Medicinal Plants Recognition Using Deep Transfer Learning Models

Medicinal Plants Recognition Using Deep Transfer Learning Models

Kawther A. Sahib* Bushra K. Oleiwi Ahmed R. Nasser

Control and System Engineering Department, University of Technology-Iraq, Baghdad 19006, Iraq

Corresponding Author Email: 
kawther.a.sahib@uotechnology.edu.iq
Page: 
1501-1510
|
DOI: 
https://doi.org/10.18280/ijdne.190504
Received: 
30 May 2024
|
Revised: 
15 July 2024
|
Accepted: 
24 July 2024
|
Available online: 
29 October 2024
| Citation

© 2024 The authors. This article is published by IIETA and is licensed under the CC BY 4.0 license (http://creativecommons.org/licenses/by/4.0/).

OPEN ACCESS

Abstract: 

Around the world, a considerable number of people are still relying on herbal treatments, which have been used for thousands of years to treat a variety of illnesses. Since the conventional method requires long time and high expert to identify medicinal plants correctly, this study intends to discover effective methods for the fast, high-accuracy, and least complexity identification system of medicinal plants. It became necessary to exploit the recent developments in deep learning, transfer learning and image processing in computer vision. Transfer learning models are pretraind models, have been trained using a relatively large dataset thus, it decreases the training time and acheives better performance even on small amount of data. six of transfer learning models were evaluated in this study: Bit_s-r50x1, Inception_v3, Inception_ResNet_v2, Nasnet_large, ResNetv1_152 and mobilenet_v2_130_224. The dataset used in this paper is Indonesia Medicinal Plant dataset, it is balanced dataset includes 10,000 images for 100 classes of medicinal plants. All the models listed produced better results compared to earlier research done on the same dataset, wherease Bit_s-r50x1 achieved the best accuracy by 99.62% with a validation accuracy 92.20%, that showed 5.2% enhancement in validation accuracy compared to the state-of-the-art methods which examined 87.4% as highest validation accuracy by DenseNet121. These findings demonstrate that transfer learning significantly improves medicinal plant recognition accuracy. This advancement can streamline plant cataloging, aid in biodiversity preservation, and support the development of accessible mobile apps and diagnostic tools for researchers, healthcare professionals, and conservationists.

Keywords: 

computer vision, deep learning, image classification, medicinal plants, Nasnet_large

1. Introduction

The rapid progress in technology, specifically artificial intelligence, has made exploiting technology to automatically identify and classify medicinal plants essential considering their importance in protecting human health and preventing disease. The medicinal plants contain natural compounds, phytochemicals, vitamins, antioxidants, and minerals used as important components in pharmaceutical manufacturing [1, 2].

The number of plants in the world is approximately 350,000 species [3], varying in size, shape, and leaves, which makes the conventional identification is error-prone, slow, exhausting and needs an experienced specialist while plant identification through deep learning can be a method to reduce human errors and produce accurate results [4].

Musyaffa et al. [5] carried out study on identification of medicinal plants, used three transfer learning models: ResNet34 [6], DenseNet121 [7], VGG11_bn [8] and scratch model on a dataset of their made which is Indonesia Medicinal Plant dataset. The best accuracy achieved was 100% by DenseNet121 with a validation accuracy 87.4% then ResNet34 accuracy 99.82% and validation 85.65%, VGG11_bn accuracy was 96.33% and validation accuracy was 82% and the scratch model accuracy was 65.97% with validation 43.53%. By observing their work, it was noticed that the methods used had a high training accuracy with significantly lower validation accuracy which might indicate overfitting with complexity in terms of model and learning. Also, they didn't show their methods effectiveness by other performance metrices such as precision, recall and F1-score. Therefore, this study explores other transfer learning models in order to achieve more reliable results.

Deep learning models especially transfer learning in the current time is highly popular and widely utilized in many fields [9], seed Taxonomy by transfer learning [10], in the medical field, for example, it was used as a tool for automatic diagnosis of the COVID-19 [11-13] also used to build intelligent system aids the blind people to distinguish the objects around them [14] and so many applications. In the field of construction there are applications in which deep learning plays an important role as demand forecasting tool of industrial companies [15]. One of the widely used applications of deep learning in other fields is fingerprint recognition [16].

Below is a summary of our contributions of this study:

  1. Evaluation of various transfer learning models to create an automated framework for medicinal plant recognition.
  2. In order to improve the model performance, the hyperparameter of the suggested models are systematically modified and fine tuned.

The following of study is divided as follows: Section 2 reviews the related works. Section 3 expresses methodology and proposed method, Section 4 presents experimental results. Finally, the conclusion is discussed in the last section.

2. Related Works

Several methods have been used to identify medicinal plants. Bisen [17] suggested a convolutional neural network model that uses hidden layers such as convolutional, max pooling, dropout, and fully connected layers to learn plant features, such as leaf classification. Understanding the characteristics of the Swedish leaf dataset, which contains 15 tree classes, is necessary for the model to correctly predict the unknown plant with a 97% accuracy rate and the least amount of loss.

Roopashree and Anitha [18] illustrated two CNN models, Xception-SVM and Xception-SVM-BO using SVM as a machine learning classification system, and four CNN models, VGG16, VGG19, InceptionV3, and Xception with ANN as a classification system on DeepHerb dataset their own medicinal leaf dataset consisted of 2515 Images of 40 classes of herbs of India. Their proposed model achieved 97.5% accuracy, their dataset's efficiency was demonstrated.

Sachar and Kumar [19] employed an ensemble of deep learning models to identify medicinal plants automatically. The images of the medicinal leaves were taken from a Mendeley repository of medicinal leaf dataset.

Three classifiers namely: MobileNetV2, ResNet50 and InceptionV3 were used on 30 classes medicinal leaf dataset achieving 99.66% accuracy.

Malik et al. [20] designed and developed an automated system for real-time identification of medicinal plants that are present throughout the Borneo region. EfficientNet-B1-based deep learning model was modified and applied on public and private plant datasets. The model achieved Top-1 accuracy 84% on the first dataset and 87% on the second.

Azadnia et al. [21] proposed an intelligent vision-based system for herbal plants identification. The authors developed an automatic Convolutional Neural Network. For feature extraction they utilized CNN block and for feature classification, employed the classifier block. Three sets of definitions (64×64, 128×128, and 256×256 pixels) of images were used to test the solution for leaf recognition of five distinct medicinal plants. Consequently, the vision-based system was able to accomplish an accuracy of over 99.3%.

Musyaffa et al. [5] applied transfer learning models to classify types of Indonesian herbal plants. The pretrained models ResNet34, DenseNet121, VGG11_bn and scratch model were utilized on Indonesia Medicinal Plant Dataset and Vietnam Medicinal Plant public dataset. It was observed that the highest accuracy was achieved by DenseNet model which was 87.4% on Indonesia Medicinal Plant Dataset and 88.6% on Vietnam Medicinal Plant public dataset.

The objective of Roslan et al. [22] was to examine the implementation of (CNN) on Malaysian medicinal herbs datasets. Without augmentation, the average accuracy of the herbal data was 75%, while the average accuracy of the augmented data was 88%.

Based on Table 1 which summarize the previous works, there are some drawbacks like low accuracy, this study proposes to increase number of classes in the dataset or use full plant images instead of leaves only.

Table 1. Summary of related works

Paper ID

Application

Techniques

Dataset

Class

Plant Type

Accuracy

Drawback/Future Work

[17]

Recognition

CNN

Swedish leaf dataset

15

Tree leaves

97%

Implement on full plant dataset, increase number of classes in the dataset

[18]

Plant identification

CNN

DeepHerb-own dataset

40

Medicinal herbs leaves

97.5%

Implement on full plant dataset

[19]

Plant identification

MobileNetV2+InceptionV3 +ResNet50

The

medicinal leaf dataset

30

Medicinal plants’ leaves

99.66%

Implement on full plant dataset

[20]

Plant identification

EfficientNet-B1

PlantCLEF 2015

1000

Medicinal plants

84%

Low accuracy

UBD Botanical Garden Dataset

106

87%

[21]

Plant identification

CNN

Own dataset

5

Medicinal plants’ leaves

99.3%

Increase number of classes in the dataset

[5]

Recognition

DenseNet121

The Vietnam medicinal plant public

200

Medicinal plants

87.4%

Low accuracy

The Indonesia medicinal plant

100

88.6%

[22]

Recognition

CNN

own dataset

10

Medicinal herbs

88%

Low accuracy, increase number of classes in the dataset

3. Methodology

In this study, a transfer learning method is proposed for utilizing pre-trained models, trained on a large datasets. Thus, the cost and time of training new deep learning models are reduced. As shown in Figure 1, six steps are implemented in the workflow. At first, selecting a suitable dataset and the choice fell on Indonesia Medicinal Plant dataset [5] after that apply preprocessing techniques on the dataset, splitting it into 60% training data and 40% validation data. Then applying augmentation processes such as rotation, translation and zoom. The next step is the most important step which is selecting a pretrained model. The pretrained model is automatically extracts the features from the training data then validates and tests the validation data. Finally, competitive the best hyperparameters are selected by manual comprehensive experiments. The selected hyperparameters are displayed in Table 2 below.

Eventually, the medicinal plant will be recognized, and the performance will be measured by precision, f1 score, recall and accuracy metrics.

Figure 1. Block diagram of the proposed classification process

Table 2. Hyperparameter set (same for all 6 models)

#

Hyperparameter

Value

1

Batch size

16

2

Learning rate

0.001

3

Validation split

40%

4

Training epochs

25

5

Data augmentation

True

6

Fine-tuning

True

7

Loss function

CategoricalCrossentropy

8

Label smoothing

0.1

9

Momentum

0.9

3.1 Dataset description

Indonesia Medicinal Plant Dataset introduced by Musyaffa et al. [5] is balanced dataset have been utilized to train and evaluate the proposed model. This dataset contains 10,000 images with a total 100 classes of herbal plant in Indonesia, each class has a total 100 images most of them are collected from google images search. And the others resulted from augmentation processes such as horizontal flip, vertical flip for the sake of meet the criteria for each class. All the images are 128×128 pixels. Figure 2 represents six classes of this dataset. Indonesia Medicinal Plant dataset comprises images of various medicinal plants native to Indonesia, captured under different conditions and angles to ensure variability and robustness in the training process. This variability in imaging conditions helps to mimic real-world scenarios, enhancing the model's ability to generalize to new, unseen data.

Figure 2. Four images selected from six classes of Indonesia medicinal plant dataset

3.2 Model description

The study investigated six deep learning models; Bit_s-r50x1 [23], Inception_v3 [24], Inception_ResNet_v2 [25], Nasnet_large [26, 27], ResNetv1_152 [6], mobilenet_v2_130_224 [28]. These models were selected based on their proven performance in image recognition tasks and their distinct architectural advantages.

3.2.1 Bit_s-r50x1

A pre-trained deep learning model developed by Kolesnikov et al. [23]. the notation "Bit_s" denotes Big Transfer family-s, while "r50x1" denotes ResNet-50x1, which indicates that it is a ResNet-50 architecture has been pre-trained on ImageNet-1k. Bit_s-r50x1 is known for its robust performance on a variety of image classification tasks due to its extensive pre-training on large datasets. It was chosen for its ability to generalize well to new tasks with limited fine-tuning. Figure 3 shows the architecture of BiT-Small model.

Figure 3. BiT-Small (BiT-S) architecture [23]

3.2.2 Inception v3

Inception-v3 is part of inception family, it is a convolutional neural network (CNN) architecture Introduced by Szegedy et al. [24] for many different computer vision applications, such as object identification, image segmentation, and image classification, Inception-v3 has been extensively utilized. On benchmarks like the ImageNet Large Scale Visual Recognition Challenge (ILSVRC), it has demonstrated state-of-the-art performance. Inception v3 architecture illustrated in Figure 4, consisting of 42 layers.

Figure 4. Inception v3 architecture [29]

3.2.3 Inception_ResNet_v2

The Inception module and residual connections and benefits were combined in the Inception-ResNet-v2 deep convolutional neural network architecture. Introduced by Szegedy et al. [25], resulting in a powerful deep neural network that achieves state-of-the-art performance on various computer vision tasks, including image classification, object detection, and image segmentation. Inception-ResNet-v2 has the same schema of Inception-ResNet-v1 but differ in the underlying components, their schema is displayed in Figure 5.

Figure 5. Inception-ResNet-v1 and Inception-ResNet-v2 networks diagram [25]

3.2.4 Nasnet_large

NASNet is a family of CNN for image classification. The architecture of its convolutional layers has been found by Neural Architecture Search (NAS). NASNets by studies [26, 27] comes in various sizes, nasnet_large of NASNet-A for ImageNet, which begins with 168 convolutional filters and employs 18 Normal Cells as shown in NASNet-A architecture in Figure 6. Nasnet_large is an architecture designed using Neural Architecture Search (NAS), which optimizes the network structure for better performance. It was included to evaluate if this automated design process could outperform manually designed models.

Figure 6. NASNet architecture [27]

3.2.5 ResNet_v1_152

A deep convolutional neural network design called ResNet_v1_152, for Residual Network version 1 with 152 layers, was carried out by He et al. [6]. It belongs to the ResNet family, which developed residual learning as a solution to the very deep neural network degradation issue. It was known for its exceptional performance in deep learning tasks due to its residual connections that mitigate the vanishing gradient problem. This ResNet_v1_152 block consists of multiple residual blocks. Each residual block contains a series of convolutional layers, followed by batch normalization and ReLU activation functions as shown in Figure 7.

Figure 7. Block for ResNet-50/101/152 [6]

3.2.6 MobileNetV2_130_224

MobileNetV2_130_224 is a special version of the MobileNetV2 architecture. Developed by Sandler et al. [28] for efficient image classification tasks. "130" in MobileNetV2_130_224 refers to the width multiplier, which controls the number of channels in each layer of the network and "224" denotes the input resolution of the network. It is a lightweight and efficient solution suitable for deployment in resource-constrained environments such as mobile devices, IoT devices, and edge computing platforms.

MobileNetV2_130_224 architecture achieves a good balance between efficiency and accuracy by employing depthwise separable convolutions, inverted residual blocks, and skip connections. Its lightweight architecture was included to explore the feasibility of deploying plant recognition models on resource-constrained devices. Figure 8 displayed MobilenetV2 architecture.

The input size of Bit_s-r50x1, Inception v3, ResNet_v1_152 and MobileNetV2_130_224 models was 224×224 pixels. While Inception_ResNet_v2 was 299×299 pixels and NASNets has an input size of 331×331 pixels.

Figure 8. MobilenetV2 architecture [28]

4. Experiments and Results

After training the six pretrained models mentioned in the previous section, on Indonesia Medicinal Plant dataset and according to the steps described in model methodology. The implementations took nearly one to two hours, depending on the size and the number of parameters of each model.

4.1 Experimental environment

All experiments are implemented by PC configured by 12th Gen Intel(R) Core (TM) i7 processor and 16GB of RAM using Python 3.10.12 on Google Collaboratory.

4.2 Performance evaluation metrics

Deep learning models performance evaluated by using accuracy and error. They show the correlation between the model's actual and anticipated values. In order to evaluate the suggested model's performance on the provided dataset, the evaluation parameter is crucial in characterizing the model's quality. the following parameters are considered in order to evaluate the performance of the proposed methods, the accuracy, precision, recall, and F1-score [10] in Eq. (1), Eq. (2), Eq. (3) and Eq. (4), respectivly.

$Accuracy=\frac{TP+TN}{TP+TN+FP+FN}$        (1)

$Recall=\frac{TP}{TP+FN}$        (2)

$Precision=\frac{TP}{TP+FP}$        (3)

$F1\_score=\frac{2*Precision*Recall}{Precision+Recall}$        (4)

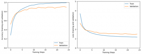
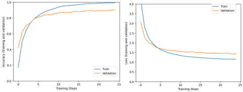
Figure 9 and Figure 10 represent the training and validation accuracy subplots as well as, training and validation loss for 25 epochs for each model and the total number of parameters of Bit_s-r50x1, Inception_v3, Inception_ResNet_v2, Nasnet_large, ResNetv1_152 and Mobilenet_v2_130_224 where the model's complexity decreases with a decreasing total of parameters, Mobilenet_v2_130_224 was least complexity method and Nasnet_large the most.

The Bit_s-r50x1 model shown in Figure 9(a) achieved an accuracy of 99.62% and loss of 0.8653, Figure 9(b) illustrates that the accuracy of Inception_v3 model was 99.13% and loss 1.1460.

Figure 9(c) shows the accuracy of Inception_ResNet_v2 model was 98.64% which is the lowest between the six models and its loss was 1.4238, Nasnet_large model accuracy in Figure 9(d) reached 98.75% with the highest loss 2.1844. ResNetv1_152 and mobilenet_v2_130_224 models displayed in Figure 10(a) and (b) respectively, ResNetv1_152 accuracy was 99.26% and its loss was 1.1663 while mobilenet_v2_130_224 accuracy was 99.18% with loss 1.0514. Regarding other metrices such as, precision, recall and f1_score values are presented on Table 3.

Table 3. Performance comparison between transfer learning models​

#

Model

Accuracy (%)

Validation Accuracy (%)

Precision

Recall

F1 Score

Loss

Validation Loss

No. of Model Parameters

1

Bit_s-r50x1

99.62

92.20

0.9255

0.922

0.9207

0.8653

1.0764

23705252

2

Inception_v3

99.13

90.00

0.9043

0.9

0.8986

1.1460

1.4282

22007684

3

Inception_ResNet_v2

98.64

91.10

0.9232

0.911

0.9115

1.4238

1.6762

54490436

4

Nasnet_large

98.75

92.45

0.9306

0.9245

0.9221

2.1844

2.3080

85320118

5

ResNetv1_152

99.26

89.35

0.9022

0.8935

0.8888

1.1663

1.4842

58500132

6

mobilenet_v2_130_224

99.18

88.55

0.8923

0.8855

0.8843

1.0514

1.3818

3932548

These findings confirm that the application of transfer learning models significantly enhances the accuracy of medicinal plant identification, meeting our initial research objective of developing a fast and reliable identification system. A comparison with state of art is shown in Table 4 the results of other previous studies previously mentioned in Table 1 and used different medicinal plant datasets. Malik et al. [20] achieved 84% by applying EfficientNet-B1 on PlantCLEF 2015 dataset and 87% on their own dataset and Roslan et al. [22] achieved 88% by developing an automatic Convolutional Neural Network on Malaysian medicinal herbs datasets.

This improvement can streamline plant cataloging processes, facilitate biodiversity preservation, and support the development of mobile diagnostic tools, thus enhancing practical applications in healthcare and conservation.

(a)

(b)

(c)

(d)

Figure 9. Performance of proposed approach: (a) Bit_s-r50x1, (b) Inception_v3, (c) Inception_ResNet_v2, (d) Nasnet_large

(a)

(b)

Figure 10. Performance of proposed approach: (a) ResNetv1_152, (b) Mobilenet_v2_130_224

Table 4. Performance comparison between transfer learning models from previous study with Bit_s-r50x1 model

Model

Training

Validation

Loss

Accuracy

Loss

Accuracy

ResNet34 [5]

0.0138

0.9982

0.7745

0.8565

DenseNet121[5]

0.0027

1.0000

0.6275

0.8740

VGG11 bn [5]

1.0552

0.9633

1.0552

0.8200

Scratch [5]

1.2727

0.6597

2.5174

0.4353

Bit_s-r50x1

0.4353

0.9962

1.0764

0.9220

5. Conclusions

The power of plants to sustain life is crucial, especially medicinal plants. In this study, six pretrained models were experimented and utilized to identify medicinal plants: Bit_s-r50x1, Inception_v3, Inception_ResNet_v2, Nasnet_large, ResNetv1_152 and mobilenet_v2_130_224. The experimental findings exhibit superior performance over the models were used in previous research on Indonesia Medicinal Plant dataset. Nasnet_large model achieved the highest validation accuracy, the model achieved 92.45% outperformed the highest validation accuracy of the earlier study by 5.4% afterwards was Bits-r50x1 which showed a percentage of improvement 5.2%. In the future, we plan to apply an alternative model in an attempt to increase the validation accuracy. Simultaneously, the accuracy of some of the most misclassified classes will be increased by adding more images to the dataset belonging to that category, improving feature extraction or using better methods. our study demonstrates that transfer learning models significantly enhance the accuracy of medicinal plant identification. This advancement not only supports the immediate needs of plant cataloging and conservation but also holds promise for long-term impacts. As deep learning models continue to evolve, their integration into more sophisticated and user-friendly applications could revolutionize the field, making accurate medicinal plant identification accessible to a broader audience. This could lead to greater preservation of plant biodiversity and more effective utilization of medicinal plants in healthcare.

Nomenclature

CNN

Convolutional Neural Network

Bit_s

Big Transfer family-s

Nas

Neural Architecture Search

FN

False Negative

FP

False Positive

TN

True Negative

TP

True Positive

  References

[1] Anami, B.S., Nandyal, S.S., Govardhan, A. (2010). A combined color, texture and edge features based approach for identification and classification of indian medicinal plants. International Journal of Computer Applications, 6(12): 45-51.

[2] Yoo, S., Yang, H.C., Lee, S., Shin, J., Min, S., Lee, E., Song, M., Lee, D. (2020). A deep learning-based approach for identifying the medicinal uses of plant-derived natural compounds. Frontiers in Pharmacology, 11: 584875. https://doi.org/10.3389/fphar.2020.584875

[3] Mehendale, N., Suraliya, S., Shah, P., Padia, R., Kaslikar, B. (2022). A review on automated plant classification system using machine vision. SSRN.

[4] Mohtashamian, M., Karimian, M., Moola, F., Kavousi, K., Masoudi-Nejad, A. (2021). Automated plant species identification using leaf shape-based classification techniques: A case study on Iranian Maples. Iranian Journal of Science and Technology, Transactions of Electrical Engineering, 45(3): 1051-1061. https://doi.org/10.1007/s40998-020-00398-2

[5] Musyaffa, M.S.I., Yudistira, N., Rahman, M.A. (2023). IndoHerb: Indonesia medicinal plants recognition using transfer learning and deep learning. arXiv Preprint arXiv: 2308.01604. https://doi.org/10.48550/arXiv.2308.01604

[6] He, K., Zhang, X., Ren, S., Sun, J. (2016). Deep residual learning for image recognition. In Proceedings of the IEEE Conference on Computer Vision and Pattern Recognition, pp. 770-778.

[7] Huang, G., Liu, Z., Van Der Maaten, L., Weinberger, K.Q. (2017). Densely connected convolutional networks. In Proceedings of the IEEE Conference on Computer Vision and Pattern Recognition, pp. 4700-4708.

[8] Simonyan, K., Zisserman, A. (2014). Very deep convolutional networks for large-scale image recognition. arXiv Preprint arXiv: 1409.1556. https://doi.org/10.48550/arXiv.1409.1556

[9] Bhelkar, N.S., Sharma, A. (2023). Study on identification and classification of medicinal plants using machine learning and deep learning. International Journal of Engineering Technology and Management Sciences, 7(3): 716-722. https://doi.org/10.46647/ijetms.2023.v07i03.109

[10] Ibrahim, N.M., Gabr, D.G., Rahman, A., Musleh, D., AlKhulaifi, D., AlKharraa, M. (2023). Transfer learning approach to seed taxonomy: A wild plant case study. Big Data and Cognitive Computing, 7(3): 128. https://doi.org/10.3390/bdcc7030128

[11] Alwawi, B.K.O.C., Abood, L.H. (2021). Convolution neural network and histogram equalization for COVID-19 diagnosis system. Indonesian Journal of Electrical Engineering and Computer Science, 24(1): 420-427.

[12] Saeed, R.S., Alwawi, B.K.O.C. (2023). A binary classification model of COVID-19 based on convolution neural network. Bulletin of Electrical Engineering and Informatics, 12(3): 1413-1417. https://doi.org/10.11591/eei.v12i3.4832

[13] Saeed, R.S., Oleiwi, B.K. (2023). Deep learning model for binary classification of COVID-19 based on Chest X-Ray. In 2023 15th International Conference on Developments in eSystems Engineering (DeSE), Baghdad & Anbar, Iraq, pp. 45-49. https://doi.org/10.1109/DeSE58274.2023.10099555

[14] Oleiwi, B.K., Kadhim, M.R. (2022). Real time embedded system for object detection using deep learning. AIP Conference Proceedings, 2415(1). https://doi.org/10.1063/5.0093469

[15] Al-Khazraji, H., Nasser, A.R., Khlil, S. (2022). An intelligent demand forecasting model using a hybrid of metaheuristic optimization and deep learning algorithm for predicting concrete block production. IAES International Journal of Artificial Intelligence, 11(2): 649. https://doi.org/10.11591/ijai.v11.i2.pp649-657

[16] Althabhawee, A.F.Y., Alwawi, B.K.O.C. (2022). Fingerprint recognition based on collected images using deep learning technology. IAES International Journal of Artificial Intelligence, 11(1): 81. https://doi.org/10.11591/ijai.v11.i1

[17] Bisen, D. (2021). Deep convolutional neural network based plant species recognition through features of leaf. Multimedia Tools and Applications, 80(4): 6443-6456. https://doi.org/10.1007/s11042-020-10038-w

[18] Roopashree, S., Anitha, J. (2021). DeepHerb: A vision based system for medicinal plants using xception features. IEEE Access, 9: 135927-135941. https://doi.org/10.1109/ACCESS.2021.3116207

[19] Sachar, S., Kumar, A. (2022). Deep ensemble learning for automatic medicinal leaf identification. International Journal of Information Technology, 14(6): 3089-3097. https://doi.org/10.1007/s41870-022-01055-z

[20] Malik, O.A., Ismail, N., Hussein, B.R., Yahya, U. (2022). Automated real-time identification of medicinal plants species in natural environment using deep learning models-A case study from Borneo Region. Plants, 11(15): 1952. https://doi.org/10.3390/plants11151952

[21] Azadnia, R., Al-Amidi, M.M., Mohammadi, H., Cifci, M.A., Daryab, A., Cavallo, E. (2022). An AI based approach for medicinal plant identification using deep CNN based on global average pooling. Agronomy, 12(11): 2723. https://doi.org/10.3390/agronomy12112723

[22] Roslan, N.A.M., Diah, N.M., Ibrahim, Z., Munarko, Y., Minarno, A.E. (2023). Automatic plant recognition using convolutional neural network on malaysian medicinal herbs: The value of data augmentation. International Journal of Advances in Intelligent Informatics, 9(1): 136-147. https://doi.org/10.26555/ijain.v9i1.1076

[23] Kolesnikov, A., Beyer, L., Zhai, X., Puigcerver, J., Yung, J., Gelly, S., Houlsby, N. (2020). Big transfer (bit): General visual representation learning. In Computer Vision-ECCV 2020: 16th European Conference, Glasgow, UK, 16: 491-507. https://doi.org/10.1007/978-3-030-58558-7_29

[24] Szegedy, C., Vanhoucke, V., Ioffe, S., Shlens, J., Wojna, Z. (2016). Rethinking the inception architecture for computer vision. In Proceedings of the IEEE Conference on Computer Vision and Pattern Recognition, pp. 2818-2826.

[25] Szegedy, C., Ioffe, S., Vanhoucke, V., Alemi, A. (2017). Inception-v4, inception-ResNet and the impact of residual connections on learning. In Proceedings of the AAAI Conference on Artificial Intelligence, 31(1). https://doi.org/10.1609/aaai.v31i1.11231

[26] Zoph, B., Le, Q.V. (2016). Neural architecture search with reinforcement learning. arXiv Preprint arXiv: 1611.01578. https://doi.org/10.48550/arXiv.1611.01578

[27] Zoph, B., Vasudevan, V., Shlens, J., Le, Q.V. (2018). Learning transferable architectures for scalable image recognition. In Proceedings of the IEEE Conference on Computer Vision and Pattern Recognition, pp. 8697-8710.

[28] Sandler, M., Howard, A., Zhu, M., Zhmoginov, A., Chen, L.C. (2018). Mobilenetv2: Inverted residuals and linear bottlenecks. In Proceedings of the IEEE Conference on Computer Vision and Pattern Recognition, pp. 4510-4520.

[29] Giri, S., Joshi, B. (2019). Transfer learning based image visualization using CNN. International Journal of Artificial Intelligence & Applications, 10(4): 47-55. https://doi.org/10.5121/ijaia.2019.10404