The Mass Transfer Coefficient of Pseudapocryptes Elongatus Fish Dried in a Hot Air Dryer

The Mass Transfer Coefficient of Pseudapocryptes Elongatus Fish Dried in a Hot Air Dryer

Luan Nguyen Thanh

Faculty of Vehicle and Energy Engineering, Ho Chi Minh City University of Technology and Education (HCMUTE), Ho Chi Minh City 70000, Vietnam

Corresponding Author Email: 
luannt@hcmute.edu.vn
Page: 
2001-2007
|
DOI: 
https://doi.org/10.18280/ijht.420617
Received: 
4 October 2024
|
Revised: 
22 November 2024
|
Accepted: 
7 December 2024
|
Available online: 
31 December 2024
| Citation

© 2024 The author. This article is published by IIETA and is licensed under the CC BY 4.0 license (http://creativecommons.org/licenses/by/4.0/).

OPEN ACCESS

Abstract: 

The present work focuses on estimating the mass transfer coefficient (MTC) of Vietnam Pseudapocryptes elongatus (P- Elongatus) fish dried in a hot air dryer. The drying regime was established with 50-70℃ drying temperature and 0.5-1.5 m/s air velocity. The MTC was determined through the Biot-Dincer correlation. Results indicated that the moisture transfer coefficient (hm) and the moisture diffusivity coefficient (De) behave linearly with the drying temperature and air velocity. Increased drying temperature and air velocity increased the De and hm. The computed results determined that the hm of fish was in the range of 197.96×10-9–389.43×10-9 m/s, and the De of fish was from 9.402×10-9 to 21.653×10-9 m2/s.

Keywords: 

hot air dryer, moisture transfer coefficient, moisture diffusivity coefficient, Pseudapocryptes elongatus fish

1. Introduction

Drying agricultural and aquatic products is one of the essential techniques to prolong storage time and maintain product quality. In practice, many different drying methods are applied. However, the convective drying method is widely used in the dried aquatic and agricultural because of its simplicity and convenience [1, 2]. In the convective drying method, the drying kinetics study was a subject of interest to many researchers [3, 4]. The results of the investigations provide valuable academic and practical references in the design and selection of appropriate drying modes.  Many types of materials from agricultural and aquatic have been investigated, for instance: cassava chips [5], chickpeas [6], black pepper [7], banana slices [8], silverside fish [9], Pseudapocryptes elongatus fish [10], tilapia fish [11], sardine muscles [12] crabs [13], shrimp [14], etc.

The moisture transfer coefficient and the moisture diffusivity coefficient are characteristic parameters in the mass transfer equations of the drying process. The moisture diffusivity coefficient has been provided in many studies. However, data on the moisture transfer coefficient was limited due to the complexity of the approach. In many strategies, the Biot-Dincer correlation is one of the simple approaches to estimating the mass transfer coefficient (MTC) of dried materials in the convective dryer [15]. It was an approach established on the analogy between heat transfer and mass transfer. Although the Biot-Dincer correlation has a correlation coefficient of about 0.8, it was considered simple in application and has the benefit of being applied to practical [15, 16]. This approach has been applied in many investigations related to the determination of the MTC. Bezerra et al. [16] applied the Biot-Dincer correlation to determine the MTC of passion fruit peel. Nguyen et al. [17] investigated the MTC of shrimp. Nguyen et al. [18] investigated the MTC of burdock root. Ju et al. [19] examined the MTC of yam and longan. Corzo et al. [20] investigated the MTC of mango. Inquiries have proved the convenience of estimating the MTC of various materials dried in the convective dryer.

P-Elongatus fish is a type belonging to the Oxudercidae family, with high economic value. The P-Elongatus fish are raised and exploited in many Asian countries, including Vietnam. Hot air drying is the main method used to dry finished Vietnam P-Elongatus fish. The drying kinetics of the P-Elongatus fish in a hot air dryer were also surveyed in our previous investigation [10]. The drying data with drying curves, mathematical models, and effective moisture diffusivity coefficient were determined. However, the moisture transfer coefficient of fish has not been provided. For the purpose of determining the mass transfer coefficient of the P-Elongatus fish as a basis to compare the potential drying of P-Elongatus fish in a convective dryer with other drying technologies in future studies. In the present work, the MTC of fish are determined through the Biot-Dincer approach. Furthermore, a numerical simulation with the application of the MTC of P-Elongatus fish was performed in the present work. This illustrates the application of the MTC to describe the reduction in moisture content and visualize the moisture content distribution inside fish. Therefore, the present work focuses on two main contents. The first part presents the method and results of determining the MTC of fish according to the Biot-Dincer correlation based on drying data in the previous literature. The second part presents the application of the MTC to describe the reduction in moisture content and the moisture content distribution inside fish. The research results are expected to provide valuable academic and practical references.

2. Analytical Methods

In the present work, the MTC of P-Elongatus fish was estimated according to the Biot-Dincer correlation. The analysis was performed based on experimental data in the literature [10]. Some basic descriptions of the experimental regime are as follows: drying samples have a size of 45 fish/kg and a fish length of 140 ± 5 mm. The samples were dried from a 3.237 (d.b) initial moisture content to a 0.11 (d.b) final moisture content. The drying modes were conducted with a drying temperature of 50-70℃ and air velocity of 0.5-1.5 m/s. The details of the experiment can be found in the literature [10].

In the Biot-Dincer approach, the exponential equation used to describe the reduction in moisture content is form follows [21]:

$Y=C \cdot \exp (-\mathrm{st})$     (1)

where, Y, C, s, and t are the dimensionless moisture content, flag coefficient, drying coefficient, and drying time, respectively.

The dimensionless moisture content is described by the formula (ignoring equilibrium moisture content) [15, 22]:

$Y=\frac{M}{M_o}$     (2)

where, M is the dry basis moisture content, and Mo is the initial dry basis moisture content.

The Dincer number is a parameter that characterizes the influence of cold fluid velocity on the product cooling coefficient in refrigeration applications. Due to the analog between cooling and heating, the Dincer number can be used to consider the influence of air velocity on the drying coefficient in convective drying, which is estimated by the formula [15, 19]:

$D i=\frac{V}{s . L}$     (3)

where, V (m/s) and L (m) are the air velocity and the characteristic dimension of the material, respectively. The P-Elongatus fish can be considered a cylinder with characteristic dimension L=5.6978 mm [10].

The Biot number is a characteristic parameter representing moisture diffusion resistance. It is estimated by the formula [23, 24]:

$B i=\frac{h_m \cdot L}{D_e}$     (4)

where, hm (m/s) and De (m2/s) are the moisture transfer coefficient and moisture diffusivity coefficient, respectively.

The moisture diffusivity coefficient can be determined simply by developing Dincer and Dost [25]:

$D_e=\frac{s L^2}{\beta^2}$    (5)

where, $\beta$ is the root of the solution to the moisture diffusivity given in a simplified form for cylinder geometry [15]:

$\begin{aligned} & \beta=-3.4775 C^4+25.285 C^3-68.43 C^2+82.468 C-35.638\end{aligned}$     (6)

The Biot-Dincer correlation of some materials has been established with a correlation coefficient of 0.8, specifically as follows [15, 17]:

$B i=24.848 D i^{-3 / 8}$     (7)

Eqs. (1)-(7) were used to estimate the MTC in the present study. The computed steps are as follows:

i. From the drying experimental data, determine dimensionless moisture content according to Eq. (2).

ii. Determine the regression model of data points in form Eq. (1), then determine the flag coefficient and drying coefficient.

iii. Determine the Dincer number according to Eq. (3) and the Biot number according to Eq. (7).

iv. Determine the $\beta$ according to Eq. (6), the De according to Eq. (5), and the hm according to Eq. (4).

3. Results and Discussion

3.1 Mass transfer coefficient

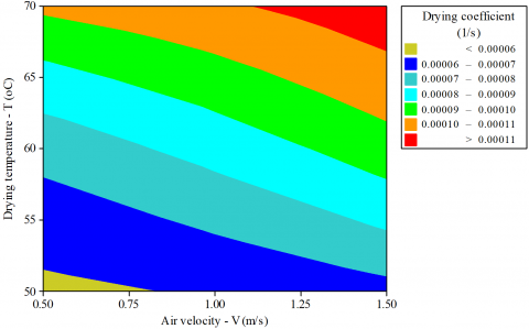
Table 1 shows the mathematical model of drying curves of P-Elongatus fish in a hot air dryer, which was provided in the literature [10]. Figure 1 shows the dimensionless moisture content data points, which were determined based on the mathematical model in Table 1. Results show that the dimensionless moisture content varies from 1 to 0.033. The dimensionless moisture content decreases with drying time, which is consistent with the drying theory. Furthermore, Figure 1 also shows the regression line of the dimensionless moisture content data points in form Eq. (1). The regression models are compatible with data points, with correlation coefficients $\mathrm{R}^2 \geq 0.9900$. The coefficients in the regression model and correlation coefficients are shown in Table 2. The variation of the flag coefficient is almost independent of drying conditions, and the values are approximately equal to 1. Meanwhile, the drying coefficient indicates its dependence on drying conditions. Increased drying temperature and air velocity increase the drying coefficient, which means the drying process is faster. Figure 2 displays the contour of the drying coefficient with the T and V. Results show that drying temperature greatly affected the drying coefficient, meaning that drying temperature is an important factor affecting the drying ability of fish.

Table 3 depicts the MTC of P-Elongatus fish. The De and hm varied linearly with the drying temperature and air velocity. Increased the T and V increase the De and hm. The De of the fish was from 9.402×10-9 to 21.653×10-9 m2/s. This value is higher than that apprised in the literature [10]. The difference is due to different estimation methods, which have also been recognized in the conclusions of several related studies [15, 26]. The hm of the fish was from 197.96×10-9 to 389.43×10-9 m/s. Under the same drying temperature conditions, the De of the cases of 1.5 m/s increases by 20.33-25.84% and 57.46-75.28% compared to the cases of 1.0 m/s and 0.5 m/s, respectively. Meanwhile, the hm of the cases of 1.5 m/s increases by 5.67-13.51% and 9.32-27.57% compared to the cases of 1.0 m/s and 0.5 m/s, respectively. Under the same air velocity conditions, the De of the cases of 70℃ increases by 12.95-23.51% and 43.67-46.54% compared to the cases of 60℃ and 50℃, respectively. The hm of the cases of 70℃ increases by 21.23-39.24% and 77.11-81.78% compared to the cases of 60℃ and 50℃, respectively. Results indicate that the T and V significantly impact the De and hm. Table 4 shows the MTC of P-Elongatus fish and some materials dried in a hot air dryer. The MTC of P-Elongatus fish is similar to some aquatic and agricultural materials. The hm of P-Elongatus fish is lower than that of passion fruit peel but higher than that of mango slices. Meanwhile, the De of P-Elongatus fish is higher than that of shrimp, mango slices, and passion fruit peel. This difference is due to differences in drying mode, material size, material shape, and physical properties of the materials.

Table 1. The mathematical model of the drying curve of P-Elongatus fish [10]

Drying Mode

Y = f(t), with t (h)

T=70℃, V=1.5 m/s

Y=0.292065exp(-0.207869t) + 0.713196exp(-0.635587t)

T=70℃, V=1.0 m/s

Y=0.253364exp(-0.177403t) + 0.75167exp(-0.58798t)

T=70℃, V=0.5 m/s

Y=0.21096exp(-0.143766t) + 0.794214exp(-0.541443t)

T=60℃, V=1.5 m/s

Y=0.137848exp(-0.0962478t) + 0.865229exp(-0.467082t)

T=60℃, V=1.0 m/s

Y=0.193291exp(-0.104496t) + 0.808002exp(-0.447316t)

T=60℃, V=0.5 m/s

Y=0.171275exp(-0.086856t) + 0.818815exp(-0.382297t)

T=50℃, V=1.5 m/s

Y=0.156542exp(-0.0723519t) + 0.827283exp(-0.341794t)

T=50℃, V=1.0 m/s

Y=0.194883exp(-0.0782684t) + 0.789325exp(-0.327332t)

T=50℃, V=0.5 m/s

Y=0.182121exp(-0.0662631t) + 0.803938exp(-0.319262t)

Figure 1. The dimensionless moisture content and regression line

Figure 2. The variation of drying coefficient with air velocity and drying temperature

Table 2. The coefficients in the mathematical model Y = C.exp(-s.t)

T (℃)

V (m/s)

C

s (1/s)

Correlation Coefficients, R2

70

1.5

1.029

0.000115150

0.9948

70

1.0

1.033

0.000108541

0.9941

70

0.5

1.041

0.000102095

0.9931

60

1.5

1.027

0.000095354

0.9934

60

1.0

1.030

0.000083681

0.9919

60

0.5

1.037

0.000074145

0.9929

50

1.5

1.024

0.000066257

0.9918

50

1.0

1.027

0.000061085

0.9922

50

0.5

1.034

0.000058437

0.9900

Table 3. The MTC of P-Elongatus fish

T (℃)

V (m/s)

Bi

Di

De×109 (m2/s)

hm×109 (m/s)

70

1.5

0.1025

2286231

21.653

389.43

70

1.0

0.1167

1616959

17.995

368.53

70

0.5

0.1479

859525

13.508

350.61

60

1.5

0.0955

2760865

19.170

321.22

60

1.0

0.1058

2097326

15.234

282.98

60

0.5

0.1312

1183535

10.937

251.80

50

1.5

0.0833

3973309

14.804

216.41

50

1.0

0.0941

2873149

12.280

202.73

50

0.5

0.1200

1501671

9.402

197.96

Table 4. The MTC of P-Elongatus fish and some materials

Material

T (℃)

V (m/s)

hm×107 (m/s)

De×109 (m2/s)

References

P-Elongatus fish

50-70

0.5-1.5

1.9796-3.8943

9.402-21.653

Present work

Passion fruit peel

50-70

2-3.5

4.53-8.702

6.32-19.94

[16]

Shrimp

50-60

1-2

0.981-4.478

4.34-21.27 

[17]

Mango slices

50-80

1.8-1.91

0.107-0.772

0.104-0.85

[20]

3.2 Simulation of moisture content distribution

This section performs a simulation to describe moisture distribution inside fish corresponding to the drying regime with T=60℃ and V=0.5 m/s. It illustrates applying the MTC to describe the moisture content distribution inside fish. It is considered at the time the average moisture content reaches 12% (w.b). The equations used in numerical simulation are as follows:

The Fick’s second law of diffusion [17, 27]:

$\frac{\partial M}{\partial t}=D_e \nabla^2 M$     (8)

The initial and boundary conditions at surface [17, 27]:

$\mathrm{M}=\mathrm{M}_{\mathrm{o}}=3.237$ (d.b) at $\mathrm{t}=0$     (9)

$-D_e \nabla M=h_m\left(M_w-M_e\right)$     (10)

where, Mw and Me are the moisture content at the surface of fish and equilibrium moisture content, respectively.

The Me is very small and must be determined experimentally. The Me of P-Elongatus fish data has not been provided. In this study, the Me of fish is estimated similarly to small shrimp and accepts this errors in the results. It can be determined by Oswin's equation [17]. The Me of fish was 0.0455 (d.b), corresponding to 22% air relative humidity and 60℃ drying temperature. Figure 3 is the fish size measured and modeled in 3D, with a fish length of 144 mm and a cross-section distance of 10 mm. Figure 4 displays the computed domain and boundary conditions used for simulation. A symmetry boundary condition has been applied to reduce the number of mesh elements and simulation time. Figure 5 shows the mesh generation of the computational domain with tetrahedral mesh, which improves the accuracy of the simulation results. Mesh size of 0.5 mm and 1 second time step were used in this simulation.

Figure 6 displays the moisture content distribution inside fish when the average moisture content of fish is 12% (w.b). It is observed in the symmetry surface and cross sections. The moisture content tends to decrease from the center to the fish's shell. The fishtail has the lowest moisture content because this region has a small thickness, so moisture escapes quickly. Meanwhile, the region from section (E) to section (G) has a high moisture content due to high thickness. The average moisture content is almost proportional to the cross-section area. Figure 7 displays the moisture content according to the drying data and numerical simulation results. The result shows a good fit between the drying data and the simulated values, with R2=0.9982. The maximum deviation in drying time between the experiment and simulation is 26%. This deviation is due to assuming the non-shrinkage material, the error of the estimate method, and the error is due to other assumptions. From the above discussion, it can be seen that applying MTC combined with numerical simulation can illustrate the reduction in moisture content well and visualize the moisture content distribution well inside the material.

Figure 3. Dimension of P-Elongatus fish

Figure 4. The computed domain and boundary conditions

Figure 5. Mesh generation of the computed domain

Figure 6. Moisture content distribution inside fish

Figure 7. The variation of moisture content with drying time according to experiment and simulation

4. Conclusions

The present work estimated the mass transfer coefficient of Vietnam P-Elongatus fish dried in a hot air dryer per the Biot-Dincer approach. The drying regime was established with an air velocity of 0.5-1.5 m/s and a drying temperature of 50-70℃. The main findings found were as follows:

  1. The hm of fish was in the range of 197.96×10-9–389.43×10-9 m/s. The De of fish was from 9.402×10-9 to 21.653×10-9 m2/s.
  2. The De and hm behave linearly with the drying temperature and air velocity.
  3. Increased air velocity increases the De and hm. When the air velocity was increased under the same drying temperature conditions, the highest increase of the De and hm were found to be about 75.28% and 27.57%, respectively.
  4. Increased drying temperature increases the De and hm. When the drying temperature was increased under the same air velocity conditions, the highest increase of the De and hm were found to be about 46.54% and 81.78%, respectively.
  5. The MTC of Vietnam P-Elongatus fish dried in a hot air dryer is determined in the present work. Results can be used as a reference, comparing drying P-Elongatus fish with other drying technologies in future studies, thereby providing a more complete assessment of the method of drying P-Elongatus fish in practice. In the future, research on drying P-Elongatus fish in the solar dryer or the hot air dryer combined with other methods will be considered. This will provide data to compare drying abilities between drying methods and the potential to apply them to actual production.
Nomenclature

Y

dimensionless moisture content

C

flag coefficient

s

drying coefficient, s-1

t

drying time, s

M

dry basis moisture content

T

drying temperature, ℃

V

air velocity, m.s-1

L

characteristic dimension of the material, m

Bi

Biot number

Di

Dincer number

hm

moisture transfer coefficient, m.s-1

De

moisture diffusivity coefficient, m2.s-1

Greek symbols

$\beta$

root of the transcendental characteristic equation

Subscripts

o

initial

w

surface

e

equilibrium

  References

[1] Adeyeye, S.A.O. (2019). An overview of fish drying kinetics. Nutrition & Food Science, 49(5): 886-902. https://doi.org/10.1108/NFS-10-2018-0296

[2] Ertekin, C., Firat, M.Z. (2017). A comprehensive review of thin-layer drying models used in agricultural products. Critical Reviews in Food Science and Nutrition, 57(4): 701-717. https://doi.org/10.1080/10408398.2014.910493

[3] Onwude, D.I., Hashim, N., Janius, R.B., Nawi, N.M., Abdan, K. (2016). Modeling the thin‐layer drying of fruits and vegetables: A review. Comprehensive Reviews in Food Science and Food Safety, 15(3): 599-618. https://doi.org/10.1111/1541-4337.12196

[4] Erbay, Z., Icier, F. (2010). A review of thin layer drying of foods: Theory, modeling, and experimental results. Critical Reviews in Food Science and Nutrition, 50(5): 441-464. https://doi.org/10.1080/10408390802437063

[5] Argo, B.D., Ubaidillah, U. (2020). Thin-layer drying of cassava chips in multipurpose convective tray dryer: Energy and exergy analyses. Journal of Mechanical Science and Technology, 34: 435-442. https://doi.org/10.1007/s12206-019-1242-9

[6] Cavalcanti‐Mata, M.E.R.M., Duarte, M.E.M., Lira, V.V., de Oliveira, R.F., Costa, N.L., Oliveira, H.M.L. (2020). A new approach to the traditional drying models for the thin‐layer drying kinetics of chickpeas. Journal of Food Process Engineering, 43(12): e13569. https://doi.org/10.1111/jfpe.13569

[7] de Sousa, R.C., Costa, A.B.S., Freitas, M.D.M., Perazzini, M.T.B., Perazzini, H. (2024). Convective drying of black pepper: Experimental measurements and mathematical modeling of the process. Food and Bioproducts Processing, 143: 102-116. https://doi.org/10.1016/j.fbp.2023.10.009

[8] Amer, B.M., Azam, M.M., Saad, A. (2023). Monitoring temperature profile and drying kinetics of thin-layer banana slices under controlled forced convection conditions. Processes, 11(6): 1771. https://doi.org/10.3390/pr11061771

[9] Toujani, M., Hassini, L., Azzouz, S., Belghith, A. (2013). Experimental study and mathematical modeling of silverside fish convective drying. Journal of Food Processing and Preservation, 37(5): 930-938. https://doi.org/10.1111/j.1745-4549.2012.00729.x

[10] Thanh, L.N., Minh, H.N., Le, H.S.N., Hoai, N.L. (2023). Thin-layer drying kinetics of Pseudapocryptes elongatus fish in a convective dryer. Journal of Advanced Research in Fluid Mechanics and Thermal Sciences, 108(1): 158-172. https://doi.org/10.37934/arfmts.108.1.158172

[11] Elshehawy, S.M., Mosad, G.A. (2022). Mathematical modeling of tilapia fish fillets dried in thin layer. Journal of Soil Sciences and Agricultural Engineering, 13(11): 359-364. https://doi.org/10.21608/jssae.2022.166673.1108

[12] Djendoubi, N., Boudhrioua, N., Bonazzi, C., Kechaou, N. (2009). Drying of sardine muscles: Experimental and mathematical investigations. Food and Bioproducts Processing, 87(2): 115-123. https://doi.org/10.1016/j.fbp.2008.07.003

[13] Jonathan, B., Egbe, E. (2022). Thin layer drying kinetics of salt water crab (Cardisoma Guanhumi). Saudi Journal of Engineering and Technology, 7(3): 165-171. https://doi.org/10.36348/sjet.2022.v07i03.008

[14] Darvishi, H., Farhang, A., Hazbavi, E. (2012). Mathematical modeling of thin-layer drying of shrimp. Global Journal of Science Frontier Research Mathematics and Decision Sciences, 12(3): 82-90. 

[15] Dincer, I., Hussain, M. (2002). Development of a new Bi–Di correlation for solids drying. International Journal of Heat and Mass Transfer, 45(15): 3065-3069. https://doi.org/10.1016/S0017-9310(02)00031-5

[16] Bezerra, C.V., da Silva, L.H.M., Corrêa, D.F., Rodrigues, A.M. (2015). A modeling study for moisture diffusivities and moisture transfer coefficients in drying of passion fruit peel. International Journal of Heat and Mass Transfer 85: 750-755. https://doi.org/10.1016/j.ijheatmasstransfer.2015.02.027

[17] Nguyen, M.P., Ngo, T.T., Le, T.D. (2019). Experimental and numerical investigation of transport phenomena and kinetics for convective shrimp drying. Case Studies in Thermal Engineering, 14: 100465. https://doi.org/10.1016/j.csite.2019.100465

[18] Nguyen, L.T., Nguyen, M.H.,Le, H.S.N. (2023). Thin-layer drying of burdock root in a convective dryer: Drying kinetics and numerical simulation. Journal of Advanced Research in Fluid Mechanics and Thermal Sciences, 104(1): 21-36. https://doi.org/10.37934/arfmts.104.1.2136

[19] Ju, H.Y., Zhao, S.H., Mujumdar, A., Fang, X.M., Gao, Z.J., Zheng, Z.A., Xiao, H.W. (2018). Energy efficient improvements in hot air drying by controlling relative humidity based on Weibull and Bi-Di models. Food and Bioproducts Processing, 111: 20-29. https://doi.org/10.1016/j.fbp.2018.06.002

[20] Corzo, O., Bracho, N., Alvarez, C., Rivas, V., Rojas, Y. (2008). Determining the moisture transfer parameters during the air‐drying of mango slices using Biot-Dincer Numbers Correlation. Journal of Food Process Engineering, 31(6): 853-573. https://doi.org/10.1111/j.1745-4530.2007.00194.x

[21] Getahun, E., Delele, M.A., Gabbiye, N., Fanta, S.W., Vanierschot, M. (2021). Studying the drying characteristics and quality attributes of chili pepper at different maturity stages: Experimental and mechanistic model. Case Studies in Thermal Engineering, 26: 101052. https://doi.org/10.1016/j.csite.2021.101052.

[22] Tzempelikos, D.A., Vouros, A.P., Bardakas, A.V., Filios, A.E., Margaris, D.P. (2014). Case studies on the effect of the air drying conditions on the convective drying of quinces. Case Studies in Thermal Engineering, 3: 79-85. https://doi.org/10.1016/j.csite.2014.05.001

[23] Guiné, R.P.F., Henrriques, F., João Barroca, M. (2012). Mass transfer coefficients for the drying of pumpkin (Cucurbita moschata) and dried product quality. Food and Bioprocess Technology, 5: 176-183. https://doi.org/10.1007/s11947-009-0275-y

[24] Liu, X., Hou, H., Chen, J. (2013). Applicability of moisture transfer parameters estimated by correlation between Biot number and lag factor (Bi-G correlation) for convective drying of eggplant slices. Heat and Mass Transfer, 49: 1595-1601. https://doi.org/10.1007/s00231-013-1200-5

[25] Dincer, I., Dost, S. (1996). A modelling study for moisture diffusivities and moisture transfer coefficients in drying of solid objects. International Journal of Energy Research, 20(6): 531-539. https://doi.org/10.1002/(SICI)1099-114X(199606)20:6<531::AID-ER171>3.0.CO;2-6

[26] Mrkić, V., Ukrainczyk, M., Tripalo, B. (2007). Applicability of moisture transfer Bi-Di correlation for convective drying of broccoli. Journal of Food Engineering, 79(2): 640-646. https://doi.org/10.1016/j.jfoodeng.2006.01.078

[27] Niamnuy, C., Devahastin, S., Soponronnarit, S., Raghavan, G.V. (2008). Modeling coupled transport phenomena and mechanical deformation of shrimp during drying in a jet spouted bed dryer. Chemical Engineering Science, 63(22): 5503-5512. https://doi.org/10.1016/j.ces.2008.07.031