Optimizing Physical and Mechanical Properties of Recycled Filler and Fiber Sand Concrete: A Full Factorial Design Approach

Optimizing Physical and Mechanical Properties of Recycled Filler and Fiber Sand Concrete: A Full Factorial Design Approach

Ikram Souici* Leila Zeghichi Abdelhalim Benouis

Department of Civil Engineering and Hydraulic, May 8, 1945 University, Guelma, Algeria

Department of Civil Engineering and Hydraulic, Mohamed Khider University, Biskra 07000, Algeria

Corresponding Author Email: 
souici.ikram@univ-guelma.dz
Page: 
51-59
|
DOI: 
https://doi.org/10.18280/rcma.340107
Received: 
13 November 2023
|
Revised: 
4 December 2023
|
Accepted: 
11 January 2024
|
Available online: 
29 February 2024
| Citation

© 2024 The authors. This article is published by IIETA and is licensed under the CC BY 4.0 license (http://creativecommons.org/licenses/by/4.0/).

OPEN ACCESS

Abstract: 

In response to the escalating economic, technical, and environmental challenges associated with the disposal of waste from construction, demolition, and agricultural sectors, this study investigates the formulation of an innovative sand concrete. This concrete incorporates recovered materials, specifically recycled fines from waste concrete as fillers and date palm waste as fibers, to address the urgent need for sustainable construction materials. Utilizing a 23 full factorial experimental design, this investigation rigorously examined the impact of three critical parameters: fiber percentage (FP), recycled filler percentage (RFP), and fiber length (FL), on the physico-mechanical properties of the resulting sand concrete. The analysis, conducted with the statistical software JMP Trial 16, revealed divergent effects of these variables on the material's properties. It was observed that while both fiber length (FL) and fiber content (FP) exert a significant influence on the concrete's characteristics, the proportion of recycled fillers (RFP) integrated into the mixture displayed a negligible effect. Notably, the incorporation of recycled fillers and fibers into sand concrete significantly enhanced its flexural strength. Comparisons with control sand concrete demonstrated a substantial increase in strength, with improvements of up to 19.5%. This exploration not only contributes to the body of knowledge on sustainable building materials but also underscores the potential of utilizing agricultural and construction waste to enhance the performance of concrete. The findings suggest that strategic incorporation of waste-derived fibers and fillers could play a pivotal role in the development of stronger, more environmentally friendly construction materials.

Keywords: 

date palm waste fibers, factorial plane, optimization, recycled fillers, sand concrete, valorization

1. Introduction

Sand concrete, resembling traditional concrete in production scale, has been the subject of renewed interest as a construction material. Despite considerable advances in understanding its behavior through existing studies, a comprehensive grasp of sand concrete's properties remains elusive. Recent investigations have delineated sand concrete's economic benefits and technical properties [1], typically comprising sand, fines, cement, and water. To tailor this basic mix for specific applications, additions such as gravel, fibers, additives, and other components are considered [2].

The performance enhancement of sand concrete often involves the integration of mineral fillers. Among these, limestone fillers—with their high affinity for cement hydrate crystals—have been extensively utilized and researched for sand concrete production [3]. These fillers are primarily employed to improve the compactness of the concrete by refining its granular structure and to mitigate the use of costly cement. The cohesion of the mixture, influenced by the mineralogical nature, fineness, and reactivity of the fillers, has also been found to benefit from such additions [1].

A significant increase in demand for natural aggregates for the construction and public works sectors has been reported in recent years [4]. The existing supply of these aggregates is struggling to meet the burgeoning demand, and the establishment of new quarries is increasingly constrained by stringent regulations aimed at environmental preservation.

Concurrently, demolition and construction waste, derived from the deconstruction of outdated buildings, present a growing environmental issue when disposed of in landfills or used merely for embankments [5]. In light of this, research has been directed toward the utilization of recycled aggregates in concrete, despite their initially inferior properties. The crushing of recycled concrete blocks produces a quantity of fines, which, as some studies have suggested, can be effectively incorporated into various cementitious materials (Table 1).

Table 1. Summary of data about the use of fine recycled concrete (FRC) in cementitious materials

Ref.

% of Recycled Fillers

Mixture

Properties

Results

[4]

10, 20, 30, 50 and 100

Concrete

Compressive strength

The compressive strength results have shown that it is possible to create FRC concretes that have high performance properties, as the concrete made with 100% of FRC presented compressive strength of about 55 MPa.

[6]

0, 25, 50, 75 and 100

Ultra-hight performance (UHPC)

Mechanical behavior

The compressive and flexural strength and tenacity of UHPC decreased as more RFC was introduced.

[7]

0, 25, 50, 75 and 100

Concrete

Mechanical properties

Generally, there is strength reduction of 15 – 30% for concrete containing FRC. However, concrete incorporating up to 50% FRC exhibits similar long-term strength to that of the control. Even at 100% replacement of fine aggregate with FRC, the reduction in strength is only 10%.

[8]

0, 20, 50 and 100

Concrete

Durability

The carbonation depth reached a minimum and the resistivity reached a maximum when 50% contents of fine recycled masonry aggregates were used.

[9]

0 and 100

Concrete

Compressive strength Splitting tensile

The use of FRC instead of normal aggregates reduced the compressive and splitting tensile strengths in both normal and high strength concrete. The reduction in the splitting tensile strength was more pronounced than for the compressive strength

[10]

0, 25, 50, 75 and 100

Self compacting concrete (SCC)

Rheology fresh properties

The results reveal that Herschel-Bulkley and modified Bingham models provide well defined rheological representations for SCC with FRC. The self-compatibility characteristics of the concretes are remarkably improved by the replacement levels of FRC used in SCC mixtures.

[11]

0, 25, 50, 75 and 100

Concrete

Compressive strength Splitting tensile and flexural strength

For 100% replacement of natural fine aggregate (NFA) by RFC, the compressive, splitting tensile and flexural strengths were found to decrease by 13·51, 6·46 and 22·62% respectively.

The incorporation of agricultural waste, particularly date palm waste which constitutes an environmental challenge in regions like southern Algeria, into concrete is gaining traction. Maintenance of date palms, necessary for waste reduction, generates significant by-products: each palm yields 26 kg of waste annually, including 9.8 kg of midribs, 8 kg of leaflets, 7 kg of spadix stems, and 1.2 kg of mesh [12].

The reinforcement potential of natural plant fibers in cementitious composites has been confirmed, with date palm fibers being a focus for reinforcement applications. The results are summarized in Table 2.

Table 2. Summary of data about the use of date palm fibers (DPF) in cementitious materials

Ref.

Percentage of DPF

Mixture

Results

[13]

5%, 10%, 15%, 20%, 25% and 30%

Mortar

The density and thermal conductivity of the mortar decrease with increasing DPF contents; the compressive strength of the mortar decreases with increasing DPF.

[14]

0% to 51%

Mortar

DPF increased the water absorption and porosity of the mortar. Thermal conductivity of the mortar was also reported to decrease with addition of DPF.

[15]

0% to 51%

Mortar

The ductility of the mortar increased with increment in DPF content; however, the flexural and mechanical strengths of the mortar decrease with increment in DPF addition.

[16]

2% and 3%

Concrete

The compressive strength at all ages decreased with increase in fiber addition and length. The flexural strength, which was measured in terms of load-deflection, also decreased with increase in fiber volume.

[17]

1%, 1.5% and 2%

Plaster concrete

The thermal conductivity increased with increase in the fiber length and decreased with increment in fiber volume due to escalation of void content in the cement matrix.

[18]

0.5%, 1%, 1.5%, 2% and 2.5%

Concrete

They reported a decrease in workability and compressive strength with increment in fiber dosage and length.

However, the combined use of mineral waste (recycled filler) and organic waste (date palm fibers) in sand concrete has not been adequately explored. This study, therefore, seeks to fill this gap by assessing the effects of filler and fiber incorporation on sand concrete's physical and mechanical properties. Date palm fibers, derived from palm spines and available in 2 cm and 6 cm lengths, were added in volumes of 0.1% and 0.2% (Figure 1). Recycled concrete fillers were substituted for limestone fillers in proportions of 50% and 100% by weight.

Figure 1. Date palm fibers

A comprehensive three-level factorial design was employed to optimize the parameters of fiber length (FL), fiber percentage (FP), and recycled filler percentage (RFP). The response surfaces and model predictions yielded by this design in JMP Trial 16 were meticulously analyzed.

This study aims to evaluate and optimize the effects of recycled fines content and waste fiber content at varying lengths on the physical and mechanical properties of sand concrete using a full factorial design methodology.

2. Materials Used

2.1 Sand

It is the main constituent of the sand concrete skeleton. This is local river sand that was brought from Lioua region in the Wilaya of Biskra (Algeria). Its absolute density is 2.58 g/cm³ with a fineness modulus equal to 2.38.

2.2 Cement

Portland cement CEM I 42.5 N SR3 LH (CRS cement resistant to sulphates), manufactured by the cement factory "Biskria Cement SPA" in the Wilaya of Biskra (Algeria), was used in this work. Its absolute density is equal to 3.12 g/cm3.

2.3 Limestone filler

This natural limestone filler comes from the quarry of the Wilaya of M'sila (Algeria). The average grain diameter of this limestone filler is ϕ = 80 µm. As for its specific surface, it is 6000 cm2/g, with an absolute density equal to 2.68 g/cm3.

2.4 Fine recycled concrete

Resulting from the crushing of concrete specimens, its absolute density is equal to 2.51 g/cm³, its specific surface is about 6000 cm2/g.

Chemical analysis and the X-ray fluorescence spectrometry of fine materials: Cement, limestone filler and recycled filler are presented in Table 3 and Figure 2 respectively.

Figure 2 illustrates the X-ray fluorescence spectra of fines, cement, limestone filler, and recycled fillers. It is clearly seen that the peak corresponding to the limestone filler is larger than those of the other elements.

Figure 2. X-ray fluorescence spectrometry of cement, limestone filler and recycled filler

Table 3. Chemical composition of cement, limestone filler and recycled filler

Fine Materials

Cement

Loss on fire

MgO

SO3

Cl

Insoluble residue

˂ 3

˂ 3.5

2.2- 2.6

˂ 0.04

˂ 0.75

Fine Materials

Limestone filler

Sio2

Al2O3

Fe2O3

CaO

MgO

SO3

K2O

1.64

0.56

0.24

53.13

0.23

0.21

0.07

Fine Materials

Recycled filler

Sio2

Al2O3

Fe2O3

CaO

MgO

SO3

K2O

8.31

2.59

1.65

47.57

1.5

1.55

0.31

Figure 3 illustrates the morphology of the particles of the limestone filler and the recycled filler. The limestone particles are very fine with a round shape, while the grains of the recycled filler are covered by the hydrated products of the cement.

Figure 3. SEM image: (a) Limestone filler, (b) Recycled filler

2.5 Adjuvant

This adjuvant is a MEDAPLAST 40 type high range water-reducing superplasticizer. It is a brown colored liquid, with a dry extract of 40% and a PH = 8.2. Its density is equal to 1.2.

2.6 Date palm fibers

These vegetable fibers have an apparent density equal to 1.84 g/cm3, an absolute density of 1.55 g/cm3, and an absorption coefficient of 1.85%. They have two lengths, i.e., 2 cm and 6 cm, but the same diameter of 1 mm. The procedure followed to obtain the date palm fibers is illustrated in Figure 1.

3. Experimental Method

The experimental study was carried out on 3 types of sand concrete, namely the control sand concrete without fibers whose composition is well presented in Table 4, the fiber sand concrete, and the fiber sand concrete incorporating recycled fillers. We prepared these three types of sand concrete as follows:

First, dry mix sand, cement, limestone filler and recycled fillers for 1 minute.

Next, add water and adjuvant, and mix for 2 minutes. Then, incorporate fibers, and mix by hand until obtaining a homogeneous mixture.

The specimens were conserved in water at laboratory temprature (20s℃), for 28 days.

The proportions of the different components used for the manufacture of the test specimen were selected in accordance with the recommendations of the experimental method proposed in the Sablocrete project [2]. This summarized as follows:

Set the quantities of ciment and Water at 350 kg and 220 L, respectively.

Determine the quantity of sand in 1 m³.

Formulate the sand concrete without filler with a workability of 7 to 10 s.

For the purpose of increasing the compactness of sand concrete, it was deemed necessary to add the limestone filler so that the real apparent mass is identical to the theoritical apparente mass (RAM = TAM), while respecting the workability of 7 to 10 s.

It should be noted that the control sand concrete and the fiber sand concrete are considered as reference concretes. Their physical and mechanical performance is shown in Table 5.

Table 4. Composition of control sand concrete (c0)

Components

Quantity (kg /m3)

Cement

350

Limestone filler

150

Sand

1359

Water

220

Superplasticizer

3.5

W/C

0.62

Table 5. Physical and mechanical properties of reference concretes

Types of Sand Concrete

Workability (cm)

Density (g/cm3)

Compressive Strength MPa

Flexural Strength MPa

Control sand concrete

15

1.81

35.13

4.5

Fibersand concrete

2 cm / 0.1%

6 cm / 0.1%

2 cm / 0.2%

6 cm / 0.2%

15.5

16.75

16

18.25

1.9

1.98

1.97

1.94

34

34.74

28.57

34.45

4.75

5.62

5.26

6.75

4. Mixture Design Approach

Factorial designs would enable an experimenter to study the joint effect of the factors xi (parameters) on a response y; Y = F(xi), rated 2k: 2 control levels (low level, and high level) and k factors. The choice of factors is as function to their effect on the response.

The full factorial design 23 (define 8 trials) is used in this work. The main advantage of the factorial design is the precise estimation of the main effects of each factor and their interactions in fewer experiments [19]. The effects matrix for formulating recycled fiber sand concrete is shown in Table 6. As for Figure 4, it illustrates the flowchart that defines the experimental methodology adopted in this study.

The specimens prepared are preserved in water during the entire testing period.

Table 6. The effects matrix for formulating recycled fiber sand concrete

Composition

C1

C2

C3

C4

LF (cm)

2

6

2

6

PF (%)

0.1

0.1

0.2

0.2

RFP (%)

50

50

50

50

Cement kg/m3

350

350

350

350

Limestone filler (kg/m3)

75

75

75

75

Recycled filler (kg/m3)

75

75

75

75

Fiber (kg)

1.58

1.58

3.16

3.16

Sand (kg/m3)

1359

1359

1359

1359

Water (kg)

220

220

220

220

Superplasticizer (kg)

3.5

3.5

3.5

3.5

W/C

0.62

0.62

0.62

0.62

Composition

C5

C6

C7

C8

LF (cm)

2

6

2

6

PF (%)

0.1

0.1

0.2

0.2

RFP (%)

100

100

100

100

Cement kg/m3

350

350

350

350

Limestone filler (kg/m3)

0

0

0

0

Recycled filler (kg/m3)

150

150

150

150

Fiber (kg)

1.58

1.58

3.16

3.16

Sand (kg/m3)

1359

1359

1359

1359

Water (kg)

220

220

220

220

Superplasticizer (kg)

3.5

3.5

3.5

3.5

W/C

0.62

0.62

0.62

0.62

Figure 4. Methodology followed

5. Results and Discussion

5.1 Modeling of the physical properties of fiber sand concrete including recycled filler

5.1.1 Workability and density

The data depicted in Figure 5 show an increase in the workability of fiber sand concretes without recycled fillers. It has been revealed that the replacement of the limestone filler by the recycled filler leads to a decrease in workability which remains comparable to that of the control concrete C0. In addition, increasing the content of fibers and their length contributes a significant increase in concrete workability. Likewise, the density of fiber sand concretes based on limestone filler also increases; it is greater than that of the control concrete due to the presence of water in the fibers. It should be noted that the incorporation of the recycled filler reduces the density of sand concretes.

Figure 5. Workability and density of different sand concretes

(1) Mathematical model

The statistical parameter analyses presented in Table 6 and Figures 5 and 6 indicate that Eq. (1) and Eq. (2) adequately represent the true relationship between the independent variables and responses. Moreover, the mathematical models generated by the software used in this study for the workability W and density D are given by the following Equations:

W (Cm) = 14, 8125 + 0, 4375 FL + 0, 4375 FP – 0,0625RFP + 0, 0625 FL* FP + 0, 0625 FL*RFP–0,1875FP*RFP             (1)

D (g/cm3) = 1.78 - 0,005 FL + 0, 01 FP - 0,005 RFP + 0 FL* FP + 0 FL* RFP + 0 FP* RFP             (2)

(2) Adjustment summary

The workability and density values, which were measured and recorded during the tests, are compared with the results predicted by the quadratic model (Table 7). In addition, the correlation coefficients R2 and adjusted R2 are close to 1 (0.99 and 0.936) for the workability. This coefficient is equal to 1 in the case of density. These results suggest that a good correlation exists between the responses obtained experimentally and those given by the generated model.

Table 7. Adjustment summary of physical properties

 

W (cm)

D (g/cm3)

R2

0.99

1

Adjusted R2

0.936937

1

RMSE

0.1768

0

Mean of response

14.8125

1.78

(3) Graphical representation of residuals versus predicted values

Figure 6 depicts the curves representing the evolution of the residues as a function of the predicted responses, for the workability and density of fiber sand concrete including recycled filler in the fresh state. Figure 6(a) clearly suggests that the diffusion is random, while Figure 6(b) indicates that the residuals are entirely consistent with 0, which implies that there are no outliers. This also means that the measured values are in good agreement with the calculated ones.

Figure 6. Diagram of residuals according to the predicted values responses: (a) Workability, (b) Fresh density

(4) Forecast profiler

The main effect shows the average variations between the highest and lowest values of each factor. The amplitude of the slope gives an idea about the magnitude of the effect of each factor. When the slope is positive, the response can reach quite high levels [20]. The mathematical model under consideration and Figure 7 explicitly indicate that the workability and density are mainly conditioned by the amount of incorporated fibers and their length. In this context, literature [21] showed that adding fibers to the cementitious matrix affects workability. Jaradat et al. [22] reported a reduction in the workability of sand concrete when increasing the percentage of sisal fibers. In our case, an increase in workability was noticed when the amount of incorporated fibers went up. This was certainly due to the presence of saturated date palm fibers. This has certainly favored the presence of free water in the mixture.

Figure 7. Main effect plot of: (a) Workability, (b) Fresh density

Furthermore, increasing the percentage of recycled filler during the preparation of concrete decreased its workability and its density, which is in agreement with the results reported by Celik and Marar [23] and Yaprak et al. [24]. These authors studied the effect of recycled fine aggregates on the fresh proporties of concrete. Indeed, Celik and Marar [23] mentioned that when the percentage of fines (particles with size less than 250 μm) increased, the amount of water required to adequately wet the surface of the particles and to maintain a specified workability must be greater. With regard to literature [24], it has been revealed that the weight of fresh concrete decreased as the amount of recycled fine aggregate increased in the concrete mix. Such behavior was certainly, because the density of recycled fine aggregates was lower than that of natural fine aggregates and to the increasing air content in fresh concrete.

(5) Surface profiler

Figure 8(a) clearly shows that the workability of sand concrete follows a linear relationship, which depends on the percentage of fibers in the mixture and their lengths. A higher surface slope suggests that the effect of the parameter FL (cm) is greater than that of the parameter FP (%). Examination of the workability isoresponse surface allows deducing that the minimal response is reached for the minimal levels of FL (cm) and FP (%), 3 cm and 0.14%, respectively. Likewise, the maximum workability is obtained for the maximum FL (cm) and maximum FP (%) levels, 5 cm and 0.15%, respectively. Moreover, the large profile of the surface model for the workability shows that the best-fitting model is linear in nature.

Figure 8(b) depicts the effect of the two factors FL (cm) and FP (%) on the response (density) of fresh sand concrete. It is noted that the factor FL (%) plays a very important role in the process. Moreover, it turned out that increasing this factor leads to an improvement in density. Furthermore, when the fiber content FP (%) increases and reaches 0.15%, the density of concrete increases too. The results showed that the mixture containing 0.15% fibers 5 cm long shows the highest density, approximately 1.798 g/cm3. However, the minimum density, which is of the order of 1.762 g/cm3, is obtained when the mixture contains 0.14% of fibers with a length of 3 cm.

Figure 8. Isoresponse surfaces of the workability and fresh density

5.2 Modeling of mechanical properties

5.2.1 Compressive strength and flexural strength

This parameter was measured after 28 days of hardening, in a humid environment. The results obtained are presented in Figure 9.

It was found that the compressive strength varied from 30 to 35 MPa for the different types of concrete. The findings indicate that the compressive strength increase was particularly noticeable in sand concretes containing 0.1% fibers 6 cm long, incorporating based on recycled filler. As for the flexural strength, it is conditioned by the amount of fibers incorporated in the concrete mixture and their length. In addition, it turned out that the incorporation of recycled fillers has an effect on the compressive strength of concrete.

Figure 9. Compressive and flexural strengths of different sand concretes

(1) Mathematical model

The mathematical models that are represented by Eq. (3) and Eq. (4) generate statistical analyses of the mechanical responses:

Cs (MPa) = 34.79375 + 0.71125 FL – 0.66125 FP + 0.02875 RFP - 0.03375 FL*FP + 0.03625 FL*RFP + 0.26875 FP*RFP                       (3)

Fs (MPa) = 5.39 + 0.3529 FL – 0.3475 FP + 0.0425 RFP + 0.15 FL*FP + 0.05 FL*RFP + 0.01 FP*RFP                      (4)

(2) Adjustment summary

The results obtained for the mechanical strengths were compared with the ones predicted by the quadratic model (Table 8). The values of the correlation coefficients R2 and adjusted R2 (0.87 - 0.105) are relatively far from 1. However, the flexural strength values (0.99-0.99) are very close to 1. These findings show that there is a good correlation between the responses obtained experimentally and those generated by our model.

Table 8. Adjustment summary of mechanical properties

 

Cs (MPa)

Fs (MPa)

R2

0.87

0.99

Adjusted R2

0.105752

0.99

RMSE

1.0925

0.0071

Mean of response

34.79375

5.39

(3) Graphical representation of the variation of the residuals as a function of the predicted values

The graphical representations of the residuals as a function of the predicted values depicted in Figure 10 show that the normalized residuals are greater than +0.4 and smaller than -0.4 (Figure10 (a)); they are also greater than +0.03 and smaller than -0.04 (Figure 10(b)).

Figure 10. Diagram of residuals according to the predicted response values: (a) Compressive strength, (b) Flexural strength at 28 days

The proposed model indicates a negligible difference between the experimental value and the adjusted value.  It also signals that the points are uniformly distributed along the diagonal. It can therefore be concluded that the predicted model shows a significant convergence between the fitted value and the experimental value.

(4) Forecast profiler

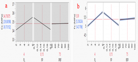
Figure 11 clearly shows that in order to increase the mechanical strengths (Cs and Fs), it is deemed necessary to increase the fiber length (FL), and reduce the fiber content (FP). Several studies [25-27] found out that the strength of concrete decreases with the addition of vegetable fibers.

On the other hand, it was revealed that the amount of recycled filler (RFP) in fiber sand concretes has little influence on both the compressive and flexural strengths. In addition, some authors have investigated the effect of recycled fine aggregates on various properties of concretes. In this regard, authors in literatures [7, 11, 28-30] have reported that the reduction in strength varies with the replacement rate of the recycled filler. The strength drop was equal to 6.7%, 11.1%, 31.3% and 50% for replacement rates of 10%, 30%, 50% and 100%, respectively. These results show that the compressive strength is quite sensitive to high replacement rates.

Figure 11. Main effect plot: (a) Compressive strength, (b) Flexural strength at 28 days

Furthermore, the strength reduction is mainly due to the increase in water content in concrete mixes with filler recycled concrete. It is also worth pointing out that a poor interface bond with the surrounding matrix forms due to the deposition of water in the interface zone [31].

Furthermore, it was revealed that the introduction of recycled fillers in sand concretes leads to an increase in their compactness due to the hydration of non-hydrated cement grains and to the creation of new dense C-S-H. Figure 12 illustrates the microstructure of sand concrete containing 100% and 50% recycled filler. The entanglement of C-S-H needles causes the filling of voids and space between the cement grains, which leads to the densification of the cementitious matrix.

Figure 12. Microstructure of sand concrete containing recycled filler

(5) Surface profiler

Figure 13. Isoresponse surfaces: (a) Compressive strength, (b) Flexural strength at 28 days

Figure 13 clearly illustrates the influence of the two factors FL (cm) and FP (%) on the mechanical strength of the concrete under study, namely the compressive strength Cs (MPa) and the flexural strength Fs (MPa). It is easily observed that the evolution of the compressive strength as a function of the fiber length (FL) and its content (FP) follows a linear relationship. The responses reach maximum values (Cs = 36.5 MPa, Fs = 6.1 MPa) when the fiber length FL is maximum (6 cm), with a fiber content FP = 0.12%, for the two mechanical strengths, the compressive strength and flexural strength.

6. Conclusion

A predictive approach was adopted in this work to study the effect of recovered and recycled waste (recycled fillers from demolition concrete and fibers from date palm waste) on the physico-mechanical properties of sand concrete. These properties were modeled using a complete factorial plan, along with the software JMP 16.

Statistical analyses confirmed that the correlation coefficients of the physical responses, workability and density, were between 0.99 and 1, and between 0.87 and 0.99, for the two mechanical strengths, namely the compressive strength and flexural strength, respectively. The results obtained indicated that the factors under study (fiber length FL and fiber percentage FP) influence differently the physical and mechanical properties of the concretes prepared. Indeed, it was found that these two parameters (FL and FP) have a significant impact on the above properties. However, the recycled filler percentage (RFP) has little influence on these two properties. An increase in fiber length (FL) and fiber percentage (FP), along with a decrease in recycled filler content (RFP), resulted in increased workability and density of the concrete. These findings allowed concluding that the mechanical strength increase is conditioned first by the fiber length increase and the percentage of recycled filler and then by the decrease in the fiber content.

Likewise, the findings suggest that the introduction of recycled fillers in sand concretes causes an increase in their compactness following the hydration of the anhydrated cement grains along with the creation of new dense C-S-H.

Furthermore, it was found that the compressive strength of sand concrete incorporating recycled filler and fiber was greater than that of fiber sand concrete by 5%, while it was lower than that of the control sand concrete by 1%. On the other hand, it turned out that the flexural strength of fiber sand concrete including the recycled filler was smaller than that of fiber sand concrete by 4%, but was greater than that of control sand concrete by 19.5%.

The use of recycled products in the preparation of concrete has several economic, environmental and technical interests. The production of a resistant and environmentally friendly sand concrete can be achieved by simple recovery of recycled fillers and fibers.

Large amounts of date palm waste and demolition waste are widely available around us. These wastes can be used to prepare construction materials. The effect of their substitution rates on the physical and mechanical properties of the formulated sand concrete were investigated. The results obtained were quite satisfactory in general. It would be highly important that future research investigates the effect of other parameters, such as the water-to-cement (W/C) ratio, fiber treatment on the properties of sand concrete.

  References

[1] Melais, G.F.Z., Melais, S., Achoura, D., Jauberthie, R. (2015). Valorisation des sous-produits de hauts fourneaux dans la fabrication d‟ une nouvelle gamme de béton de sable (Valorisation of underproducts of blast furnaces in the manufacture of a new sandcrete range). Journal of Materials and Environmental Science, 6(3): 735-742.

[2] Sablocrete, P. (1994). Presse de l’Ecole Nationale des Ponts et Chaussées. Bét. sable, Caractéristiques Prat. d’utilisation. Ed. Assoc. Amicale des Ingénieurs Anciens Elèves L’Ecole Natl. des Ponts Chaussées. 

[3] Boudaoud, Z., Breysse, D. (2002). Study of the effects of cogrinding of sand and clinker on the properties of sandcrete. Materials and Structures, 35: 310-316. https://doi.org/10.1007/BF02482137

[4] Evangelista, L., De Brito, J. (2004). Criteria for the use of fine recycled concrete aggregates in concrete production. In Conference on the Use of Recycled Materials in Building and Structures, Barcelona, Spain, pp. 503-510. https://doi.org/10.1617/2912143756.056

[5] Lahmadi, A., Zeghichi, L., Benghazi, Z. (2012). L'influence de la substitution des granulats naturels par les déchets de brique sur le comportement mécanique du béton. ACMA, Fès, Maroc.

[6] Zhang, H., Ji, T., Zeng, X., Yang, Z., Lin, X., Liang, Y. (2018). Mechanical behavior of ultra-high performance concrete (UHPC) using recycled fine aggregate cured under different conditions and the mechanism based on integrated microstructural parameters. Construction and Building Materials, 192: 489-507. https://doi.org/10.1016/j.conbuildmat.2018.10.117

[7] Khatib, J.M. (2005). Properties of concrete incorporating fine recycled aggregate. Cement and Concrete Research, 35(4): 763-769. https://doi.org/10.1016/j.cemconres.2004.06.017

[8] Levy, S., Helène, P. (2020). Durability of concrete mixed with fine recycled aggregates. In Sustainable Construction Materials and Technologies, pp. 45-51.

[9] Khoshkenari, A.G., Shafigh, P., Moghimi, M., Mahmud, H.B. (2014). The role of 0–2 mm fine recycled concrete aggregate on the compressive and splitting tensile strengths of recycled concrete aggregate concrete. Materials & Design, 64: 345-354. https://doi.org/10.1016/j.matdes.2014.07.048

[10] Güneyisi, E., Gesoglu, M., Algın, Z., Yazıcı, H. (2016). Rheological and fresh properties of self-compacting concretes containing coarse and fine recycled concrete aggregates. Construction and Building Materials, 113: 622-630. https://doi.org/10.1016/j.conbuildmat.2016.03.073

[11] Kumar, R., Gurram, S.C.B., Minocha, A.K. (2017). Influence of recycled fine aggregate on microstructure and hardened properties of concrete. Magazine of Concrete Research, 69(24): 1288-1295. https://doi.org/10.1680/jmacr.17.00030

[12] Elseify, L.A., Midani, M., Shihata, L.A., El-Mously, H. (2019). Review on cellulosic fibers extracted from date palms (Phoenix Dactylifera L.) and their applications. Cellulose, 26: 2209-2232. https://doi.org/10.1007/s10570-019-02259-6

[13] Benmansour, N., Agoudjil, B., Gherabli, A., Kareche, A., Boudenne, A. (2014). Thermal and mechanical performance of natural mortar reinforced with date palm fibers for use as insulating materials in building. Energy and Buildings, 81: 98-104. https://doi.org/10.1016/j.enbuild.2014.05.032

[14] Boukhattem, L., Boumhaout, M., Hamdi, H., Benhamou, B., Nouh, F.A. (2017). Moisture content influence on the thermal conductivity of insulating building materials made from date palm fibers mesh. Construction and Building Materials, 148: 811-823. https://doi.org/10.1016/j.conbuildmat.2017.05.020

[15] Boumhaout, M., Boukhattem, L., Hamdi, H., Benhamou, B., Nouh, F.A. (2017). Thermomechanical characterization of a bio-composite building material: Mortar reinforced with date palm fibers mesh. Construction and Building Materials, 135: 241-250. https://doi.org/10.1016/j.conbuildmat.2016.12.217

[16] Kriker, A., Debicki, G., Bali, A., Khenfer, M.M., Chabannet, M. (2005). Mechanical properties of date palm fibres and concrete reinforced with date palm fibres in hot-dry climate. Cement and Concrete Composites, 27(5): 554-564. https://doi.org/10.1016/j.cemconcomp.2004.09.015

[17] Djoudi, A., Khenfer, M.M., Bali, A., Bouziani, T. (2014). Effect of the addition of date palm fibers on thermal properties of plaster concrete: Experimental study and modeling. Journal of Adhesion Science and Technology, 28(20): 2100-2111. https://doi.org/10.1080/01694243.2014.948363

[18] Alatshan, F., Altlomate, A.M., Mashiri, F., Alamin, W. (2017). Effect of date palm fibers on the mechanical properties of concrete. International Journal of Sustainable Building Technology and Urban Development, 8(2): 68-80. https://doi.org/10.12972/susb.20170007

[19] Leila, Z., Boumedienne, M., Zied, B. (2022). Optimisation approach and influence of composition and curing parameters on algerian geopolymer paste compressive strength based on metakaolin and slag local materials. Current Overview on Science and Technology Research, 10: 147-160. https://doi.org/10.9734/bpi/costr/v10/3896C

[20] Krishnan, T., Purushothaman, R. (2017). Optimization and influence of parameter affecting the compressive strength of geopolymer concrete containing recycled concrete aggregate: Using full factorial design approach. IOP Conference Series: Earth and Environmental Science, 80(1): 012013. https://doi.org/10.1088/1755-1315/80/1/012013

[21] Neville, A.M., Brooks, J.J. (1987). Concrete Technology (Vol. 438). England: Longman Scientific & Technical.

[22] Jaradat, O.Z., Gadri, K., Tayeh, B.A., Guettalaa, A. (2021). Influence of sisal fibres and rubber latex on the engineering properties of sand concrete. Structural Engineering and Mechanics, 80(1): 47. https://doi.org/10.12989/sem.2021.80.1.047

[23] Celik, T., Marar, K. (1996). Effects of crushed stone dust on some properties of concrete. Cement and Concrete Research, 26(7): 1121-1130. https://doi.org/10.1016/0008-8846(96)00078-6

[24] Yaprak, H., Aruntaş, H., Demir, I., Şimşek, O., Durmuş, G. (2011). Effects of the fine recycled concrete aggregates on the concrete properties. International Journal of Physical Sciences, 6(10): 2455-2461.

[25] Ammari, M.S., Belhadj, B., Bederina, M., Ferhat, A., Quéneudec, M. (2020). Contribution of hybrid fibers on the improvement of sand concrete properties: Barley straws treated with hot water and steel fibers. Construction and Building Materials, 233: 117374. https://doi.org/10.1016/j.conbuildmat.2019.117374

[26] Bederina, M., Bouziani, T., Khenfer, M., Quéneudec, M. (2012). Absorption de l’eau et son effet sur la durabilité des bétons de sable allégés par ajout de copeaux de bois. MATEC Web of Conferences, 2: 01006. https://doi.org/10.1051/matecconf/20120201006

[27] Zhou, L.M., Mai, Y.W., Ye, L., Kim, J.K. (1995). Techniques for evaluating interfacial properties of fibre-matrix composites. Key Engineering Materials, 104: 549-600. https://doi.org/10.4028/www.scientific.net/KEM.104-107.549

[28] Kou, S.C., Poon, C.S. (2009). Properties of self-compacting concrete prepared with coarse and fine recycled concrete aggregates. Cement and Concrete Composites, 31(9): 622-627. https://doi.org/10.1016/j.cemconcomp.2009.06.005

[29] Kim, S.W., Yun, H.D. (2014). Evaluation of the bond behavior of steel reinforcing bars in recycled fine aggregate concrete. Cement and Concrete Composites, 46: 8-18. https://doi.org/10.1016/j.cemconcomp.2013.10.013

[30] Pereira, P., Evangelista, L., De Brito, J. (2012). The effect of superplasticizers on the mechanical performance of concrete made with fine recycled concrete aggregates. Cement and concrete composites, 34(9): 1044-1052. https://doi.org/10.1016/j.cemconcomp.2012.06.009

[31] Behera, M., Minocha, A.K., Bhattacharyya, S.K. (2019). Flow behavior, microstructure, strength and shrinkage properties of self-compacting concrete incorporating recycled fine aggregate. Construction and Building Materials, 228: 116819. https://doi.org/10.1016/j.conbuildmat.2019.116819