumar Singh*

Department of Chemistry, Faculty of Science, University of Lucknow, Lucknow, India

Corresponding Author Email: 
nksbhu@yahoo.com; singh_narendra@lkouniv.ac.in
Page: 
277-283
|
DOI: 
https://doi.org/10.14447/jnmes.v26i4.a06
Received: 
15 March 2023
|
Revised: 
3 September 2023
|
Accepted: 
11 September 2023
|
Available online: 
15 November 2023
| Citation

© 2023 IIETA. This article is published by IIETA and is licensed under the CC BY 4.0 license (http://creativecommons.org/licenses/by/4.0/).

OPEN ACCESS

Abstract: 

$\mathrm{LaNiO}_3, \mathrm{La}_{1-\mathrm{x}} \mathrm{Sr}_{\mathrm{x}} \mathrm{CoO}_3, \mathrm{La}_{1-\mathrm{x}} \mathrm{Sr}_{\mathrm{x}} \mathrm{MnO}_3$ are a few examples of the perovskite-type oxides that hold great potential to be used as catalysts in numerous technologically significant processes such as the electrocatalysis of the oxygen evolution reaction [1-4], $\mathrm{CO}$ and hydrocarbons oxidation and the nitrogen oxides reduction [5]. Keeping this in mind, the present study brings up the synthesis of Strontium based Samarium Perovskite manganites (Sm1-xSrxMnO3 $(0 \leqslant x \leqslant 0.8)$) by a sol-gel low-temperature technique using malic acid. The physicochemical characterization of the synthesized electrocatalyst is done by using Scanning Electron Microscopy (SEM) and X-ray diffraction (XRD) technique. Furthermore, the electrocatalytic analysis towards water electrolysis were done by performing cyclic voltammetry between 0 and $0.7 \mathrm{~V} ~\&$ Tafel experiments. Apart from this the perovskites have been also analysed for their kinetic and thermodynamic parameters. electrocatalytically active with a current density of $126.6 \mathrm{~mA} / \mathrm{cm}^2$ at $800 \mathrm{mV}$ and a Tafel slope of $112 \mathrm{mV}$ decade$^{-1}$.

Keywords: 

perovskite oxide, sol-gel, SEM, XRD, water electrolysis, cyclic voltammetry, tafel, thermodynamic and kinetic study

1. Introduction

Fossil fuels are becoming harder to come by, and people are becoming more aware of the environmental and geopolitical issues that come with their use, which has spurred significant work on the generation of innovative energy storage and conversion systems using materials that are affordable, abundant, and environmentally safe. Higher power and more energy-efficient storage devices, such as lowtemperature fuel cells and rechargeable metal-air batteries that runs on electrocatalysis, have become the centre of attraction in the field of renewable energy. Both, the oxygen reduction $\left(\mathrm{O}_2+4 \mathrm{H}^{+}+4 \mathrm{e}^{-} \rightarrow 2 \mathrm{H}_2 \mathrm{O}\right.$; oxygen reduction reaction; $\left.\mathrm{ORR}\right)$ and the water electrolysis $\left(2 \mathrm{H}_2 \mathrm{O} \rightarrow \mathrm{O}_2+4 \mathrm{H}^{+}+4 \mathrm{e}^{-}\right.$; oxygen evolution reaction; OER) are the fundamental techniques for generating green energy, but because of their sluggish kinetics, they require an appropriate electrocatalyst. Another challenge is that the efficient electrocatalysts for water splitting are economically unfavoured and comprised of rare noble metals, so not only the cost friendly but also more lucrative approaches are required for the encountering the efficient electrocatalysts based on earth abundant elements only.

The previous reports [6] also describes a technique for differential design of metal oxide as a electrocatalysts for the OER. It came up with the catalysts which was non-noble metals-based perovskite structure and that have a much better efficiency than the states of-the-art catalysts, iridium oxide. Furthermore, S. K. Tiwari et al. [7] synthesized Sr-substituted lanthanum cobaltates and reported that it has much more electrocatalytic efficiency than those previously prepared by conventional ceramic or thermal decomposition methods [8-12]. In addition to this they also reported the high electrochemically active surface area of the oxide (specially of $\mathrm{La}_{0.2} \mathrm{Sr}_{0.8} \mathrm{CoO}_3$) with the same oxide obtained by nitrate decomposition [7]. These results promoted us to test the electrocatalytic activity of such type of perovskite oxides prepared by a low-temperature sol-gel route.

This paper focuses the synthesis and physicochemical characterization of perovskite oxide $\left(\mathrm{Sm}_{1-\mathrm{x}} \mathrm{Sr}_{\mathrm{x}} \mathrm{MnO}_3\right)$ using malic acid sol get route as an active electrocatalyst for water electrolysis.

2. Experimental

Perovskite-type oxides $\mathrm{Sm}_{1-\mathrm{x}} \mathrm{Sr}_{\mathrm{x}} \mathrm{MnO}_3(0 \leq \mathrm{x} \leq 0.8)$ were synthesised by low temperature sol gel route as reported by Teraoka et al. ${ }^{13}$. Stoichiometric amount of $\mathrm{Sm}\left(\mathrm{NO}_3\right)_3 \cdot 6 \mathrm{H}_2 \mathrm{O}$ (Merck 99.9%), $\quad \mathrm{Sr}\left(\mathrm{NO}_3\right)_2 \quad$ (Merck 39.5-43.5%), $\mathrm{Mn}\left(\mathrm{CH}_3 \mathrm{COO}\right)_2 .4 \mathrm{H}_2 \mathrm{O}$ (Merck 99.5%) and the malic acid in excess amount were dissolved in $500 \mathrm{ml}$ distilled water. The ammonia solution was added dropwise in above solution in order to maintain the $\mathrm{pH}$. The mixture so obtained was heated over a water bath at $70^{\circ} \mathrm{C}$ until a gel like mass was obtained which was further decomposed and crushed into fine powder in agate pastel mortar. The powder so obtained was purified by sintering at $650^{\circ} \mathrm{C}$ for $5 \mathrm{~h}$ to get the desired oxide material.

The crystal structure of the synthesized oxide was determined by using $\mathrm{X}$-ray diffractometer provided with radiation source $\mathrm{Cu}-\mathrm{K} \alpha(\lambda=1.54056 Å)$. The Scanning Electron Microscope (SEM) was used to determine the morphology of the oxide powder.

The perovskite oxides were studied for their oxygen evolution behaviour in alkaline medium in the form of film electrode prepared by oxide slurry painting technique on Ni-support ${ }^{14}$. The potentiostat/galvanostat electrochemical system consisting of corrosion and electrochemical analytical software (Gamry Reference 600 ZRA) was used to perform Cyclic Voltammetry (CV) and Tafel experiments in a single compartment three-electrode glass cell. The oxide film electrode, $\mathrm{Hg} / \mathrm{HgO} / 1 \mathrm{M} \mathrm{KOH}$ and Pt-foil were used as working, reference and auxiliary electrodes respectively. The electrical contact between the reference electrode and the electrolyte was made via a Luggin capillary ($\mathrm{KCl}$ /Agar-Agar salt bridge) to minimize the solution resistance (iR drop).

3. Results and Discussion

3.1 Physicochemical characterization

3.1.1 Scanning Electron Micrograph (SEM)

Figure 1 represents the SE-micrograph of pure and Sr-substituted Samarium Manganite powder sintered at $650^{\circ} \mathrm{C}$ for $5 \mathrm{hrs}$. Morphological structure of oxide powders appeared to be similar with each oxide. A crust like structure has been observed in the micrograph.

Figure 1. SE Micrographs of oxide powder sintered at 650°C for 5 hrs

$D=\frac{0.9 \lambda}{\beta \operatorname{Cos} \theta}$

was used to calculate the crystallite size of the material, where $\lambda$ is the wavelength of $\mathrm{Cu}-\mathrm{K} \alpha$ radiation source, $\beta$ is the full width at half maximum of peak (FWHM) and $\theta$ is the diffraction angle and values are given in Table 1 . The refined plot and the crystal structure obtained by using vesta software is shown in Figure 3.

Figure 2. XRD powder patterns Sintered at $650^{\circ} \mathrm{C}$ for $5 \mathrm{h}$

Figure 3. The profile plot and the crystal structure of $\mathrm{Sm}_{0.6} \mathrm{Sr}_{0.4} \mathrm{MnO}_3$

3.1.2 X-ray diffraction

Crystal structure of Samarium Strontium Manganese oxides was investigated by X-ray diffraction (Figure 2) by Panalytical X-pert 3 powder diffractometer with step size $0.013^{\circ}$ and time per step $29 \mathrm{~s}$ using $\mathrm{Cu}-\mathrm{K}_{\mathrm{a}}=1.5405 Å$. The obtained XRD patterns are the same which are associated to those in COD ID 1006169. The results of powder XRD analysis of the materials showed that it has a Monoclinic crystal structure of space group P 21/a. The quality factors of the refinement are in acceptable range with $\chi^2$ value 2.4352 for $\mathrm{Sm}_{0.6} \mathrm{Sr}_{0.4} \mathrm{MnO}_3$. The $\mathrm{x}$-ray diffraction patterns of the samples were refined using Rietveld method to calculate accurate unit cell dimensions as given in Table 1. The Scherer's formula [15],

Table 1. Lattice parameters for oxide powder sintered at 650°C for 5h

Perovskite (pH = 3.5)

a (Å)

b (Å)

c (Å)

V (Å)3

α = β

$\gamma$

Crystal- Lite Size15

Sm0.6Sr0.4MnO3

5.48

7.68

5.45

229.60

90°

90.35°

19.8

Sm0.8Sr0.2MnO3

5.41

7.45

5.55

227.40

90°

90.35°

51.1

Sm0.2Sr0.8MnO3

5.42

7.36

5.19

223.92

90°

90.35°

42.6

3.2 Electrochemical characterization

3.2.1 Cyclic voltammetry (CV)

The cyclic voltammogram of each oxide film electrode on $\mathrm{Ni}$ was recorded in the potential $0.0-0.7 \mathrm{~V}$ at the scan rate of $20 \mathrm{mV} \mathrm{sec}{ }^{-1}$ in $1 \mathrm{M} \mathrm{KOH}$ at $25^{\circ} \mathrm{C}$ to know their redox behaviour Figure 4 (A & B). Each voltammogram was observed to similar in nature. Each voltammogram consists of pair of peaks i.e. anodic (up) and cathodic (down), just prior to the oxygen evolution. The value of redox peaks is almost similar to the redox couple of the $\mathrm{Ni}^{16}$. Thus, in the case of oxide film electrode, these peaks were originated due to the redox reaction at Ni-support in contact with electrolyte ${ }^{14}$ through cracks, pores, intercrystalline gaps formed in the catalytic film. Also, the oxides prepared at low temperatures have a hydrophilic character and quickly hydrate in aqueous solutions, soaking the entire film thickness. ${ }^{16}$. However, the stability of the film electrode is not affected from this behaviour of the catalyst. From each voltammogram, the values of cyclic voltammetric parameters such as the anodic and cathodic peak potential ($\mathrm{E}_{\mathrm{Pa}_{\mathrm{a}}}$ and $\mathrm{E}_{\mathrm{pc}}$ respectively), the peak separation potential $(\Delta \mathrm{E})$ and the formal redox potential $\left(\mathrm{E}^{\circ}\right)$ were calculated for the surface redox reaction and are given in Table 2. From the data obtained it can be clearly observed that on increasing the scan rates the anodic and cathodic peak shifted towards higher current values. Apart from this the ratio of anodic and cathodic peak current was found to be 2 . This indicates that redox process is irreversible$^{17,18}$.

Table 2. Values of the cyclic voltammetric parameters on Sm1-xSrxMnO3 (0 ≤ x ≤ 0.8) in 1 M KOH at 25℃ (scan rate = 20 mVsec-1)

Electrode

EPa/mV

EPc/mV

Δ​Ep/mV

Eo= (EPa+EPc)/2 (mV)

SmMnO3 (pH = 3.0)

506

358

148

432

SmMnO3 (pH = 3.5)

538

353

185

445

SmMnO3 (pH = 4.0)

500

357

143

428

SmMnO3 (pH = 4.5)

479

359

120

419

Sm0.8Sr0.2MnO3 (pH = 3.5)

517

329

188

423

Sm0.6Sr0.4MnO3 (pH = 3.5)

542

316

226

429

Sm0.2Sr0.8MnO3 (pH = 3.5)

528

317

211

423

Figure 4. (A) Cyclic voltammograms of $\mathrm{SmMnO}_3$ film electrode at different $\mathrm{pH}$ on $\mathrm{Ni}$ at $20 \mathrm{mV} / \mathrm{sec}$ scan rate in $1 \mathrm{M}$ $\mathrm{KOH}\left(25^{\circ} \mathrm{C}\right)$. (B) Cyclic voltammogram of pure and Sr-substituted manganite $(\mathrm{pH}=3.5)$ film electrode on $\mathrm{Ni}$ at 20 $\mathrm{mV} / \mathrm{sec}$ scan rate in $1 \mathrm{M} \mathrm{KOH}\left(25^{\circ} \mathrm{C}\right)$

The variation of anodic current, cathodic current and voltammetric charge has also been studied with each oxide electrode. The values of $|j p|$ vs square root of scan rate was plotted for each oxide electrode and are shown in Figure 5 (A). From the figure, it is clear that the anodic and cathodic peak current density is linearity varied with square root of scan. The plot of voltammetric charge (q) vs scan rate-1/2 was also constructed for each oxide electrode and shown in Figure 5 (B). The straight line obtained indicates that the surface redox behaviour is diffusion controlled16.

Figure 5. (A) Plot of $\left|j_p\right|$ vs (scan rate) $)^{1 / 2}$ for the oxide film electrodes on $\mathrm{Ni}$ in $1 \mathrm{M} \mathrm{KOH}$ at $\left(25^{\circ} \mathrm{C}\right)$

Figure 5. (B) Plot of q vs (scan rate) $)^{-1 / 2}$ for the oxide film electrodes on $\mathrm{Ni}$ in $1 \mathrm{M} \mathrm{KOH}$ at $\left(25^{\circ} \mathrm{C}\right)$

3.2.2 Electrocatalytic activity

The electrocatalytic activity of the oxide film electrode towards OER was determined by recording the Tafel curves ($\mathrm{E}$ vs $\log~ \mathrm{j}$) at $0.2 \mathrm{mVsec}^{-1}$ (a slow scan rate) in 1 M KOH at $25^{\circ} \mathrm{C}$. The Tafel polarization curves, so obtained, are shown in the Figure 6 (A). Nature of the polarization curve with each oxide electrode was similar irrespective of the preparation $\mathrm{pH}$ and metal ion substitution in the base oxide. The values of Tafel slopes (b), current density (j) at different potentials as well as potential at constant current densities were estimated from the polarization curve and values are given in the Table 3.

The order of OER with respect to $\mathrm{OH}^{-}$ion concentration was determined by recording Tafel polarization curves at different $\mathrm{KOH}$ concentrations $(0.25-1.5 \mathrm{M} \mathrm{KOH})$. The ionic strength of the medium was maintained at 1.5 by using an inert electrolyte $\mathrm{KNO}_3$. Polarization curve for $\mathrm{SmMnO}_3(\mathrm{pH}=3.5)$ $\& \mathrm{Sm}_{0.6} \mathrm{Sr}_{0.4} \mathrm{MnO}_3(\mathrm{pH}=3.5)$ oxide electrodes are shown in Figure 6 (B) & (C), respectively.

With a constant applied voltage, the value of current density was measured for each oxide catalyst at each concentration with the help of following relation:

$\eta=a \pm b \log j$                (3.1)

where $\eta$ is overpotential and $j$ is current density. ' $a$ ' is constant and equals to $\pm \mathrm{b} \log  ~\mathrm{j}_{\mathrm{o}}$. ' $\mathrm{b}$ ' is another constant term known as Tafel slope given by relation:

$\mathrm{b}=\frac{d \eta}{d(\log j)_{T, P, \mu}}$               (3.2)

here $\mathrm{T}, \mathrm{P}$ and $\mu$ are absolute temperature, pressure and ionic strength. The positive and negative sign shows the anodic and cathodic reaction, respectively. Because the second Tafel region was less defined due to increased polarisation at higher potential, the first linear Tafel region of the polarisation curve was typically taken into consideration for this reason. From the data, plot of $\log ~\mathrm{j}$ vs. $\log \left[\mathrm{OH}^{-}\right]$was constructed at a constant potential $\mathrm{E}=700 \mathrm{mV}$ and is shown in the Figure 6 (D). The value of reaction order (p) was estimated measuring the slope of plot of $\log \mathrm{j}$ vs $\log \left[\mathrm{OH}^{-}\right]$and given in the Table 3.

3.2.3 Thermodynamic parameters

On each oxide electrode, the impact of temperature on OER has also been investigated. Anodic polarisation curves in $1 \mathrm{M}$ $\mathrm{KOH}$ at various temperatures were acquired for the purpose. The polarization curves, so obtained are shown in Figure 7 (A) & (B). The reference electrode's temperature was kept constant throughout the experiment.

Table 3. Electrode kinetic parameters for oxygen evolution reaction on $\mathrm{Sm}_{1-\mathrm{x}} \mathrm{Sr}_{\mathrm{x}} \mathrm{MnO}_3(0 \leq \mathrm{x} \leq 0.8)$ in 1 M KOH at $25^{\circ} \mathrm{C}$

Electrode

Tafel slope / mVd-1

E/ mV at j (mA cm-2)

j (mA cm-2) at E/mV

10

100

700

800

SmMnO3 (pH=3.0)

116

858

1075

0.9

4.2

SmMnO3 (pH=3.5)

107

797

1046

2.4

10.4

SmMnO3 (pH=4.0)

88

924

1151

0.4

2.3

SmMnO3 (pH=4.5)

123

890

1119

0.7

3.2

Sm0.8Sr0.2MnO3 (pH=3.5)

98

678

833

15.6

71.4

Sm0.6Sr0.4MnO3 (pH=3.5)

112

655

782

26.2

126.6

Sm0.2Sr0.8MnO3 (pH=3.5)

108

684

820

15.3

79.4

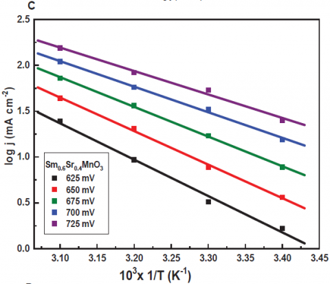
The slope of the Arrhenius plot, $\log \mathrm{j}$ versus $1 / \mathrm{T}$ [Figure 7 (C)] determined at a specific potential $(E=700 \mathrm{mV})$, was used to estimate the standard apparent enthalpy of activation $\left(\Delta \mathrm{H}_{e l}^{\circ}\right)$. The value of $\Delta \mathrm{H}_{e l}^{\circ \#}$ varies with potential and found that the value decreases with increasing the potential [Figure 7 (D)]. The standard enthalpy of activation $\left(\Delta H^{\circ \#}\right)$ and standard entropy of activation $\left(\Delta S^{\circ \#}\right)$ were calculated by using following relations (4.1) and (4.2), respectively ${ }^{19,20}$;

$\Delta \mathrm{H}_{e l}^{\circ \#}=\Delta \mathrm{H}^{\circ \#}-\alpha \mathrm{F} \eta$              (4.1)

$\Delta S^{\circ \#}=2.3 R\left[\log j+\Delta \mathrm{H}_{e l}^{\circ \#} / 2.3 R T-\log \left(n F {\omega _{\mathrm{COH}}}^{-}\right)\right]$                (4.2)

In equation 4.1 , ' $\alpha$ ' is the transfer coefficient given by 2.303RT/bF, where R, F and T are the gas constant, Faraday constant and absolute temperature, respectively. ' $b$ ' is the Tafel slope (in $\mathrm{mV}$ decade $^{-1}$) determined from the polarization curve recorded at different temperature. $\eta$ is the overpotential $\left(\eta=\mathrm{E}-\mathrm{E}_{\mathrm{O}_2 / \mathrm{OH}^{-}}\right.$, where $\mathrm{E}$ and $\mathrm{E}_{\mathrm{O}_2 / \mathrm{OH}^{-}}(=0.303 \mathrm{~V}$ vs. $\mathrm{Hg} / \mathrm{HgO})$ [21] are the applied potential across the catalyst/ $1 ~\mathrm{M} ~\mathrm{KOH}$ interface and the theoretical equilibrium Nernst potential in 1 $\mathrm{M} \mathrm{KOH}$ at $25^{\circ} \mathrm{C}$, respectively). The terms in equation (4.2) have their usual meaning comprising the frequency term $\omega$ (= $\mathrm{k}_{\mathrm{B}} \mathrm{T} / \mathrm{h}$) where, $\mathrm{k}_{\mathrm{B}}$ and $\mathrm{h}$ are the Boltzmann constant and Planck's constant, respectively. All the calculated thermodynamic parameters are given in the Table 4.1. The most active electrode, $\mathrm{Sm}_{0.8} \mathrm{Sr}_{0.2} \mathrm{MnO}_3(\mathrm{pH}=3.5)$ was found to have lowest $\Delta \mathrm{H}_{e l}^{\circ \#}$ value $\left(24.1 \mathrm{~kJ} \mathrm{~mol}{ }^{-1}\right)$. While, it found maximum with $\mathrm{SmMnO}_3(\mathrm{pH}=4.0)$.

From the Table 4.2 , the decrease in standard electrochemical energy of activation $\left(\Delta \mathrm{H}_{e l}^{\circ \#}\right)$ can be observed clearly with rise in applied potential. The decrease in $\Delta \mathrm{H}_{e l}^{\circ \#}$ is also predicted as per equation (4.1) and previous literature20,21 .

Figure 6. (A) Anodic polarization curve for the pure and $\mathrm{Sr}$ substituted samarium manganite film electrodes on $\mathrm{Ni}$ in $1 \mathrm{M}$ $\mathrm{KOH}\left(25^{\circ} \mathrm{C}\right)$; scan rate: $0.2 \mathrm{mVsec}^{-1}$ (B) Anodic polarization curve for the $\mathrm{SmMnO}_3(\mathrm{pH}=3.5)$ oxide film electrodes on $\mathrm{Ni}$ at different $\mathrm{KOH}$ concentrations $(\mu=1.5)$ at $25^{\circ} \mathrm{C}$ (C) Anodic polarization curve for $\mathrm{Sm}_{0.6} \mathrm{Sr}_{0.4} \mathrm{MnO}_3(\mathrm{pH}=3.5)$ oxide film electrodes on $\mathrm{Ni}$ at different $\mathrm{KOH}$ concentrations $(\mu=1.5)$ at $25^{\circ} \mathrm{C}$ (D) Plot of $\log \mathrm{j}$ vs $\log \left[\mathrm{OH}^{-}\right]$for $\mathrm{Ni} / \mathrm{Sm}_{1-}$ ${ }_{\mathrm{x}} \mathrm{Sr}_{\mathrm{x}} \mathrm{MnO}_3(0 \leq \mathrm{x} \leq 0.8)$ electrodes at $700 \mathrm{mV}$

Figure 7. (A) Anodic polarization curve of the $\mathrm{SmMnO}_3$ $(\mathrm{pH}=3.5)$ film electrode on $\mathrm{Ni}$ at different temperature. (B) Anodic polarization curve of the $\mathrm{Sm}_{0.6} \mathrm{Sr}_{0.4} \mathrm{MnO}_3(\mathrm{pH}=3.5)$ film electrode on $\mathrm{Ni}$ at different temperature. (C) The Arrhenius plot of $\mathrm{Sm}_{1-\mathrm{x}} \mathrm{Sr}_{\mathrm{x}} \mathrm{MnO}_3(0 \leq \mathrm{x} \leq 0.8)$ in $1 \mathrm{M} \mathrm{KOH}$ at a constant applied potential $(\mathrm{E}=700 \mathrm{mV})$ (D) The Arrhenius plot of $\mathrm{Sm}_{0.6} \mathrm{Sr}_{0.4} \mathrm{MnO}_3$ in $1 \mathrm{M} \mathrm{KOH}$ at different applied potentials

The value of $\Delta \mathrm{S}^{\circ \#}$ was found to highly negative which suggests the adsorption phenomena in the oxygen evolution reaction.

Table 4.1 Thermodynamic parameters for $\mathrm{O}_2$ evolution on $\mathrm{Sm}_{1-\mathrm{x}} \mathrm{Sr}_{\mathrm{x}} \mathrm{MnO}_3(0 \leq \mathrm{x} \leq 0.8)$ in $1 \mathrm{M} \mathrm{KOH}($ at $\mathrm{E}=700 \mathrm{mV})$

Electrode

$\begin{gathered}\Delta \mathbf{H}_{\mathrm{el}}^{\circ}{ }^{\neq} \left(\mathrm{kJmol}^{-1}\right) \text { at } \mathbf{E}=700 \mathbf{m V}\end{gathered}$

ΔS°≠(J deg-1 mol-1)

$\boldsymbol{\alpha}$

ΔH°≠(kJ mol-1)

SmMnO3 (pH = 3.0)

48.4

189.9

0.7

76.0

SmMnO3 (pH = 3.5)

38.8

220.7

0.7

66.1

SmMnO3 (pH = 4.0)

65.7

137.8

0.6

89.8

Sm0.8Sr0.2MnO3 (pH = 3.5)

24.1

239.5

0.9

60.1

Sm0.6Sr0.4MnO3 (pH = 3.5)

36.4

196.3

0.9

68.9

Sm0.2Sr0.8MnO3 (pH = 3.5)

44.0

182.0

0.7

71.9

Table 4.2 Thermodynamic parameters for $\mathrm{O}_2$ evolution on $\mathrm{Sm}_{0.6} \mathrm{Sr}_{0.4} \mathrm{MnO}_3$ in $1 \mathrm{M} \mathrm{KOH}$ at different potentials $(\alpha=0.86)$

Potential E (mV)

$\begin{gathered}\Delta \mathbf{H}_{\mathrm{el}}^{\circ \neq} \left(\mathrm{kJ} \mathrm{mol}^{-1}\right)\end{gathered}$

ΔS°≠(J deg-1 mol-1)

ΔH°≠(kJ mol-1)

625

70.3

102.5

96.9

650

57.4

138.0

86.2

675

38.3

194.8

69.2

700

31.9

210.6

64.9

725

28.7

217.7

63.7

4. Conclusion

The study has exposed the synthesis of Samarium substituted strontium manganites $\left(\mathrm{Sm}_{1-\mathrm{x}} \mathrm{Sr}_{\mathrm{x}} \mathrm{MnO}_3(0 \leq \mathrm{x} \leq 0.8)\right.$, a perovskite oxide by sol-gel route using malic acid and tested for its electrochemical behaviour towards oxygen evolution reaction. The cyclic voltammetry and the Tafel experiments performed for the same reveals the effect of substitution of strontium by samarium in the lattice of the strontium manganites. The optimum improvement in the Tafel slope value has been seen in the highly substituted strontium manganite i.e., $\mathrm{Sm}_{0.8} \mathrm{Sr}_{0.2} \mathrm{MnO}_3(\mathrm{pH}=3.5)$ while the highest current density value $\left(126.6 \mathrm{~mA} \mathrm{~cm} \mathrm{~cm}^{-2}\right)$ at $800 \mathrm{mV}$ was observed in the case of $\mathrm{Sm}_{0.6} \mathrm{Sr}_{0.4} \mathrm{MnO}_3$. Apart from this the synthesised perovskite oxide are also analysed for their thermodynamic and kinetic parameters for oxygen evolution reaction.

Acknowledgment

Authors are glad to acknowledge the department of Chemistry, University of Lucknow, Lucknow (INDIA) for providing essential infrastructures execute the experiments. Authors are also thankful to the Council of Science and technology, U.P. for the financial support by a Research Project (ID: 1720). Department of Science and Technology (DST), New Delhi for providing electrochemical impedance system under Fast Track Scheme.

  References

[1] O’Sullivan, E.; Calvo, E., In Electrode Kinetic Reaction. ed. R. G. Compton, Elsevier, Amsterdam 1987, 274.

[2] Furlong, D.; Yates, D.; Healy, T.; Trasatti,  S.,  Electrodes of conductive metallic oxides, Part B. Elsevier, Amsterdam: 1981.

[3] Wendt, H.; Imarisio, G., Nine years of research and development on advanced water electrolysis. A review of the research programme of the Commission of the European Communities. J. Appl. Electrochem. 1988, 18, 1-14. https://doi.org/10.1007/BF01016198

[4] Matsumoto, Y.; Yoneyama, H.; Tamura, H., The mechanism of oxygen reduction at a LaNiO3 electrode. Bull. Chem. Soc. Jpn., 1978, 51 (7), 1927-1930. https://doi.org/10.1246/bcsj.51.1927

[5] Ladavos, A.; Pomonis, P., Comparative study of the solid-state and catalytic properties of La 2–x Sr x NiO 4入perovskites (x= 0.00–1.50) prepared by the nitrate and citrate methods. J. Chem. Soc., Faraday Trans., 1991, 87 (19), 3291-3297. https://doi.org/10.1039/FT9918703291

[6] Suntivich, J.; May, K. J.; Gasteiger,  H.  A.; Goodenough, J. B.; Shao-Horn, Y., A perovskite oxide optimized for oxygen evolution catalysis from molecular orbital principles. Science 2011, 334 (6061), 1383-1385. https://doi.org/10.1126/science.1212858

[7] Tiwari, S.; Chartier, P.; Singh, R., Preparation of Perovskite-Type Oxides of Cobalt by the Malic Acid Aided Process and Their Electrocatalytic Surface Properties in Relation to Oxygen Evolution. J. Electrochem. Soc, 1995, 142 (1), 148. https://doi.org/10.1149/1.2043854

[8] Bockris, J. O. M.; Otagawa, T. J. J. o. T. E. S., The electrocatalysis of oxygen evolution on perovskites. J. Electrochem. Soc., 1984, 131 (2), 290. https://doi.org/10.1149/1.2115565

[9] Balej, J., Electrocatalysts for oxygen evolution in advanced water electrolysis. Int. J. Hydrog. Energy, 1985, 10 (2), 89-99. https://doi.org/10.1016/0360-3199(85)90041-2

[10] Kobussen, A.; Van Buren, F.; Van den Belt, T.; Van Wees, H., Oxygen evolution on LaCoO3-type electrodes. J. Electroanal. Chem., 1979, 96 (1), 123- 125.https://doi.org/10.1016/S0022-0728(79)80309-5

[11] Matsumoto, Y.; Manabe, H.; Sato, E. J. J. o. T. E. S., Oxygen evolution on La1— xSrxCoO3 electrodes in alkaline solutions. J. Electrochem. Soc. 1980, 127 (4), 811. 10.1149/1.2129762

[12] Wendt, H.; Plzak, V., Electrocatalytic and thermal activation of anodic oxygen-and cathodic hydrogen- evolution in alkaline water electrolysis. Electrochim. Acta 1983, 28 (1), 27-34. https://doi.org/10.1016/0013- 4686(83)85083-X

[13] Teraoka, Y.; Kakebayashi, H.; Moriguchi, I.; Kagawa, S., Hydroxy acid-aided synthesis of perovskite-type oxides of cobalt and manganese. Chem. Lett., 1991, 20 (4), 673-676. https://doi.org/10.1246/CL.1991.673

[14] Singh, R. N.; Tiwari, S. K.; Singh, S. P.; Singh, N. K.; Poillerat, G.; Chartier, P., Synthesis of (La, Sr) CoO3 perovskite films via a sol–gel route and their physicochemical and electrochemical surface characterization for anode application in alkaline water electrolysis. J. Chem. Soc., Faraday Trans., 1996, 92(14), 2593-2597. https://doi.org/10.1039/FT9969202593

[15] Fradette, N.; Marsan, B., Surface Studies of CuxCo3— xO4 Electrodes for the Electrocatalysis of Oxygen Evolution. J. Electrochem. Soc., 1998, 145 (7), 2320. 10.1149/1.1838637

[16] Singh, N.; Tiwari, S.; Anitha, K.; Singh, R., Electrocatalytic properties of spinel-type MnxFe3– xO4synthesized below 100°C for oxygen evolution in KOH solutions. J. Chem. Soc., Faraday Trans., 1996, 92 (13),    2397-2400. https://doi.org/10.1039/FT9969202397

[17] Wu, W.; Guo, S.; Zhang, J., Electrochemical behaviors of Cr (III) in molten LiF-NaF-KF eutectic. Int. J. Electrochem. Sci., 2018, 13, 225-234. http://dx.doi.org/10.20964/2018.01.21

[18] Massot, L.; Chamelot, P.; Cassayre, L.; Taxil, P., Electrochemical study of the Eu (III)/Eu (II) system in molten fluoride media. Electrochim. Acta, 2009, 54 (26), 6361-6366. https://doi.org/10.1016/j.electacta.2009.06.016 

[19] Singh, N. K.;  Sharma, P.;  Kumar, I.; Chaddha, A. S., Oxygen     evolution     electrocatalytic     properties   of perovskite-type La1-xSrxCoO3 (0 三 x 三 0.8) oxides obtained by polyvinylpyrroli-done sol-gel route. Int. J. Electrochem. Sci 2019, 14, 11379-11390. 10.20964/2019.12.70

[20] E. Gileadi, “Electrode Kinetics”, VCH Publishers Inc., New York, 1993, p.151.

[21] R. Singh, J. Pandey, N. Singh, B. Lal, P. Chartier, J.-F. Koenig, Sol-gel derived spinel MxCo3— xO4 (M= Ni, Cu; 0 ≤ x ≤ 1) films and oxygen evolution, Electrochim. Acta, 45 (2000) 1911-1919. http://dx.doi.org/10.1016/S0013-4686(99)00413-2

[22] Singh, N.; Yadav, R.; Yadav, M., Electrocatalytic Properties of Egg-white Sol-gel Derived MnxFe3-xO4 (0 ≤ x ≤ 1.5) for Alkaline Water Electrolysis. J. New Mater. Electrochem.    Syst., 19(2016) 209-215. http://dx.doi.org/10.14447/jnmes.v19i4.281

[23] Singh, N.; Singh, J.; Singh, R., Sol–gel-derived spinel Co3O4 films and oxygen evolution: Part II. Optimization of preparation conditions and influence of the nature of the metal salt precursor. Int. J. Hydrogen Energy, 2002, 27 (9), 895-903. https://doi.org/10.1016/S0360-3199(01)00193-8