Magnetic Resonance Imaging Measurements in Engineering Science

Magnetic Resonance Imaging Measurements in Engineering Science

Mesures par Imagerie de Résonance Magnétique En Sciences Pour l'Ingénieur

Jean-Christophe PerrinSébastien Leclerc Maude Ferrari Christian Moyne Didier Stemmelen 

Université de Lorraine, CNRS, LEMTA, F-54000 Nancy, France

Corresponding Author Email: 
jean-christophe.perrin@univ-lorraine.fr
Page: 
197-204
|
DOI: 
https://doi.org/10.18280/i2m.190304
Received: 
22 October 2019
|
Revised: 
10 March 2020
|
Accepted: 
18 March 2020
|
Available online: 
1 June 2020
| Citation

© 2020 IIETA. This article is published by IIETA and is licensed under the CC BY 4.0 license (http://creativecommons.org/licenses/by/4.0/).

OPEN ACCESS

Topical Collection
Abstract: 

Magnetic Resonance Imaging is used here to study four phenomena: two-phase water/oil flow in porous media, rheology of fiber suspensions, natural convection in complex fluids and water diffusion in polymer membranes. These studies required the use or development of appropriate devices to maintain controlled external conditions in terms of mechanical stress, temperature or humidity. This article focuses on the instrumentation and methods used to perform MRI measurements on these systems.

RÉSUMÉ :

L’Imagerie par Résonance Magnétique est utilisée ici pour l’étude de quatre phénomènes: l’écoulement diphasique eau/huile dans des milieux poreux modèles, le cisaillement de suspensions de fibres, la convection dans des fluides complexes et la diffusion de l’eau dans des membranes polymères. Ces études ont nécessité l’utilisation ou le développement de dispositifs adaptés, permettant de maintenir des conditions externes contrôlées en termes de contrainte mécanique, température ou hygrométrie. Cet article met l’accent sur l’instrumentation et les méthodes mises en œuvre pour mener à bien des mesures d’IRM sur ces systèmes.

Keywords: 

diffusion, magnetic resonance imaging, MRI, NMR, nuclear magnetic resonance, porous media, rheology, transport phenomena

Mots-clés :

diffusion, imagerie par résonance magnétique, IRM, milieux poreux, phénomènes de transport, résonance magnétique nucléaire, rhéologie, RMN 

1. Introduction

Le champ d’application de la Résonance Magnétique Nucléaire (RMN) est vaste : elle est utilisée couramment comme méthode spectroscopique d’analyse en chimie, pour la résolution de structures d’échantillons solides et biologiques ou encore, plus récemment, pour des études métaboliques. Le grand public connaît l’existence de la RMN par les images anatomiques et fonctionnelles dans le domaine médical. Si ces méthodes ont conquis une grande variété d’utilisateurs, c’est parce qu’elles donnent accès à des paramètres à la fois à l’échelle moléculaire et macroscopique et qu’elles permettent de suivre des phénomènes dans le temps. L’imagerie par résonance magnétique (IRM) permet notamment d’accéder aux hétérogénéités structurales à l’échelle de quelques centaines de microns, aux cartographies de concentration, de vitesse, voire de température.

Alors que l’IRM est utilisée de façon efficace dans des systèmes du génie civil et de l’agroalimentaire [1], nous développons ici quelques exemples d’études dans le domaine des sciences pour l’ingénieur au sens large : transport en milieux poreux, rhéologie de fluides complexes et transport d’eau dans des membranes polymères. Ces études ont en commun de mettre en œuvre des appareillages et méthodologies dédiés aux objets et aux conditions expérimentales.

2. Spectrom̀ѐtres Utilisés

Les expériences ont été réalisées sur deux spectromètres (Figure 1), opérant à des champs magnétiques de 2.34 Teslas (Figure 1a. Bruker Biospec 24/40, 100 MHz) et 14.1 Teslas (Figure 1b. Bruker AVANCE III à large entrefer, 600 MHz). Le premier appareil est un imageur à axe horizontal présentant un diamètre 20 cm ou 6 cm, selon la configuration. De par son grand volume utile, il offre de bonnes possibilités d’instrumentation : régulation de température, d’hygrométrie, installation de thermocouples. Il peut en outre être traversé par une boucle de circulation de fluides, ce qui permet l’étude d’écoulements. Le second, à axe vertical, peut lui aussi être traversé par des fluides et offre un diamètre maximum utile de 4 cm. Il est équipé d’une sonde à forts gradients de champ magnétique, permettant des mesures de micro-imagerie et de cartes 3D de coefficient de diffusion ou de vitesse.

(a) Imageur à axe horizontal. Fréquence de travail: 100 MHz

(b) Imageur à axe vertical. Fréquence de travail: 600 MHz

Figure 1. Imageurs IRM utilisés pour les études

3. Écoulements Diphasiques En Milieux Poreux

L’étude des écoulements diphasiques en milieu poreux revêt un intérêt considérable dans l’industrie pétrolière (estimation des réserves exploitables, optimisation des techniques de récupération…) mais également dans le secteur de l’industrie chimique (réacteurs catalytiques, séparation et extraction) ou dans le domaine de l'hydrogéologie (pollution des aquifères par les NAPL). Ceci explique l'importance des travaux visant à améliorer la description des écoulements multiphasiques en milieu poreux. En particulier, l'écoulement simultané de deux fluides non miscibles (eau-huile) dans un milieu poreux n'est pas toujours bien décrit par la loi de Darcy généralisée qui ne prend en compte que la saturation en eau-huile en tant que variable descriptive supplémentaire.

En utilisant la technique d’IRM, nous avons cherché à étudier le déplacement de deux fluides non miscibles, l’eau et l’huile, dans un milieu poreux en examinant les effets simultanés des forces de gravité, de viscosité et de tension superficielle [2]. Il est connu que le caractère mouillant ou non-mouillant de chacun des fluides, à l’égard de la phase solide composant le milieu poreux, est un facteur important et joue par exemple un rôle essentiel dans la récupération assistée des hydrocarbures. Nous nous sommes intéressés plus particulièrement à la dynamique du front de déplacement eau-huile, à sa déformation et au piégeage de l’huile.

L’IRM a été utilisée pour observer expérimentalement le déplacement de l’huile par de l’eau dans des milieux poreux modèles, à savoir des colonnes cylindriques de diamètre 34 mm et de longueur 100 mm constituées de billes de verre, de billes en polystyrène ou de sable compacté. L’eau est injectée par le bas à l’aide d’un pousse-seringue et chasse l’huile vers le haut. La technique IRM utilisée a consisté à diluer une faible quantité de chlorure de manganèse (MnCl2) dans l’eau injectée afin d’en raccourcir les temps de relaxation RMN et d’éteindre très rapidement le signal de l’eau. Ceci permet d’obtenir des images IRM où le signal observé provient uniquement de l’huile (en vert clair sur les images) et non de l’eau (en noir sur les images). Les images ont été obtenues sur le spectromètre fonctionnant à 600 MHz et équipé d’un dispositif de micro-imagerie. Elles correspondent à des coupes d’une épaisseur de 1 mm, subdivisées en pixels de taille 0.2 mm x 0.2 mm. La durée d’acquisition des images est d’environ 4 minutes pour les images dans le plan vertical. Huit coupes horizontales, espacées entre elles de 4 mm, sont également réalisées simultanément sur une durée totale d’environ 4 minutes. Ces durées d’acquisition sont relativement courtes au regard de la durée complète de l’expérience (une vingtaine d’heures). L’ensemble de ces images nous donne une information très complète de la dynamique de progression des deux fluides dans le milieu poreux.

Figure 2. Coupes verticales d’une expérience de déplacement eau-huile dans un modèle de billes en polystyrène (diamètre 0.6 mm)

Figure 3. Coupes verticales d’une expérience de déplacement eau-huile dans une colonne de sable compacté (grains entre 0.05 mm et 0.16 mm)

Les résultats obtenus (Figures 2 et 3) montrent des comportements très différents suivant la mouillabilité des surfaces solides, mais également une très grande sensibilité aux effets d’hétérogénéité du milieu poreux (variation de granulométrie, présence de fractures, chemins préférentiels...). L’outil IRM est aussi d’une grande utilité pour obtenir une description statistique et quantitative de la répartition des deux fluides dans la matrice poreuse et notamment pour évaluer la fraction résiduelle d’huile en fin d’essai. Nous avons également mené des essais pour quantifier l’influence de l’ajout de polymères dans l’eau pour en augmenter la viscosité ou de tensio-actifs pour modifier les effets de capillarité, et notamment en vue d’une comparaison des fractions résiduelles d’huile.

4. Rhéologie de Suspensions de Fibres

Les suspensions de fibres non-browniennes sont couramment utilisées dans des procédés industriels, en particulier dans la fabrication du papier et l’industrie du textile. La caractérisation de la rhéologie de ces suspensions n’est pas triviale. En effet, elles ont un comportement thixotrope, c’est-à-dire que leur viscosité varie au cours du temps lorsqu’elles sont sous contrainte. La rhéologie globale obtenue classiquement avec un rhéomètre n’est pas suffisante pour prédire la courbe d’écoulement d’un tel système. Afin d’avoir accès à la rhéologie locale, et en raison de l'opacité des suspensions de fibres, les profils de vitesse sont obtenus par mesures IRM. L’étude est menée pour différents taux de cisaillement et fractions volumiques [3].

Les fibres étudiées sont des fibres textiles teintées en polyamide (Figure 4). Elles mesurent 500 µm et ont un diamètre de 18 µm. Elles sont ajoutées à un mélange eau / glycérol isodense. Les suspensions utilisées dans cette étude ont une fraction volumique f comprise entre 0 et 0.164. L’étude de l’écoulement de ces suspensions se fait dans un dispositif de Taylor-Couette à large entrefer (Figure 5) où seul le cylindre intérieur tourne. Il a été spécialement conçu pour être utilisé à la fois en IRM (matériaux non-magnétiques) et dans un rhéomètre. Il est ainsi possible de comparer les mesures de rhéologie globale et locale dans les mêmes conditions expérimentales.

L’ensemble du système d’instrumentation est décrit sur la Figure 5. Les profils de vitesse [4] sont acquis avec le spectromètre Bruker Avance III 600 équipé d’un insert de gradient de champ magnétique pouvant délivrer jusqu’à 45 G/cm. Nous utilisons une sonde de micro-imagerie commerciale, équipée d’un résonateur en quadrature de 40 mm de diamètre. La séquence utilisée est de type spin-écho avec encodage de la vitesse [5, 6]. Les profils obtenus ont une résolution spatiale d'environ 30 μm. La rotation est assurée par un dispositif de Rhéo-RMN fabriqué par Magritek.

(a)

(b)

Figure 4. a) Fibres de textile teintées en polyamide. b) Image au microscope des fibres (d = 18 µm, l = 500 µm)

Figure 5. Spectromètre équipé d’un système de rhéologie et cellule de Taylor-Couette en plastique compatible IRM

(a)                                               (b)

(c)                                              (d)

Figure 6. (a) Profils de vitesse obtenus par IRM pour différentes fractions volumiques avec une vitesse de 9 rot/min. (b) Profils de vitesse obtenus par IRM pour une fraction volumique à différentes vitesses de rotation (vitesses croissantes (-) et décroissantes (--)). (c) Variation de la contrainte de cisaillement en fonction de la fraction volumique. (d) Variation de la viscosité en fonction du taux de cisaillement

Le protocole expérimental est le suivant: la vitesse angulaire suit une rampe croissante (6, 9, 15, 21, 30 et 42 tr/mn) puis une rampe décroissante dans la même gamme de vitesse. Chaque étape est maintenue jusqu'à ce que l'état stationnaire soit atteint et un profil de vitesse est acquis (Figure 6(a)). Nous avons ainsi pu mettre en évidence que pour des faibles concentrations (f < 0.017), la suspension se comportait comme un fluide newtonien : tout le fluide est en écoulement, les fibres n’ont pas d’interaction entre elles et la viscosité est constante. Pour des fractions volumiques plus élevées (0.017 < f < 0.05), le fluide devient rhéofluidifiant et se comporte comme un fluide à seuil (écoulement au-dessus d’une certaine contrainte). Pour des fractions volumiques supérieures à 0.117 seule une partie du fluide est en écoulement, l’autre se trouve figée (Figure 6(b)). Les fibres s’organisent et s’orientent ce qui confère à la suspension un caractère irréversible. Comme les fibres sont non-browniennes, l’orientation qu’elles ont prise lors du taux de cisaillement γ le plus élevé, est conservée au cours de la phase décroissante de la vitesse du cylindre intérieur. Ainsi, la zone d'écoulement est fixe pendant la décroissance de la rampe de vitesse. Enfin lorsque la fraction volumique atteint 0.159, le système se bloque (« jamming transition ») à des taux de cisaillement élevés. C’est ce que montre la Figure 6 (c) où la contrainte de cisaillement t augmente brutalement. La viscosité apparente de la suspension diverge (Figure 6 (d)) et on atteint alors la fraction volumique critique [7].

Cet exemple démontre l’utilité de l’IRM pour caractériser la rhéologie locale d’une suspension de fibres non-browniennes à partir de profils de vitesse.

5. Observation de la Convection Naturelle Dans Les Fluides Complexes

L’étude des transferts thermiques par conduction et convection représente un vaste champ d’applications industrielles et environnementales. L’apparition et l’évolution des instabilités thermo-convectives ainsi que leur dynamique représentent un intérêt majeur car les transferts thermiques sont améliorés lors du passage du régime conductif au régime convectif. Dans cette étude, la configuration est celle de Rayleigh-Bénard, pour laquelle l’origine de l’instabilité convective est due à un gradient vertical de température entre deux plaques horizontales. Lorsque la différence de température est faible et le fluide visqueux, le régime est purement conductif et il n’y a pas d’écoulement du fluide. Passé une certaine différence de température, des structures convectives se forment et l’écoulement démarre. La forme de ces structures (polygones, rouleaux, bifurcations…) va dépendre des propriétés du fluide considéré ainsi que de l’écart de température entre les deux plaques. L’IRM est une technique intéressante pour étudier ce phénomène car il est possible de cartographier différentes grandeurs physiques caractéristiques, notamment la vitesse d’écoulement [8] et la température [9].

(a)                                                 (b)

Figure 7. Schéma du dispositif expérimental (a) et disposition dans l’antenne de mesure (b)

Afin de réaliser ces expériences, nous avons construit un dispositif (Figure 7) qui s’insère dans une antenne IRM commerciale (Doty Scientific Inc.) de 15.5 cm de diamètre. Ce dispositif est composé d’une cavité centrale cylindrique en PMMA de 12 cm de diamètre et de 2 cm de hauteur contenant le fluide à observer. De chaque côté de la cavité, nous avons disposé une enceinte permettant la circulation des fluides nécessaire à la régulation de la température. Des plaques en saphir assurent la conduction thermique entre la cavité et les fluides en circulation. Des thermocouples sont placés aux entrées et sorties afin de contrôler la température de ces fluides. Les matériaux ont été choisis afin de répondre aux contraintes de l’IRM : ils doivent être amagnétiques à proximité de l’imageur et non conducteurs dans la zone de détection. Les plaques en saphir ont été préalablement testées afin de vérifier qu’elles n’entrainent pas de distorsion des images à leur surface. En effet, les mesures aux parois du dispositif sont critiques si l’on souhaite quantifier correctement les transferts thermiques dans le système. L’ensemble est inséré dans le spectromètre à axe horizontal.

Plusieurs paramètres IRM sont sensibles à la température et permettent donc de cartographier cette grandeur [10-12]:

(1) L’intensité du signal suit une loi de Curie et est donc inversement proportionnelle à la température. Cependant, comme la variation est faible aux alentours de l’ambiante (0.3 % par degré) et que de nombreux autres paramètres peuvent influer, cette méthode s’avère peu précise et n’est donc généralement pas utilisée.

(2) Les coefficients de diffusion des molécules suivent la loi de Stokes-Einstein,

$D=k_{B} T /(6 \pi r \mu)$      (1)

avec kB la constante de Boltzmann, T la température, r le rayon hydrodynamique des molécules et μ la viscosité du fluide. On peut par conséquent obtenir une cartographie de température en imageant ce paramètre [13]. Cette méthode n’est pas utilisable dans le cas d’un fluide en mouvement car ce que l’on mesure alors n’est pas un coefficient de diffusion mais de dispersion, qui combine les effets de diffusion et d’advection. La valeur obtenue est alors plus élevée que dans un fluide au repos et il est impossible de remonter au coefficient de diffusion d’origine.

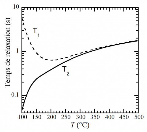
(3) Les temps de relaxation RMN, qui sont des grandeurs caractérisant le temps de retour à l’équilibre du système de moments magnétiques après une perturbation, sont sensibles à la température. Dans le cas d’un système simple à deux moments magnétiques, on obtient une bonne approximation de la dépendance à la température des temps de relaxation T1 (relaxation longitudinale) et T2 (relaxation transversale) en utilisant le modèle BPP [14]:

$\frac{1}{T_{1}}=\left(\frac{\mu_{0}}{4 \pi}\right)^{2} \frac{3}{10 r^{6}} \gamma^{4} \hbar^{2}\left[\frac{\tau_{c}}{1+\omega_{0}^{2} \tau_{c}^{2}}+\frac{4 \tau_{c}}{1+4 \omega_{0}^{2} \tau_{c}^{2}}\right]$

$\frac{1}{T_{2}}=\left(\frac{\mu_{0}}{4 \pi}\right)^{2} \frac{3}{20 r^{6}} \gamma^{4} \hbar^{2}\left[3 \tau_{c}+\frac{5 \tau_{c}}{1+\omega_{0}^{2} \tau_{c}^{2}}+\frac{2 \tau_{c}}{1+4 \omega_{0}^{2} \tau_{c}^{2}}\right]$

$\tau_{c}=\tau_{c 0} \exp \left(\frac{\Delta E}{k_{B} T}\right)$       (2)

avec r la distance inter spins, tc le temps de corrélation du mouvement moléculaire, w0 = γB0 , γ le rapport gyromagnétique du noyau étudié, μ0 la perméabilité magnétique du vide et ħ= h/(2π) la constante de Planck réduite. La Figure 8 montre l'évolution des temps de relaxation pour des valeurs typiques de r et τc.

Figure 8. Simulation par le modèle BPP de l’évolution des temps de relaxation en fonction de la température

Une cartographie d’un de ces deux paramètres peut donc donner une bonne image de température [15-17].

(4) la fréquence de résonance du proton peut fortement varier en fonction de la température, en fonction du fluide utilisé. Ceci est particulièrement vrai en présence de liaisons hydrogènes ou si le fluide contient des ions paramagnétiques. La conséquence sur l’image est une variation de la phase du signal RMN des pixels. Cette technique est principalement utilisée sur des fluides aqueux et est la méthode de choix en imagerie médicale [18-20] où la présence fréquente de produits de contraste paramagnétiques améliore la précision. Par contre, dans le cas d’autres fluides, la dépendance à la température peut être très faible et rendre la méthode inutilisable. De plus, ce qui est mesuré est une différence de phase par rapport à une référence à une température donnée. Il y a donc besoin d’une image de référence acquise préalablement, ce qui peut poser des problèmes en cas d’expériences longues car la référence nécessite parfois d’être acquise plusieurs jours avant. Dans ce cas, les instabilités de l’appareil d’IRM et notamment du champ magnétique peuvent engendrer des erreurs de mesure.

Dans le cadre de cette étude, la méthodologie a été testée sur un fluide newtonien, le glycérol, afin de mettre au point les cartographies de vitesse et de température [21]. La méthode la plus adaptée ici est la mesure des temps de relaxation (iii), les autres méthodes s’avérant peu précises dans ce cas spécifique. On peut noter que sur la Figure 8, pour le temps T1, la courbe n’est pas monotone et présente un minimum. À une valeur de T1 correspond alors deux valeurs de température, sans que l’on puisse les discriminer. Dans le cas du glycérol, ce minimum est aux alentours de 25°C. Pour éviter ce problème, dans le cas de ce fluide, la cartographie de température a été faite à l’aide du temps de relaxation transversale T2. Nous avons obtenu un excellent accord entre les mesures de vitesse et de température (Figure 9). La précision des mesures de température est de l’ordre du degré. Nous avons aussi utilisé ce dispositif avec des fluides complexes tels que le xanthane [22], qui présente un caractère rhéofluidifiant. Dans les deux cas, nous avons pu observer l’apparition de structures convectives dont la forme varie avec la température. Dans le cas du glycérol, il apparait d’abord des rouleaux aux faibles écarts de températures, puis des bifurcations ont lieu lorsque cet écart augmente. Dans le cas du xanthane, en plus de ces structures, on observe la présence de polygones lorsque l’écart de température est très faible, avant l’apparition de rouleaux.

Figure 9. Superposition des cartes de vitesse et de température dans du glycérol pour un écart de température de 13.75°

6. Diffusion de L’Eau Dans Les Membranes Electrolytes Pour Piles a Combustible

L’eau joue un rôle crucial dans le fonctionnement des piles à combustible à membrane échangeuse de protons (PEMFC). Il s’agit en effet à la fois du principal produit de la conversion énergétique dans la pile et du milieu de transport ionique (H+) à travers la membrane électrolyte. Actuellement, les membranes à base de polymère PFSA (Perfluoro Sulfonic Acid Membranes, dont le Nafion®) sont les plus utilisées car elles présentent à la fois de bonnes propriétés de transport vis-à-vis des ions H+ et une bonne stabilité chimique et mécanique. Depuis plusieurs années, nous utilisons des méthodes RMN et IRM pour étudier le transport d’eau dans ces matériaux et comprendre en particulier les relations structure/transport [23, 24] ainsi que l’influence de vieillissements sur les propriétés [25]. Le polymère Nafion étant perfluoré, il représente un bon système d’étude pour la RMN car le signal détecté provient uniquement de l’eau dans la membrane, non des chaînes polymères. La faible épaisseur des membranes (20 à 250 mm), par contre, représente une difficulté expérimentale et l’accès aux propriétés de l’eau dans une membrane unique passe nécessairement par le développement de bobines radiofréquences adaptées à la géométrie 2D du système. C’est le cas des spires de surface utilisées pour la mesure du coefficient d’autodiffusion de l’eau dans des membranes sous traction (Figure 10(a)) et pour l’imagerie de la teneur en eau à travers la membrane (Figure 10(d)). Ces bobines sont des circuits résonants servant ici à la fois à l’excitation du système et à la réception du signal de résonance magnétique. La résistance du circuit doit être de 50 W, valeur de l’impédance du câble coaxial. L’inductance et la résistance sont utilisées pour réaliser l’«accord» de la sonde. Le facteur de qualité Q de la spire est lié à la sensibilité de la réception et est déterminé notamment par la longueur des impulsions radiofréquences et le temps mort précédent l’acquisition.

Dans le cas de la mesure de l’autodiffusion de l’eau dans les membranes sous traction, la spire (Æ = 10 mm) est positionnée sous l’échantillon étiré par deux mords coulissants (Figure 10(b)). L’application d’impulsions de gradients de champ magnétique (g) intenses le long de différents axes permet de caractériser l’anisotropie de la diffusion dans la structure contrainte. La Figure 10(c) présente ainsi l’évolution du coefficient de diffusion normalisé en fonction de la direction de mesure q et pour différent rapports d’étirement l et montre l’accélération de la diffusion le long de la direction d’étirement E et son ralentissement dans la direction transverse T [23].

Figure 10. Dispositifs expérimentaux pour la mesure du coefficient d’autodiffusion (a), (b), (c) et de l’évolution temporelle de la teneur en eau (d) et (e) dans une membrane polymère électrolyte de pile à combustible

Pour réaliser l’imagerie de la teneur en eau au travers du plan d’une membrane fine avec de bonnes résolutions spatiales (~ 6 mm/point) et temporelles (< 1 min/profil) une spire en cuivre de diamètre 2 cm a été gravée sur un support en Teflon® (Figure 10(d)) [26]. Les faces supérieures et inférieures de la membrane peuvent être mises au contact de flux d’air humides à hygrométrie contrôlée grâce à des plaques en PMMA dans lesquelles sont gravés des canaux d’alimentation en serpentin. La Figure 10(e) montre l’évolution temporelle de profils de teneur en eau dans une membrane de 250 mm d’épaisseur initialement sèche et soumise à t = 0 à un flux d’air humide à HR ~ 90 % sur sa face supérieure (à gauche sur la figure). L’analyse de la forme des profils donne accès à l’évolution du coefficient de diffusion en fonction de la teneur en eau de la membrane. Cette relation peut ensuite être utilisée pour alimenter les modèles de transport des PEMFC en fonctionnement.

7. Conclusions

Les exemples développés dans cet article demontrent les avantages de l’utilisation de l’IRM pour les mesures non invasives et non destructives de concentration, de vitesse, de température et de coefficient de diffusion dans des systèmes complexes et souvent opaques à la lumière visible. Ces avantages font de l’IRM une modalité d’imagerie adaptée à l’étude d’un nombre important de phénomènes et de systèmes en sciences pour l’ingénieur. De plus, l’instrumentation radiofréquence peut être dévellopée dans certains cas pour s’adapter à la géométrie et à la taille de l’échantillon dans le but d’augmenter la sensibilité de l’expérience ou de localiser la mesure. Les dispositifs expérimentaux, par contre, même s’ils peuvent être de taille conséquente (jusqu’à plusieurs dizaines de centimètres) et instrumentés, doivent être compatibles avec la présence de champ magnétiques intenses c’est-à-dire qu’ils ne peuvent pas être usinés dans des matériaux magnétiques. Les matériaux autour de la zône de mesure doivent en outre être fabriqués dans des matériaux non conducteurs de l’électricité, afin de ne pas écranter les champ radiofréquences ni introduire d’artefacts sur les images. Dans de nombreux cas, les techniques récentes d’impression 3D permettent de contourner efficacement ce dernier obstacle.

  References

[1] Mariette, F., Rodts, S., Faure, P.F., Moucheront, P., Musse, M., Davenel, A., Collewet, G., Lucas, T. (2012). L’IRM s’aventure hors des sentiers du monde médical. L’actualité Chimique, 364-365.

[2] Fannir, J., Leclerc, S., Panfilova, I., Stemmelen, D. (2018). Two-phase displacement in porous media studied By MRI techniques. 16th European Conference on the Mathematics of Oil Recovery (ECMOR XVI), Sep 2018, Barcelone, Spain, pp. 1-13. http://dx.doi.org/10.3997/2214-4609.201802188

[3] Jenny, M., Ferrari, M., Gaudel, N., de Richter, S.K. (2018). Rheology of fiber suspensions using MRI. EPL, 121(3): 34003. http://doi.org/10.1209/0295-5075/121/34003

[4] Rodts, S., Bertrand, F., Jarny, S., Poullain, P., Moucheront, P. (2004). Développements récents dans l’application de l’IRM à la rhéologie et à la mécanique des fluides. C.R. Chimie, 7(3-4): 275-282. http://dx.doi.org/10.1016/j.crci.2003.11.007

[5] Hanlon, A.D., Gibbs, S.J., Hall, L.D., Haycock, D.E., Frith, W.J., Ablett, S. (1998). Rapid MRI and velocimetry of cylindrical Couette flow. Magnetic Resonance Imaging, 16(8): 953-961. http://dx.doi.org/10.1016/S0730-725X(98)00089-7

[6] Raynaud, J.S., Moucheront, P., Baudez, J.C., Bertrand, F., Guilbaud, J.P., Coussot, P. (2002). Direct determination by nuclear magnetic resonance of the thixotropic and yielding behavior of suspensions. Journal of Rheology, 46(3): 709-732. http://dx.doi.org/10.1122/1.1463420

[7] Fall, A., Bertrand, F., Hautemayou, D., Méziere, C., Moucheront, P., Lemaitre, A., Ovarlez, G. (2015). Macroscopic discontinuous shear thickening versus local shear jamming in cornstarch. Physical Review Letters, 114(9): 098301. http://dx.doi.org/10.1103/PhysRevLett.114.098301

[8] Callaghan, P.T. (1999). Rheo-NMR: Nuclear mag-netic resonance and the rheology of complex fluids. Reports on Progress in Physics, 62(4): 599-670. http://dx.doi.org/10.1088/0034-4885/62/4/003

[9] Rieke, V., et Pauli, K.B. (2008). Echo combination to reduce proton resonance frequency (PRF) thermometry errors from fat. Journal of Magnetic Resonance Imaging, 27(3): 673-677. http://doi.org/10.1002/jmri.21238

[10] Quesson, B., de Zwart, J.A., Moonen, C.T. (2000). Magnetic resonance tem-perature imaging for guidance of thermotherapy. Journal of Magnetic Resonance Imaging, 12: 525-533. http://dx.doi.org/10.1002/1522-2586(200010)12:4%3C525::AID-JMRI3%3E3.0.CO;2-V

[11] Rieke, V., Pauli, K.B. (2008). MR thermometry. Journal of Magnetic Resonance Imaging, 27(2): 376-390. http://dx.doi.org/10.1002/jmri.21265

[12] Turner, R., Streicher, M. (2012). Measuring tem-pera¬ture using MRI: a powerful and versatile technique. Magnetic Resonance Materials in Physics, Biology and Medicine, 25: 1-3. http://doi.org/10.1007/s10334-011-0299-y

[13] Delannoy, J., Chen, C.N., Turner, R., Levin, R.L., Le Bihan, D. (1991). Noninvasive temperature imaging using diffusion MRI. Magnetic Resonance in Medi-cine, 19(2): 333-339. http://dx.doi.org/10.1002/mrm.1910190224

[14] Bloembergen, N., Purcell, E.M., Pound, R.V. (1948). Relaxation effects in nuclear magnetic resonance absorption. Physical Review, 73(7): 679-712. http://doi.org/10.1103/PhysRev.73.679

[15] Parker, L. (1984). Applications of NMR imaging in hy¬perthermia: an evaluation of the potential for localized tissue heating and noninvasive temperature monitoring. IEEE Reviews in Biomedical Engineering. 31(1): 161-167. http://dx.doi.org/10.1109/TBME.1984.325382

[16] Weber, M., Kimmich, R. (2002). Rayleigh-Bénard percolation transition in thermal convection in porous media: Computational fluid dynamics, NMR velocity mapping, NMR temperature mapping. Physical Review E, 66(Part 2): 056301. http://doi.org/10.1103/PhysRevE.66.056301

[17] Skuntz, M.E., Perera, D., Maneval, J.E., Seymour, J.D., Anderson, R. (2018). Melt-front propagation and velocity profiles in packed beds of phase-change materi-als measured by magnetic resonance imaging. Chemical Engineering Science, 190: 164-172. http://dx.doi.org/10.1016/j.ces.2018.06.019

[18] Ishihara, Y., Calderon, A., Watanabe, H., Okamoto, K., Suzuki, Y., Kuroda, K., Suzuki, Y. (1995). A precise and fast tem-perature mapping using water proton chemical shift. Mag-netic Resonance in Medicine, 34(6): 814-823. http://dx.doi.org/10.1002/mrm.1910340606

[19] Poorter, J.D., Wagter, C.D., Deene, Y.D., Thomsen, C., Ståhlberg, F., Achten, E. (1995). Noninvasive MRI thermometry with the proton resonance frequency (PRF) method: In vivo results in human muscle. Magnetic Resonance in Medicine, 33(1): 74-81. http://doi.org/10.1002/mrm.1910330111

[20] Shapiro, E.M., Borthakur, A., Shapiro, M.J., Reddy, R., Leigh, J.S. (2002), Fast MRI of RF heat-ing via phase difference mapping. Magnetic Resonance in Medicine, 47(3): 492-498. http://dx.doi.org/10.1002/mrm.10067

[21] Leclerc, S., et Métivier, C. (2018). MRI temperature and velocity measurements in a fluid layer with heat transfer. Experiments in Fluids, 59(2): 34. http://doi.org/10.1007/s00348-018-2494-3

[22] Darbouli, M., Métivier, C., Leclerc, S., Nouar, C., Bouteera, M., Stemmelen, D. (2016). Natural convection in shear-thinning fluids: Experimental investigations by MRI. International Journal of Heat and Mass Transfer, 95: 742-754. http://doi.org/10.1016/j.ijheatmasstransfer.2015.12.056

[23] Klein, M., Perrin, J.C., Leclerc, S., Guendouz, L., Dillet, J., Lottin, O. (2013). Anisotropy of Water Self-Diffusion in a Nafion Membrane under Traction. Macromol-ecules, 46(23): 9259-9269. http://doi.org/10.1021/ma401511t

[24] El Kaddouri, A., Perrin, J.C., Colinart, T., Moyne, C., Leclerc, S., Guendouz, L., Lottin, O. (2016). Impact of a compressive stress on water sorption and diffusion in lonomer membranes for fuel cells. A H-1 NMR Study in Vapor Equilibrated Nafion. Macromolecules, 49(19): 7296-7307. https://doi.org/10.1021/acs.macromol.6b01625

[25] Robert, M., El Kaddouri, A., Perrin, J.C., Leclerc, S., Lottin, O. (2018). Towards a NMR-based method for characterizing the degradation of nafion XL Membranes for PEMFC. Journal of the Electrochemical Society, 165(6): F3219-F3216. http://dx.doi.org/10.1149/2.0231806jes

[26] Klein, M., Perrin, J.C., Leclerc, S., Guendouz, L., Dillet, J., Lottin, O. (2013). Spatially and temporally resolved measurement of water distribution in nafion using NMR imaging. ECS Transactions, 58(1): 283-289. http://dx.doi.org/10.1149/05801.0283ecst