Impacts of Magnetic Fields on Ferrofluid Squeeze Films Between Infinitely Long Rectangular Plates

Impacts of Magnetic Fields on Ferrofluid Squeeze Films Between Infinitely Long Rectangular Plates

Faizan Ahmed Masood Sujatha Elamparithi*

Department of Mathematics, College of Engineering and Technology, SRM Institute of Science and Technology, Kattankulathur 603203, India

Corresponding Author Email: 
sujathae@srmist.edu.in
Page: 
2203-2209
|
DOI: 
https://doi.org/10.18280/mmep.100634
Received: 
28 May 2023
|
Revised: 
1 August 2023
|
Accepted: 
10 September 2023
|
Available online: 
21 December 2023
| Citation

© 2023 IIETA. This article is published by IIETA and is licensed under the CC BY 4.0 license (http://creativecommons.org/licenses/by/4.0/).

OPEN ACCESS

Abstract: 

This study presents an analysis of the effects exerted by a ferro-couple stress fluid on the dynamics of squeeze films formed between an infinitely long rectangular plate under the influence of an applied magnetic field. Squeeze films, which are thin fluid layers established between closely juxtaposed surfaces, find extensive applications in engineering and microfluidics. The Shliomis ferrohydrodynamic model, coupled with the couple stress fluid model, is employed to investigate these effects. The research specifically focuses on three pivotal parameters: volume concentration, couple stress, and the Langevin parameter. These factors are instrumental in shaping various characteristics of the squeeze film, such as pressure, workload, and response time. It was observed that the presence of a ferro-couple stress fluid in an applied magnetic field enhanced the performance metrics of the squeeze film, including pressure, workload, and response time. This observation suggests promising avenues for advancements in engineering and lubrication systems, where optimizing the behavior of squeeze films is of paramount importance for efficient functionality.

Keywords: 

ferro-couple stress fluid, infinitely long rectangular plate, ferrofluid rheology, magneto hydrodynamic field, squeeze film lubrication, hydrodynamic lubrication

1. Introduction

Squeeze film technology, characterized by its broad applicability across industries, notably power plants utilizing turbomachines, disc clutches, and rotating devices, is underscored in this study. The unique traits of squeeze films between infinitely extended rectangular plates hold significant relevance in numerous engineering and industrial scenarios, particularly where relative motion between closely juxtaposed surfaces is integral to machine design and operation.

The field of magnetohydrodynamics (MHD), probing the interplay between conducting fluids and electromagnetic phenomena, is of particular fascination. It illuminates the influence of magnetic fields on tribological properties, especially in bearings utilizing conducting fluids. Distinctive features such as high thermal and electrical conductivity set these bearings apart from their conventional counterparts, making MHD an enlightening lens through which to investigate the intriguing relationship between fluid dynamics and electromagnetism. Fatima and Said [1] analyzed the application of MHD. They concluded that the magnetic and electrical fields exert a strong influence on blood velocity in the MHD micropump.

Couple-stress fluid, serving as a non-Newtonian lubricant, has been demonstrated to enhance the lubrication characteristics of bearings, particularly due to its length-dependent nature, an aspect unaddressed by classical non-polar theories. A surge in theoretical and experimental studies aiming at augmenting the effectiveness of bearing design systems, materials, and lubricants has been observed in recent years. A study conducted by Ramanaiah [2] concluded that couple stress indeed boosts the response time of squeeze film behavior between finite plates.

The advent of ferrofluids, magnetic fluids comprising small magnetic particles suspended in a carrier fluid like oil or water, marks a notable progression in lubricant technology. The alignment of magnetic particles along field lines under an applied magnetic field results in complex rheological behavior. In squeeze film applications, the formation of chain-like structures by the magnetic particles in the direction of the pressure gradient enhances stress transmission compared to conventional fluids, leading to improved damping, lubrication, and sealing properties [3, 4]. The distinctive properties of ferrofluids, including high magnetization and low viscosity, render them suitable for diverse engineering systems. Their use in squeeze film applications promises performance enhancement and wear reduction in such systems.

Recent studies have focused on ferro-couple stress fluid, which differs from ferrofluids in terms of rheological behavior. While ferrofluids exhibit complex behavior due to the alignment of magnetic particles under the influence of a magnetic field, ferro-couple stress fluids display non-Newtonian behavior caused by the alignment of magnetic particles along field lines. To optimize technology and tackle associated challenges, researchers have ventured into exploring ferrofluids with magnetic field-based couple stress properties. Research conducted by Daliri and Javani [5] along with the work of Toloian et al. [6, 7] demonstrated that the use of a couple stress ferrofluid lubricant, coupled with a magnetic field, improves the performance of the squeeze film. Furthermore, analysis by Lin et al. [8] involving ferro-couple stress fluid in circular disk geometry revealed that the non-Newtonian lubricant enhances workload and extends squeeze film time. These findings herald promising implications for the design of advanced lubrication systems leveraging these principles.

Daliri [9] carried out an investigation on the geometry of a lubrication film between parallel circular discs with rough surfaces, taking into consideration the impact of rotational inertia, and utilizing ferrofluid couple stress as the lubricant. The study revealed enhanced properties of the squeeze film when employing ferro-couple stress fluids. However, as rotational inertia escalates, a decrease in the squeeze film's performance was observed. Infinitely extended rectangular plates find utility as fins in heat transfer applications, where their primary function is to augment heat transfer between a fluid and a solid surface by increasing the available surface area for heat transfer. These fins find extensive application across a spectrum of engineering fields, including heat exchangers, cooling systems for electronics, and HVAC systems. Recently, Panduranga and Koley [10] published a study focusing on rectangular porous structures subjected to different wave conditions.

Further, Daliri et al. [11] explored the properties of a squeezed film on parallel rectangular plates using an incompressible couple stress fluid in the presence of a magnetic field. The findings suggested that MHD couple stress fluids demonstrate superior efficacy in steady load conditions as opposed to transient load conditions. The influence of electrically conducting fluid on the squeeze film between finite rectangular plates was analyzed by Lin [12], concluding that the MHD effect enhances the workload and time of approach in comparison to non-MHD cases. Sangeetha and Kesavan [13] delved into the surface roughness in the presence of MHD between infinitely extended rectangular plates. Their study concluded that magnetic effects result in an enhanced squeeze film performance compared to the Newtonian case.

Rao and Rahul [14] studied the geometry of wide porous rectangular plates using Rabinowitsch fluid. Their results indicated that variations in viscosity of non-Newtonian fluids, as well as the presence of porosity, contribute to decreased workload and time of approach, respectively. Kesavan et al. [15] analyzed finite porous rectangular plates lubricated with magnetic fluid, with findings indicating a significant increase in the workload performance of skewed surfaces for both positive and negative values.

While past researchers have scrutinized the impact of ferro-couple stress fluid with varying plate shapes such as elliptical and triangular, no such analysis for infinitely long rectangular plates has been conducted. Thus, the present study aims to explore the impact of squeezing of ferro-couple stress fluid between infinitely long rectangular plates under the influence of a uniform magnetic field. Compared to other geometries like elliptical and triangular plates, the infinitely long rectangular plates find more frequent application in engineering works, thereby reinforcing the significance of the present research. The impact of ferro-couple stress lubricant is analyzed for its parameters such as the volumetric concentration of the suspended magnetic particles in the lubricant (ϕ), the Langevin parameter (ξ), and the couple stress parameter (l). The latter is influenced by the size of the fluid molecules, which are added to a non-polar lubricant to render it a polar additive, thus making it non-Newtonian in nature.

2. Mathematical Formulation

Figure 1 illustrates the geometry of infinitely long rectangular plates that are lubricated using ferro-couple stress fluid, with the external magnetic field’s presence.

Figure 1. Geometry of the plates

The two plates move towards each other at a relative velocity of $\frac{d H}{d t}$, with the upper plate moving downwards. Given the geometry and dimensions of the system, it is appropriate to apply the principles of thin-film lubrication theory. The hydrodynamic models for ferro and couple stress fluid as proposed by Shliomis [16, 17] and Stokes [18] are considered together to model the current study. In order to derive the velocity’s in x and z directions components, respectively, the continuity and momentum equations can be expressed as follows: These equations model the flow of the fluid particle between the chosen surface.

$\eta \frac{\partial^2 u}{\partial y^2}-\eta_c \frac{\partial^4 u}{\partial y^4}+\eta \gamma \frac{\partial^2 u}{\partial y^2}-\frac{\partial p}{\partial x}=0$      (1)

$\eta \frac{\partial^2 w}{\partial y^2}-\eta_c \frac{\partial^4 w}{\partial y^4}+\eta \gamma \frac{\partial^2 w}{\partial y^2}-\frac{\partial p}{\partial z}=0$      (2)

$\frac{\partial p}{\partial y}=0$      (3)

$\frac{\partial u}{\partial x}+\frac{\partial v}{\partial y}+\frac{\partial w}{\partial z}=0$      (4)

where, $\gamma=\frac{3}{2} \phi \frac{\xi-\tanh \xi}{\xi+\tanh \xi}$.

Here, the rotational viscosity is denoted by γ, the suspension viscosity is represented by η, and ηc is a constant associated with the property of the couple stress fluid. The suspension viscosity can be estimated as follows: η=η0 (1+2.5ϕ).

Boundary conditions at the lower surface y=0.

$u=v=w=0, \frac{\partial^2 u}{\partial y^2}=\frac{\partial^2 v}{\partial y^2}=0$      (5)

and at the upper surface y=H.

$u=w=0, v=\frac{d h}{d t}, \frac{\partial^2 u}{\partial y^2}=\frac{\partial^2 v}{\partial y^2}=0$      (6)

With the boundary conditions given in Eqs. (5) and (6), Eqs. (1) and (2) will result in the velocity profile of u and w as follows:

$\begin{gathered}u=\frac{1}{2 \eta_0 R^2} \frac{\partial p}{\partial x}\left\{\left(y^2-H y\right)+\frac{2 \bar{l}_c^2}{R^2}[1-\right. \left.\left.\frac{\cosh \left(((2 y-H) R) / 2 \bar{l}_c\right)}{\cosh \left((H R) / 2 \bar{l}_c\right)}\right]\right\}\end{gathered}$      (7)

$\begin{gathered}w=\frac{1}{2 \eta_0 R^2} \frac{\partial p}{\partial z}\left\{\left(y^2-H y\right)+\frac{2 \bar{l}_c^2}{R^2}[1-\right. \left.\left.\frac{\cosh \left(((2 H-h) R) / 2 \bar{l}_c\right)}{\cosh \left((H R) / 2 \bar{l}_c\right)}\right]\right\}\end{gathered}$      (8)

where, $R=\sqrt{(1+\gamma)(1+2.5 \phi)}$.

In a dynamic system the length scale plays a vital role. Since the characteristic length is the maximum value, the quantity can possess. For the case of the characteristic length of the couple stress fluid $\left(\bar{l}_c\right)$ the ratio of the complexity of the couple stress fluid additives to that of the compactness as $\bar{l}_c=\frac{\eta_c}{\eta_0}$, where, ηc is the couple stress fluid index, η0 is the viscosity of main liquid.

The modified Reynolds equation is obtained by integrating the continuity equation across the thickness of the lubricant film:

$\frac{\partial^2 p}{\partial x^2}+\frac{\partial^2 p}{\partial z^2}=\frac{-2 \eta_0 R^2(d H / d t)}{g\left(\phi, H, \gamma, \bar{l}_c\right)}$      (9)

where,

$g\left(\phi, H, \gamma, \bar{l}_c\right)=-\left(\frac{H^3}{6}\right)+\left(\frac{2 \bar{l}_c{ }^2}{R^2}\right)\left[H-\left(\frac{2 \bar{l}_c}{R}\right) \tanh \left(\frac{R H}{2 \bar{l}_c}\right)\right]$.

To derive the non-dimensional film pressure, the pressure equation can be solved by imposing the conditions $p=0$ and $z= \pm a$. The non-dimensional modified lubrication equation is then integrated with respect to $z$, taking into account the pressure boundary conditions $p( \pm 1)=0$ and $\frac{d p}{d z}=0$ at $z=0$. This approach yields a solution for the non-dimensional film pressure, which satisfies the pressure boundary condition at $p( \pm 1)=0$.

Integrating the Eq. (9) twice with respect to $z$.

$P=-\frac{2 \eta R^2\left(\frac{d H}{d t}\right)}{g^{\star}\left(l^{\star}, \gamma, \phi, H^{\star}\right)}\left(z^2 / 2\right)+c_1 x+c_2$

Using the pressure boundary conditions to obtain the two constants as given by:

$c_1=0, c_2=\frac{\eta R^2\left(\frac{d H}{d t}\right)}{g^{\star}\left(l^{\star}, \gamma, \phi, H^{\star}\right)}$

Solving the above expressions, pressure equation is obtained as follows:

$P=\frac{\eta_0 R^2\left(1-z^2\right)(d H / d t)}{g\left(\bar{l}_c, \gamma, \phi, H\right)}$      (10)

The dimensionless form of the pressure expression is obtained as:

$P^{\star}=\frac{P H_0{ }^3}{\eta_0(d H / d t)}=\frac{R^2\left(1-z^{\star 2}\right)}{g^{\star}\left(l^{\star}, \gamma, \phi, H^{\star}\right)}$      (11)

where, $l^{\star}=\frac{\bar{l}_c}{H_0}, z^{\star}=\frac{z}{b}, H^{\star}=\frac{H}{H_0}$, $g^{\star}\left(l^{\star}, \gamma, \phi, H^{\star}\right)=\frac{g\left(\phi, H, \gamma, \bar{l}_c\right)}{H_0{ }^3}$, $g^{\star}\left(l^{\star}, \gamma, \phi, H^{\star}\right)=-\left(\frac{H^{3 \star}}{6}\right)+\left(\frac{2 l^{\star 2}}{R^2}\right)\left[H^{\star}-\left(\frac{2 l^{\star}}{R}\right) \tanh \left(\frac{R H^{\star}}{2 l^{\star}}\right)\right]$.

The expression per unit length the work load can be obtained as:

$\frac{W}{a}=\int_{-b}^b P d z$

The expression of work load in the dimensionless form given as:

$W^{\star}=-\frac{4 R^2}{3 g^{\star}\left(l^{\star}, \gamma, \phi, H^{\star}\right)}$      (12)

Introducing the non-dimensional time of approach:

$W^{\star}=\frac{W H_0^2 t}{\eta_0 b^2}$

The dimensionless expression of the time-height relation may be derived, as shown below:

$\frac{d H^{\star}}{d t^{\star}}=\frac{1}{W^{\star}}$      (13)

Because Eq. (13) is a nonlinear ODE, the 4th order Runge-Kutta approach may be used to get an accurate result, using the subsequent initial conditions: H=1 at t=0.

3. Results and Discussions

In the study above, three parameters the Langevin parameter ξ, the non-Newtonian couple stress variable l, as well as the volume particle concentration ϕ are used to characterize the squeeze film performances lubricated with ferro-couple stress fluid. The study examines the effects of ferro-couple stress fluid between two infinitely long rectangular plates.

The process of using infinitely long rectangular plate is novel and comparative study with existing literature is not feasible. Hence the presence and absence of the parameter is brought out in each of these graphs which brings out the efficiency of the parameter for the considered situation.

3.1 Squeeze film pressure

The fluid film pressure distribution for varied values of ϕ and ξ, respectively, the impact of the magnetic particle suspended in the ferro fluid during squeezing is brought out in Figure 2. According to the graph, as the volumetric concentration of the magnetic particle ϕ increases, this causes rapid increase in the random motion of the fluid particles thus increasing the value of ξ. The combined increase in these two parameters create a dense medium causes a rise in pressure.

The impact of the couple stress l on squeeze of the lubricant between the plates is brought out in Figure 3, the couple stress of a lubricant is strongly influenced by the presence of additives, specifically their size and the thickness of the lubricating film. Moreover, the size of polar additives in the lubricant plays a crucial role in determining the couple stress. An increase in the size of these additives leads to a rise in the couple stress, which enhances the viscosity of the lubricant. This increase in viscosity, in turn, results in an elevation of the squeeze film pressure.

Figure 2. Plot of pressure P and z for distinct values of ϕ with l=0.3, H=0.5

Figure 3. Plot of pressure P and z for distinct values of l with ϕ=0.04, ξ=5, H=0.5

Figure 4. Plot of dimensionless workload W and ξ for diverse values of ϕ with l=0.3, H=0.5

3.2 Work load

Figures 4 and 5 bring out the effect of ferro particles on the balancing of the work load by the rectangular plate. The study analyzes the relationship between the dimensionless workload (W) and volumetric concentration (ϕ), as illustrated in Figure 6. The data presented in the graph shows that there is an increase in the workload as the volumetric concentration increases.

The graph represented in Figure 4 depicts the variation of the dimensionless work load W against the Langevin parameter (ξ). The data presented in the graph clearly shows that as the Langevin parameter takes increasing values, the work load also increases proportionally.

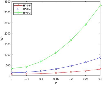
Figure 5. Plot of dimensionless workload W and l for distinct values of H with ϕ=0.04, ξ=5

Figure 6. Dimensionless workload W verses ϕ for diverse parameters of ξ with H=0.5, l=0.3

A plot of work load and non-Newtonian couple stress parameter (l) is plotted in Figure 5. The results indicate that l lead to a higher film pressure. An increase in the size of these additives leads to a rise in the couple stress, which enhances the viscosity of the lubricant. This increase in viscosity, in turn, results in an elevation of the squeeze film pressure, leading to an increase in the load-bearing capacity of the lubricating film. Therefore, a higher squeeze film pressure can effectively support a larger work load, making it a key factor in determining the performance of the lubricant. It should be noted that the work load in a Newtonian fluid is lower than the work load in non-Newtonian fluids. The Work load can be considered a function of ϕ, ξ, H and l, as shown in Figures 4-6.

From the data presented in Table 1, it can be observed that the work load increases for different values of l, ϕ and ξ. Notably, the work load is significantly enhanced when compared to the non-magnetic Newtonian case. Table 2 illustrates the variation of work load for various values of ϕ, and ξ. The data reveals a notable trend: as these parameters increase, the work load experiences enhancement. But it is visible that with the parameter H the trend reverses to show that less the value of H more is the work load W. Table 3 shows the relative percentage increase in workload which is estimated using the formula $R_{W^*}=\left(\left(\frac{W_{\text {Magnetic Non-Newtonian }}^*-W_{\text {Non-magnetic Newtonian }}^*}{W_{\text {Non-magnetic Newtonian }}^*}\right) \times 100\right)$ for different values of l*, ϕ, ξ.

Table 1. Variation of work load with height for different values of l*, ϕ, ξ

Parameters

l*=0

l*=0.2

l*=0.3

l*=0.4

ϕ=0.0, ξ=0

64.000

167.118

295.142

474.350

48.084

112.199

191.698

302.975

37.037

78.594

130.054

202.077

29.131

57.024

91.515

139.786

23.324

42.611

66.426

99.752

ϕ=0.02, ξ=2

67.905

171.063

299.090

478.300

51.018

115.163

194.665

305.943

39.297

80.877

132.338

204.363

30.908

58.819

93.312

141.583

24.747

44.048

67.865

101.191

ϕ=0.04, ξ=5

73.216

176.430

304.461

483.673

55.008

119.194

198.700

309.979

42.370

83.981

135.446

207.471

33.325

61.259

95.756

144.028

26.682

46.001

69.821

103.148

ϕ=0.06, ξ=10

79.020

182.294

310.329

489.543

59.369

123.598

203.108

314.389

45.729

87.372

138.841

210.868

35.967

63.926

98.426

146.699

28.797

48.136

71.958

105.286

Table 2. Variation of work load W* for different values of ϕ, ξ, H* with l=0.3

Parameter

H=0.6

H=0.5

H=0.4

ϕ=0.02, ξ=2

39.296

67.904

132.626

42.066

74.714

153.121

49.927

94.147

212.105

62.846

126.229

309.877

80.876

171.063

446.641

ϕ=0.04, ξ=5

42.370

73.216

143.000

45.146

80.042

163.541

53.020

99.498

222.569

65.946

131.591

320.357

83.980

176.430

457.128

ϕ=0.06, ξ=10

45.728

79.019

154.335

48.512

85.862

174.924

56.399

105.344

234.001

69.333

137.448

331.807

87.372

182.293

468.587

Table 3. Variation of relative percentage of work load $\left(R_{W^*}\right)$ for different values of l*, ϕ, ξ with H*=1.2

Parameters

l*=0.1

l*=0.2

l*=0.3

ϕ=0.02, ξ=2

13.5

34.8

69.6

ϕ=0.04, ξ=5

21.9

43.1

78

ϕ=0.06, ξ=10

31

52.2

87.2

3.3 Squeeze time of response

The relation between the dimensionless film thickness H* and the dimensionless response time (t) for various couple stress parameter (l) is depicted in Figure 7. According to the result, an increase in the couple stress parameter leads to an increase in response time.

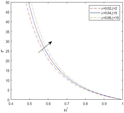
Variation of time vs. H for distinct values of ϕ, ξ is depicted in Figure 8. It is observed from the graph that as ϕ, ξ increase, the time of approach increases there by allowing the lubricant to remain between the infinitely long rectangular plate for a prolonged amount of time. This provides cushioning effect between the surfaces and there by reduces friction, wear and tear of the bearing faces.

Figure 7. Variation of dimensionless time of response t and H for diverse values of l with ϕ=0.04, ξ=5

Figure 8. Variation of dimensionless time of response t and H for diverse values of ϕ, ξ with l=0.3

4. Conclusions

The present study investigates the impact of a magnetic field on squeeze film performance by using ferro-couple stress fluid. Infinitely long rectangular plates are taken up as the geometry and both Shliomis ferro-fluid and Stokes couple-stress fluid models are employed. To determine the pressure distribution and work load, the Reynolds equation is solved and the pressure is integrated across the lubricating film. The nonlinear differential equation governing the relationship between the thickness of the lubricating film and time is solved using the 4th-order RK method. The results reveal that the use of ferro-couple stress fluid as lubricants significantly increases the squeeze film’s work load, pressure distribution, and time of approach. With an increase in the volumetric concentration of magnetic particles (ϕ), there is a noticeable acceleration in the random motion of fluid particles, resulting in a corresponding rise in the Langevin parameter ξ. The simultaneous increases in these two parameters create a dense medium, which subsequently leads to an increase in pressure within the system which causes increase in workload and delay in time of approach. Additives in the lubricant, particularly their size and polar nature, strongly influence the couple stress (l*). Larger additives increase the couple stress, elevating the lubricant's viscosity and squeeze film pressure. Table 2 reveals that the relative percentage increase in workload (W*) is 87.2% when compared to the non-magnetic Newtonian case. The findings of this research showcase the promising capabilities of ferro-couple stress fluids combined with applied magnetic fields to enhance squeeze film performance in various engineering systems. These results offer valuable insights to both researchers and industrial designers, empowering them to harness this potential for optimizing lubrication and overall efficiency in their respective applications. The outcomes of this study are highly useful for engineering applications, particularly bearing design. These results have the potential to significantly enhance bearing performance and efficiency. Continuous working of these bearing system leads to wear and tear of the bearings making the surface rough. Though for practicality purpose the surfaces are assumed to be smooth, the effect caused due to the roughness and the friction produced cannot be ignored. Hence a future work which takes into account the effect of surface roughness can be considered as an extension for this article.

Nomenclature

a

Length of the plates

b

Width of the plate

B0

Applied magnetic field

H0

Initial lubricant film thickness

H, H

Film thickness, H/Ho(dimensionless)

KB

The Boltzmann constant

$\bar{l}_c$

Characteristic length of the additives, $\left(\frac{\eta_c}{\eta_0}\right)$

l

The couple stress parameter, $\frac{\bar{l}_c}{H_0}$

m

Magnetic moment of a particle

T

The absolute temperature

u, v, w

Velocity component in the Cartesian coordinate system along x, y, z directions

Greek symbols

γ

Rotational viscosity parameter

η

Viscosity of the suspension

η0

Viscosity of main liquid

ηc

Couple stress fluid index

μp

The free space permeability

ϕ

The volume concentration of magnetic particles

ξ

The Langevin parameter, $\xi=\frac{\mu_p m B_0}{K_B T}$ 

  References

[1] Merdj, F., Drid, S. (2022). Electromagnetic forces effects of MHD micropump on the blood movement. Journal Européen des Systèmes Automatisés, 55(1): 147-153. https://doi.org/10.18280/jesa.550116

[2] Ramanaiah, G. (1979). Squeeze films between finite plates lubricated by fluids with couple stress. Wear, 54(2): 315-320. https://doi.org/10.1016/0043-1648(79)90123-6

[3] Torres-Díaz, I., Rinaldi, C. (2014). Recent progress in ferrofluids research: Novel applications of magnetically controllable and tunable fluids. Soft Matter, 10(43): 8584-8602. https://doi.org/10.1039/C4SM01308E

[4] Shah, R.C., Shah, R.B. (2021). Static and dynamic performances of ferrofluid lubricated long journal bearing. Zeitschrift für Naturforschung A, 76(6): 493-506. https://doi.org/10.1515/zna-2021-0057

[5] Daliri, M., Javani, N. (2018). Squeeze film characteristics of Ferro-coupled stress inertial fluids in conical plates. Industrial Lubrication and Tribology, 70(5): 872-877. https://doi.org/10.1108/ILT-02-2017-0047

[6] Toloian, A., Daliri, M., Javani, N. (2020). The performance of squeeze film between parallel triangular plates with a ferro-fluid couple stress lubricant. Advances in Tribology, 2020: 1-8. https://doi.org/10.1155/2020/8811942

[7] Toloian, A., Daliri, M., Shameli, M. (2022). Ferrofluid and couple stress lubricants effect on the squeeze film characteristics in parallel elliptical plates. Journal of Mechanical Engineering, 51(4): 203-208. https://doi.org/10.31873/IJMEN.51.4.20203

[8] Lin, J.R., Lu, R.F., Lin, M.C., Wang, P.Y. (2013). Squeeze film characteristics of parallel circular disks lubricated by ferrofluids with non-Newtonian couple stresses. Tribology International, 61: 56-61. https://doi.org/10.1016/j.triboint.2012.12.001

[9] Daliri, M. (2018). Investigation of squeeze film performance in rough parallel circular discs by ferro-fluid couple stress lubricant considering effects of rotational inertia. Industrial Lubrication and Tribology, 70(7): 1201-1208. https://doi.org/10.1108/ILT-03-2017-0082

[10] Panduranga, K. Koley, S. (2022). Oblique wave scattering by a rectangular porous floating breakwater with slotted screens over a sill-type seabed. International Journal of Computational Methods and Experimental Measurements, 10(2): 172-186. https://doi.org/10.2495/CMEM-V10-N2-172-186

[11] Daliri, M., Jalali-Vahid, D., Rahnejat, H. (2014). Squeeze film lubrication of coupled stress electrically conducting inertial fluids in wide parallel rectangular conjunctions subjected to a magnetic field. Proceedings of the Institution of Mechanical Engineers, Part J: Journal of Engineering Tribology, 228(3): 288-302. https://doi.org/10.1177/1350650113504565

[12] Lin, J.R. (2003). Magneto‐hydrodynamic squeeze film characteristics for finite rectangular plates. Industrial Lubrication and Tribology, 55(2): 84-89. https://doi.org/10.1108/00368790310470912

[13] Sangeetha, S., Kesavan, S. (2018). Pressure distribution with surface roughness for effect between porous infinitely long rectangular plates with MHD couple stress squeeze film lubrication. In Journal of Physics: Conference Series, 1000(1): 012006. https://doi.org/10.1088/1742-6596/1000/1/012006

[14] Rao, P.S., Rahul, A.K. (2019). Combined effect of viscosity variation and non-Newtonian Rabinowitsch fluid in wide parallel rectangular-porous plate with squeeze-film characteristics. Meccanica, 54(15): 2399-2409. https://doi.org/10.1007/s11012-019-01092-2

[15] Kesavan, S., Chamkha, A.J., Krishnan Narayanan, S. (2014). Magnetohydrodynamic (MHD) squeeze film characteristics between finite porous parallel rectangular plates with surface roughness. International Journal of Numerical Methods for Heat & Fluid Flow, 24(7): 1595-1609. https://doi.org/10.1108/HFF-02-2013-0040

[16] Shliomis, M.I. (1972). Effective viscosity of magnetic suspensions. Journal of Experimental and Theoretical Physics, 61(6): 2411-2418.

[17] Shliomis, M.I. (1974). Magnetic fluids. Soviet Physics Uspekhi, 17(2): 153.

[18] Stokes, V.K. (1966). Couple-stresses in fluids. Physics of Fluids, 9: 1709-1715. https://doi.org/10.1063/1.1761925