Linear and Non-Linear Optical Properties of Some Natural Dyes

Linear and Non-Linear Optical Properties of Some Natural Dyes

Shahad H. Kadhum* Talib M. Abbas Zaid A. Hasan

Department of Physics, College of Education for Pure Science, University of Babylon, Babylon 51001, Iraq

Corresponding Author Email: 
Pure130.shahad.haider@student.uobabylon.edu.iq
Page: 
245-252
|
DOI: 
https://doi.org/10.18280/rcma.350206
Received: 
20 February 2025
|
Revised: 
21 March 2025
|
Accepted: 
5 April 2025
|
Available online: 
30 April 2025
| Citation

© 2025 The authors. This article is published by IIETA and is licensed under the CC BY 4.0 license (http://creativecommons.org/licenses/by/4.0/).

OPEN ACCESS

Abstract: 

In the current research, the optical properties and observations of some natural dyes (food dyes) extracted from plants were studied, namely the dyes (Anthocyanin, Carotene, Carthamin and Curcumin) dissolved in distilled water and ethanol solvents at different concentrations (0.02, 0.04, 0.06, 0.08) mM. The absorption spectra of solutions of these dyes were measured using an ultraviolet-visible spectrometer. The linear optical characteristics, including refractive index and absorption, were then computed. Three-dimensional scanning (Z-Scan) was used to conduct open and closed aperture measurements for the assessment of nonlinear optical characteristics, with particular focus on the linear absorption coefficient and nonlinear refractive index. The elevation in concentration resulted in the amplification of absorption peaks, thus enhancing the values of the linear and linear optical coefficients, as shown by this research.

Keywords: 

organic dyes, linear optical properties, natural dyes, properties, Z-Scan technique and non-linear optical

1. Introduction

The researchers studied dyes, especially the organic ones. They have focused on the industry and academia for many years and explored a wide range of applications [1]. Organic dyes have unique features, including low cost-effectiveness, flexibility, electronic tunability, and light weight. Additionally, organic dyes show good responsiveness to nonlinear optical properties compared to other organic materials [2-4]. In comparison to natural colors, commercial dyes have been employed in a greater number of applications. However, their extensive use is ultimately limited by their high cost, supply scarcity, heavy metal toxicity, and difficult synthesis. Since prehistoric times, natural dyes have been utilized mostly in leather, food, and clothing made of cotton and silk. Natural dyeing has been used for leather and textiles in the decentralized sector of specialty products, while synthetic dyes have been used in textiles and apparel [5-7]. The researchers studied the nonlinear optical properties of the materials for many years and explored a wide range of applications. These applications include communications, integrated optics, broadband optical communication, and so on [8-16]. As a result, a considerable body of literature has focused on materials exhibiting nonlinear absorption and nonlinear refraction, encompassing both organic and inorganic polymer nanomaterials. Using techniques including thermal lensing, ring pattern diffraction, and Z-Scan approach, one may find nonlinear absorption and nonlinear refraction inside the nonlinear optical characteristics [17, 18].

The optical properties have been studied for over fifty years to identify suitable methods and materials for investigating nonlinear optical materials in the presence of Z-Scan with high intensity [19].

2. Literature Review

Investigate the optical characteristics of fluorescein sodium dye added at different thicknesses in polyvinyl alcohol polymer. Closed aperture and open aperture were two conditions used to evaluate the nonlinear optical characteristics. We examined the spectral characteristics at 532 nm using the Z-Scan technique, in conjunction with UV-visible and fluorescence spectrophotometry. The thicknesses (4, 6, 8, 10, and 12 μm) and concentration (5×10-2 M were used to find the refractive index n2 and the absorption coefficient β [16].

The impact on the spectra and linear optical characteristics of Rhodamine B (RB) and Fluorescein Sodium (Na Fl) at varying concentrations (10-3, 10-4 M) in an ethanol solvent was examined at ambient temperature. Absorption ranges in strength toward longer wavelengths (red shift). The spectrum of organic laser dyes ranged from 540 to 500 nm, and although the radiative and fluorescence life periods improved with increasing concentration, the quantum efficiency declined [17].

We make thin films of acriflavine organic laser dye that are doped with polymers and silver nanoparticles so that they can be used in nonlinear optics. We also study the dye's linear and nonlinear optical properties at a concentration of 10-5 M. Doping organic dyes with materials such as polymers and nanoparticles can improve their properties, which is beneficial for real-world uses. The findings indicated that the nonlinear absorption coefficient decreased with increasing power, although the nonlinear refractive index increased [18].

This study investigated the linear and nonlinear optical properties of various pH solutions derived from anthocyanin dye extract of red cabbage at a temperature of 180℃. Initially, the linear spectral characteristics of a 5% v/v anthocyanin solution across varying pH levels were ascertained utilizing a UV/VIS spectrophotometer, encompassing absorption and transmittance within the 400-800 nm range [19].

3. Theory

The value of the linear absorption coefficient (${{\text{ }\!\!\alpha\!\!\text{ }}_{\text{}}}$) determined by Eq. (1) [20].

$\alpha_0=\frac{\ln \left(\frac{1}{T}\right)}{t}$        (1)

The following formula may be used to calculate the sample's thickness (t), transmittance (T), and refractive index (no) from the transmittance spectrum [6]:

$\mathrm{n}_{\mathrm{o}}=\frac{1}{\mathrm{~T}}+\left(\frac{1}{\mathrm{~T}^2}-1\right)^{\frac{1}{2}}$       (2)

The proportional percentage of light that travels through the solution is called transmittance.  It y be concluded that the solution has 50% transmittance if half of the light is transferred [4, 21]:

$\mathrm{T} \%=\left(\frac{\mathrm{I}}{\mathrm{I}_{\mathrm{o}}}\right) \times 100 \%$        (3)

The intensity of incident laser represents by Where (Io) and the incident laser pass through the solvent represents by (I). The value of the transmittance (T) and absorption (A) determined by Eq. (4) [3]:

$A=\log 10\left(\frac{1}{T}\right)$        (4)

The value of the nonlinear refraction coefficient (n2) determined by Eq. (5) [22]:

$\mathrm{n}_2=\frac{\Delta \Phi \circ}{\mathrm{I_o}\mathrm{L}_{\mathrm{eff}} \mathrm{K}}$        (5)

where, $\left( {{\text{ }\!\!\Phi\!\!\text{ }}_{{}^\circ }} \right)$is the nonlinear phase shift [22]:

$\Delta \mathrm{T}_{\mathrm{p}-\mathrm{v}}=0.406 /\left|\Delta \Phi_{\circ}\right|$        (6)

The normalization of peak and valley transmittances is represented by (∆T)_(p-v), where k = 2π/λ, where λ is the beam wavelength, (Io) is the focal spot intensity, and (Leff) is the sample's effective length, as determined from [23].

$\mathrm{L}_{\mathrm{eff}}=\left(1-\exp \left(-\alpha_o \mathrm{L}\right)\right) / \alpha_o$        (7)

where, (L) is the sample length [9]:

$I_{\circ}=\frac{2 P_{\text {peak }}}{\pi \omega_{\circ}^2}$         (8)

The beam waist represented by ωo, is at the focus point and the intensity peak is identified by Ppeak. Eq. (9) yields the value of the nonlinear absorption coefficient (β) [24]:

$\beta=\frac{2 \sqrt{2} \mathrm{~T}(\mathrm{z})}{\mathrm{I_o}\text { Leff }}$       (9)

The normalize transmitted represent by T(z): at the focal point when (Z=0).

4. Experimental Part

4.1 Materials used

4.1.1 Natural dyes

The molecular structures of the natural colors employed in this study—anthocyanin, carotene, carthamin, and curcumin—are shown in Figure 1, and Table 1 lists their most significant physical and chemical characteristics.

Figure 1. The molecular structure of natural dyes: (a) Anthocyanin dye, (b) Carotene dye, (c) Carthamin dye, and (d) Curcumin dye

Table 1. Exploring the physicochemical attributes of natural dyes in this research

Natural Dyes

Chemical Formula

Molecular Weight

Appearance

Solubility and Solvent

Anthocyanin

C15H11O

207.24724 g/mol

Rad powder

Water

Carotene

C40H56O

536.9 g/mol

Yellow powder

Water

Carthamin

C43H42O22

910.787 g/mol

Rad powder

Water

Curcumin

C21H20O6

368.38 g/mol

Dark Yellow powder

Ethanol

Table 2. Physicochemical characteristics of solvents employed for dye preparation

Solvents

Chemical Formula

Molecular Weight

(g/mol)

Viscosity

(mPa·s) at 25Co

Density

(g/cm3)

Refractive Index

Distilled Water

H2O

18.015

0.890

0.9999

1.333

Ethanol

C2H6O

46.069

1.2

0.789

1.361

4.1.2 Solvents

To obtain liquid solutions of the natural dyes used in this study, two polar solvents were used (water and ethanol). Table 2 shows the most important physical and chemical properties of the solvents used in this study.

To obtain liquid solutions of the natural dyes used in this study, two polar solvents were used (water and ethanol). Table 2 shows the most important physical and chemical properties of the solvents used in this study.

Chloroform served as the solvent in this context. It exhibits a notable degree of non-reactivity, is miscible with a majority of organic solvents, has the chemical formula (CHCl₃), and boasts an exceptional purity level of 99.99%, representing the highest purity obtainable. The chemical fulfilled the role of a solvent for the laser dyes that were utilized in the study that we are now conducting.

4.2 Solution preparation

Four liquid solutions of the natural dyes used in this study were prepared (Anthocyanin, Carotene, Carthamin and Curcumin) by dissolving a specific weight of each dye in the appropriate solvent in a volume of (20 ml) to obtain solutions of these dyes at a concentration of (1 mM) and according to the weight equation (Leave it on the machine for half an hour, stirring continuously until the solution is homogeneous)[25]:

$\mathrm{W}=\frac{M w \times V \times C}{1000}$           (10)

where, Mw is the material's molecular weight (g/mol), V is the solvent's volume (ml), and W is the weight of the substance dissolved in (g). Then, using the dilution relationship, four liquid solutions with varying concentrations of each natural dye (0.02, 0.04, 0.06, and 0.08) mM were made, as seen in Figure 2 [26].

Figure 2. The solutions samples of natural dyes: (a) Anthocyanin dye, (b) Carotene dye, (c) Carthamin dye, and (d) Curcumin dye at different concentrations

C1V1=C2V2          (11)

where, C1: primitive concentration, C2: New concentration, V1: The volume before dilution,V2: The volume after dilution.

4.3 Z-Scan setup

The Z-experiment approach is a short and smooth manner to have a look at nonlinear refraction and nonlinear absorption. Using a non-stop wave diode pump strong with a wavelength of λ = 457 nm and a laser diode with wave period.  While the pattern is scanning alongside the z-axis, the laser is targeted on the focus using a Gaussian beam with a convex lens and a focal duration of 15 cm. The continuous wave laser output is 48 mW. Figure 3 depicts the two principal setups for the Z-Scan technique: near aperture and open aperture. When a section of the laser beam is obstructed at the power meter, the proximal aperture configuration is employed to examine nonlinear refraction (n2); Analyze the closed aperture Z-Scan measurement results

To calculate the nonlinear refraction (n2) of the materials, divide the closed aperture data by the open aperture data, as shown in Figure 3, which yields the nonlinear refraction (n2).

Figure 3. Z-Scan analysis: (a) Closed-aperture configuration, (b) Open-aperture configuration, and (c) Nonlinear refraction after subtracting nonlinear absorption [8]

While all the laser mild reaches the energy meter, the open aperture arrangement is used to have a look at nonlinear absorption [27].

4.4 Results and discussions

4.4.1 Linear optical properties

Using seen and ultraviolet spectrometers, the absorbance and transmittance spectra of natural dye answers (Anthocyanin, Carotene, Carthamin, and Curcumin) dissolved in water and ethanol solvents at diverse concentrations (zero.02, 0.04, 0.06, zero.08) mM are displayed in Figures 4-7. The effects show that, for all dye solutions, elevated concentrations bring about better absorbance values and decrease transmittance values; that is in step with the Beer-Lambert equation. Additionally, it is found that carotene dye solutions have greater absorption values than the other dyes. The nonlinear absorption and nonlinear refractions had been decided the usage of the transmittance and absorbance values. A rise in absorbance with increasing awareness consequences in boom in the linear optical coefficients, as indicated in Table 3, which displays the most sizable optical traits on the wavelength (457) nm.

(a)

(b)

Figure 4. Z-Scan apparatus arrangements: (a) Closed-aperture and (b) Open-aperture [8]

Figure 5. Absorbance and transmittance spectra of natural Anthocyanin dye solutions in distilled water at various concentrations

Figure 6. Absorbance and transmittance spectra of natural Carotene dye solutions in distilled water at various concentrations

Figure 7. Absorbance and transmittance spectra of natural Carthamin dyes solutions dissolved in distilled water solvent at different concentrations

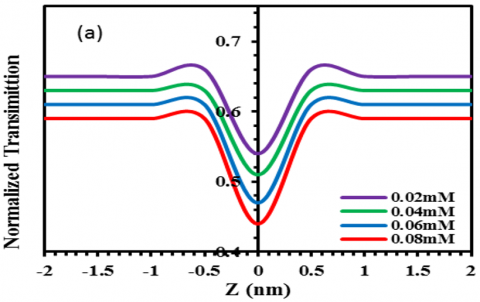
4.4.2 Non-linear optical properties

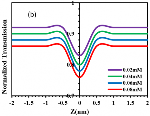
Using Z-Scan with tight and open apertures, the nonlinear optical characteristics of natural dye solutions at various concentrations (0.02, 0.04, 0.06, 0.08) are investigated. We assess nonlinear absorption (β) and nonlinear refraction (n2). Herbal dye solutions were tested for nonlinear refractive index using closed-aperture Z-Scan. Figure 8 shows how the nonlinear effect vicinity for prepared materials is extended from (-2) cm to (2) cm as a function of distance using the normalised transmittance of closed-aperture Z-Scan data. When (n2 < zero) that takes references into account, the effects of a tight aperture are displayed by the height seen by the valley that makes up the self-defocusing and negative lens [28, 29].

The Z-Scan make use of the translate degree the circulate the pattern forward and back phrase passing the focal point (beam waist). The nonlinear absorption coefficient (µ) and the nonlinear refraction coefficients (n2) are measured in this work. The phenomenon of nonlinear refraction occurs when the electric field strength reaches at least half of the band gap energy in either an insulator or a semiconductor. The nonlinear absorption will happen while the material absorbs photons simultaneously [30].

The samples test alongside the Z-axis, close aperture setup by means of putting the aperture earlier than strength meter detector to block portion of transmitted electricity numerous among zero ≤S ≤ 0.5, to accrue NLR and NLA at focal factor Z=zero. The nonlinear refraction will depend on the intensity at the focus Z=zero whilst the pattern scanning over focal factor of Z-Scan direction display (terrible lens or high quality lens) nonlinear refraction (NLR) as expression n2(I)=no n2I in which no is the linear refraction whilst I is the intensity of laser beam and n2 the nonlinear refraction in Z-Scan method [31, 32].

Figure 8. Closed-aperture Z-Scan analysis of natural dyes solutions: (a) Anthocyanin dye, (b) Carotene dye, (c) Carthamin dye, and (d) Curcumin dye at various concentrations

The Z-Scan scanning principle done by move the sample along Gaussian beam of Z-Scan direction where the focal point at (Z=0) and Z-Scan direction transmittance is symmetrical on the both side. Sample act as lens that will varying focal length when scanning through focal point and happen nonlinear absorption and transmitted power will reduce. The sample scanning on the Z-Scan direction depend on the intensity that effect on the nonlinear absorption as expression α(I)=αo+βI In the Z-Scan approach, αo represents linear absorption, I denotes the intensity of the laser beam, and β signifies the novel phenomenon of nonlinear absorption, which can result in induced transparency (β<0) or absorption (β>0) in materials. (Source: In the context of nonlinear absorption, Figure 9 depicts two-photon absorption, and Table 3 displays the nonlinear absorption coefficient values for the anthocyanin dye.

Figure 9. Open-aperture Z-Scan measurements of natural dyes solutions: (a) Anthocyanins, (b) Carotene, (c) Carthamin, and (d) Curcumin at various concentrations

Table 3. Linear and nonlinear optical parameters of natural dyes solutions (Anthocyanin, Carthamin, Carotene and Curcumin) with different concentrations at wavelength (λ = 457 nm)

Dyes Solutions

Concentration (mM)

A

T

o)

cm-1

no

n2

(cm2/mW)

β

(cm/mW)

Anthocyanin

0.02

0.027

0.939

0.061

1.427

4.4780×10-10

1.3733×10-3

0.04

0.046

0.899

0.106

1.599

6.9745×10-10

1.3594×10-3

0.06

0.061

0.869

0.139

1.716

8.1532×10-10

1.3484×10-3

0.08

0.093

0.806

0.215

1.973

9.4216×10-10

1.3258×10-3

Carthamin

0.02

0.050

0.890

0.115

1.633

2.5016×10-10

1.2007×10-3

0.04

0.107

0.780

0.247

2.081

2.8024×10-10

1.1750×10-3

0.06

0.138

0.727

0.318

2.319

3.6834×10-10

1.1372×10-3

0.08

0.210

0.615

0.485

2.905

4.2168×10-10

1.0912×10-3

Carotene

0.02

0.072

0.846

0.167

1.811

3.5016×10-10

1.3315×10-3

0.04

0.148

0.710

0.341

2.396

5.5024×10-10

1.2930×10-3

0.06

0.240

0.574

0.553

3.163

7.6834×10-10

1.2833×10-3

0.08

0.345

0.451

0.795

4.190

8.2168×10-10

1.2706×10-3

Curcumin

0.02

0.148

0.709

0.343

2.402

1.1188×10-10

1.0408×10-3

0.04

0.196

0.636

0.452

2.784

1.2731×10-10

0.9870×10-3

0.06

0.247

0.566

0.568

3.219

2.3839×10-10

0.9409×10-3

0.08

0.296

0.505

0.683

3.689

2.5855×10-10

0.8747×10-3

5. Conclusions

As stated above, growing cognizance of the herbal dyes used on this observation effects higher absorbance values and decrease transmittance values, that's consistent with the Beer-Lambard regulation and therefore ends in a boom in linear optical homes (linear absorption coefficient and linear refractive index). The satisfactory absorbance and optical houses are discovered inside the carotene dye responses. In relation to the nonlinear optical houses, it has been stated that everyone natural dye solutions show off the self-focusing phenomenon, that concentration will increase and result in a growth inside the nonlinear absorption coefficient for all these dye answers, and that the anthocyanin dye solutions had the bottom nonlinear absorption coefficient costs.  It is likewise shown that every one of these dyes display -photon absorption and that the nonlinear absorption coefficient values lower as recognition increases.  The nonlinear absorption coefficient's lowest value is found for anthocyanin dyes.

  References

[1] Hemmatzadeh, R., Mohammadi, A. (2013). Improving optical absorptivity of natural dyes for fabrication of efficient dye-sensitized solar cells. Journal of Theoretical and Applied Physics, 7: 1-7. https://doi.org/10.1186/2251-7235-7-57

[2] Chen, Y.C., Hsu, C.Y., Lin, R.Y.Y., Ho, K.C., Lin, J.T. (2013). Materials for the active layer of organic photovoltaics: Ternary solar cell approach. ChemSusChem, 6(1): 20-35. https://doi.org/10.1002/cssc.201200609

[3] Sheik-Bahae, M., Van Stryland, E. (1998). Z-scan measurements of optical nonlinearities. Characterization Techniques and Tabulations for Organic Non-linear Materials, New York, NY: Marcel Dekker, 655-692.

[4] Mezher, M.H., Chong, W.Y., Zakaria, R. (2016). Nonlinear optical response of platinum nanostructures and application for water detection in transformer oil. RSC Advances, 6(106): 104624-104631. https://doi.org/10.1039/C6RA22367B

[5] Samanta, A.K., Agarwal, P. (2009). Application of natural dyes on textiles.

[6] Khoo, H.E., Azlan, A., Tang, S.T., Lim, S.M. (2017). Anthocyanidins and anthocyanins: Colored pigments as food, pharmaceutical ingredients, and the potential health benefits. Food & Nutrition Research, 61(1): 1361779. https://doi.org/10.1080/16546628.2017.1361779

[7] Schäfer, F.P. (2005). Principles of Dye Laser Operation. Dye Lasers, 1-89. https://doi.org/10.1007/3-540-51558-5_7

[8] Geethu Mani, R.G., Ahamed, M.B. (2014). Laser performance of rhodamine B and methyl violet B base dye mixture in solid and liquid media. Journal of Nonlinear Optical Physics & Materials, 23(04): 1450053. https://doi.org/10.1142/S0218863514500532

[9] Gomez, S.L., Cuppo, F.L.S., Figueiredo Neto, A.M. (2003). Nonlinear optical properties of liquid crystals probed by Z-scan technique. Brazilian Journal of Physics, 33(4): 813-820. https://doi.org/10.1590/S0103-97332003000400035

[10] Chabuk, M.A.A., Al Ibraheemi, M.M. (2023). Performance improvement of OFDM system based on reed-solomon encoder and block interleaver in fading channel. AIP Conference Proceedings, 2787(1): 050029. https://doi.org/10.1063/5.0150200

[11] Alibraheemi, H.M.M., Al Ibraheemi, M.M., Radhy, Z.H. (2024). Design and practical implementation of a stream cipher algorithm based on a lorenz system. Mesopotamian Journal of CyberSecurity, 4(3): 136-151. https://doi.org/10.58496/MJCS/2024/019

[12] Shatnan, W.A., Almawlawe, M.D.H., Jabur, M.A.A.A. (2023). Optimal fuzzy-FOPID, fuzzy-PID control schemes for trajectory tracking of 3DOF robot manipulator. Tikrit Journal of Engineering Sciences, 30(4): 46-53. https://doi.org/10.25130/tjes.30.4.6

[13] Sakhno, O., Yezhov, P., Hryn, V., Rudenko, V., Smirnova, T. (2020). Optical and nonlinear properties of photonic polymer nanocomposites and holographic gratings modified with noble metal nanoparticles. Polymers, 12(2): 480. https://doi.org/10.3390/polym12020480

[14] Kadhum, S.H., Mezher, M.H. (2024). Design study of an optical sensor based on optical fiber with graphene oxide. Journal of University of Babylon for Pure and Applied Sciences, 32(4): 142-154. https://doi.org/10.29196/jubpas.v32i4.5527

[15] Hallensleben, M.L. (2000). Polyvinyl compounds, others. Ullmann's Encyclopedia of Industrial Chemistry. https://doi.org/10.1002/14356007.a21_743

[16] Arbeloa, F.L., Arbeloa, T.L., Arbeloa, I.L. (2001). Photophysical properties of laser dyes: Correlations with the lasing characteristics. In Handbook of Advanced Electronic and Photonic Materials and Devices, pp. 209-245. Academic Press. https://doi.org/10.1016/B978-012513745-4/50061-5

[17] Mohammad, R.K., Aboud, L.H., Jassim, A.H. (2019). Study of molecular electronic energy levels of malachite green dye. AIP Conference Proceedings, 2144(1): 030022. https://doi.org/10.1063/1.5123092

[18] Henari, F.Z., Patil, P.S. (2014). Nonlinear optical properties and optical limiting measurements of {(1Z)-[4-(Dimethylamino) Phenyl] Methylene} 4-Nitrobenzocarboxy Hydrazone Monohydrate under cw laser regime. Optics and Photonics Journal, 4(7): 182-188. https://doi.org/10.4236/opj.2014.47018

[19] Jabbar, S.A., Naser, B.A., Mahdi, S.A. (2024). Non-linear and linear optical properties of an organic laser dye mixture. Revue des Composites et des Matériaux Avancés-Journal of Composite and Advanced Materials, 34(4): 401-407. https://doi.org/10.18280/rcma.340401

[20] Saini, G.S.S., Kaur, S., Tripathi, S.K., Mahajan, C.G., Thanga, H.H., Verma, A.L. (2005). Spectroscopic studies of rhodamine 6G dispersed in polymethylcyanoacrylate. Spectrochimica Acta Part A: Molecular and Biomolecular Spectroscopy, 61(4): 653-658. https://doi.org/10.1016/j.saa.2004.05.022

[21] Aboud, L.H., Abbas, T.M., Abd Ali, H.H. (2017). Effect of solution viscosity on the linear optical properties of orcein dye. Journal of Global Pharma Technology, 12(9): 128-136.

[22] Gu, B., Wang, H.T. (2011). Linear and nonlinear optical properties of ferroelectric thin films. In Ferroelectrics-Physical Effects. IntechOpen. https://doi.org/10.5772/16525

[23] Abd AL-Adel, K., Badran, H.A. (2012). The study of the nonlinear optical properties of solutions under CW laser illumination. Journal of Basrah Researches (Sciences), 38(4): 73-79.

[24] Fuh, A.Y.G., Lin, H.C., Mo, T.S., Chen, C.H. (2005). Nonlinear optical property of azo-dye doped liquid crystals determined by biphotonic Z-scan technique. Optics Express, 13(26): 10634-10641. https://doi.org/10.1364/OPEX.13.010634

[25] Al-Hamdani, A.H., Ibrahim, S.I., Al-Hamdani, H.A.H. (2016). Spectroscopic properties of different concentration xanthene's dye mixture (6G, 3GO, B and C) solution in chloroform. Al-Bahir Journal, 1(1): 97-104.

[26] Hameed, A.P.D.M. (2014). JOURNAL OF KARBALA UNIVERSITY. Journal of Kerbala University, 12(3).

[27] Klysubun, P. (2002). Nonlinear optical studies of dye-doped nematic liquid crystals. Doctoral dissertation, Virginia Polytechnic Institute and State University.

[28] Raikar, U.S., Tangod, V.B., Mastiholi, B.M., Sreenivasa, S. (2010). Solvent effects and photophysical studies of ADS560EI laser dye. African Journal of Pure and Applied Chemistry, 4(9): 188-197.

[29] Zhang, H., Toshima, N., Takasaki, K., Okumura, M. (2014). Preparation of Agcore/Aushell bimetallic nanoparticles from physical mixtures of Au clusters and Ag ions under dark conditions and their catalytic activity for aerobic glucose oxidation. Journal of Alloys and Compounds, 586: 462-468. https://doi.org/10.1016/j.jallcom.2013.10.048

[30] Jeyaram, S., Geethakrishnan, T. (2017). Third-order nonlinear optical properties of acid green 25 dye by Z─ scan method. Optics & Laser Technology, 89: 179-185. https://doi.org/10.1016/j.optlastec.2016.10.006

[31] Alnayli, R.S., Shanon, Z.S., Hadi, A.S. (2019). Study the linear and nonlinear optical properties for laser dye Rhodamine B. Journal of Physics: Conference Series, 1234(1): 012022. https://doi.org/10.1088/1742-6596/1234/1/012022

[32] Gawande, M.B., Goswami, A., Felpin, F.X., Asefa, T., Huang, X., Silva, R., Zou, X.X., Zboril, R., Varma, R.S. (2016). Cu and Cu-based nanoparticles: Synthesis and applications in catalysis. Chemical Reviews, 116(6): 3722-3811. https://doi.org/10.1021/acs.chemrev.5b00482