Biocomposites with Asymmetric Stacking for the Study of Hygro-mechanical Couplings Biocomposites à Empilement Asymétrique pour l’Étude des Couplages Hygro-mécaniques

Biocomposites with Asymmetric Stacking for the Study of Hygro-mechanical Couplings

Biocomposites à Empilement Asymétrique pour l’Étude des Couplages Hygro-mécaniques

Mael Péron Amandine CélinoMickaël Castro Frédéric Jacquemin Antoine Le Duigou 

Université de Nantes, GeM, Institut de Recherche en Génie Civil et Mécanique, UMR CNRS 6183, 58 rue Michel Ange, BP 420, 44600 Saint-Nazaire, France

Université Bretagne Sud, IRDL FRE CNRS, Pole Thématique Composite, rue Saint-Maudé, BP92116, 56321 Lorient Cedex, France

Corresponding Author Email: 
amandine.celino@univ-nantes.fr
Page: 
243-252
|
DOI: 
https://doi.org/10.18280/rcma.290408
Received: 
10 October 2018
|
Revised: 
12 January 2019
|
Accepted: 
20 January 2019
|
Available online: 
1 November 2019
| Citation

OPEN ACCESS

Topical Collection
Abstract: 

Plant fibers have a strong hydrophilic behavior leading to a water absorption associated with a large swelling in humid conditions. This hygroscopic deformation linked to the fiber microstructure is high compared to synthetic fibers (glass, carbon). Thus, on a laminate scale, the change in humidity leads to hygroscopic strains and stresses gradient. This must be understood in order to guarantee the durability of biocomposites parts. The use of a 0/90 ° non-symmetrical laminates subjected to a variation in humidity shows hygroscopic stresses which result in a bending moment and a curvature. Taking advantage of this behavior, these laminates are developed to create hygromorph actuators. This kind of laminates can also be used as experimental tools to characterize the strain state within the material and the couplings existing between the diffusion and swelling. Then, the aim of this work is to better understand the phenomena of hygroscopic swelling on plant fiber scale by using the curvature induced by a hygroscopic stress state (immersion) on the scale of a non-symmetrical laminate. Moreover, the study of the laminate curvature enables to find the stresses gradient induced by water in the biocomposite.

RÉSUMÉ :

Les fibres végétales présentent un comportement hydrophile marqué conduisant à une absorption d’eau associée à un gonflement important, en milieu humide. Ce gonflement hygroscopique, lié à la microstructure des fibres, est élevé en comparaison de systèmes synthétiques (verre, carbone). Ainsi, à l’échelle d’un stratifié, la variation d’humidité conduit généralement à un état de déformations hygroscopiques qu’il convient d’appréhender afin de garantir la pérennité des pièces en biocomposites. L’utilisation d’un stratifié à empilement non symétrique 0/90° soumis à une variation d’humidité, montre l’apparition de contraintes hygroscopiques qui se traduisent par un moment fléchissant et une courbure. Tirant profit de ce comportement, ces stratifiés sont développés pour créer des actionneurs hygromorphes capables de réagir à une variation d’humidité. Ils peuvent être également utilisés comme des outils expérimentaux pour caractériser l’état de déformation au sein du matériau et potentiellement les couplages avec la prise de masse et le gonflement. L’objectif de ce travail est de mieux appréhender les phénomènes de gonflement hygroscopique multi-échelles en interprétant les rayons de courbure induits par une sollicitation hygroscopique (immersion) à l’échelle d’un stratifié assymétrique. L’étude de la courbure dans le stratifié permet de remonter à l’état de contraintes au sein du biocomposite humide.

Keywords: 

biocomposites, bilayers, curvature, hygroscopic stresses, swelling, water diffusion

Mots-clés :

biocomposites, bilames, courbure, contraintes hygroscopiques, gonflement hygroscopique, diffusion d’humidité

1. Introduction

Les fibres végétales présentent un comportement hydrophile marqué conduisant à une absorption d’eau associée à un gonflement important, en milieu humide [1]. Ce gonflement hygroscopique peut être très anisotrope et élevé en comparaison de systèmes synthétiques (verre, carbone). Certains travaux rapportent une déformation radiale de l’ordre de 20 % pour des fibres de lin soumises à une condition d’humidité relative de 95 % [2]. Ce gonflement est fortement lié à la microstructure des fibres (en particulier à l’angle microfibrillaire et la composition biochimique de la fibre). Ceci explique par exemple que les fibres de coir se dilatent moins que les fibres de lin [3]. Ainsi, à l’échelle d’un stratifié, la variation d’humidité conduit généralement à un état de déformation hygroscopique qu’il convient d’appréhender afin de garantir la pérennité des pièces en biocomposites. La matrice polymère qui entoure les fibres dans le composite empêche les fibres de se dilater ce qui conduit à un état de compression favorisant le transfert de charge au sein du composite [4]. La présence de matrice souvent plus hydrophobe que les fibres conduit également à une diminution d’accessibilité à l’eau des fibres [5, 6]. Ainsi, le gonflement différentiel entre fibres/matrice et entre plis est souvent considéré comme étant une source majeure d’endommagement des biocomposites [7, 8]. Différents travaux de la bibliographie affirment que ce gonflement différentiel provoque des fissurations à l’interface fibre/matrice ou un délaminage des plis composites [7, 9-10]. En revanche, ces mécanismes et notamment, les contraintes d’origines hygroscopiques générées par l’absorption d’eau n’ont jamais été étudiées dans la bibliographie. Pourtant cette question est cruciale lorsque l’on souhaite prédire la durée de vie en service des matériaux composites à fibres naturelles.

Des techniques expérimentales pour évaluer les contraintes internes ont été proposées par [11]. Parmi ces techniques, l’utilisation de stratifiés composites à empilements asymétriques soumis à des conditions environnementales variables apparaît comme un moyen relativement simple d’accéder de manière indirecte aux contraintes internes d’origines hygrothermiques via la mesure de la courbure (ou déformation hors plan). L’utilisation de cette  technique expérimentale a déjà fait l’objet de publications pour la détermination de contraintes d’origine thermiques [12] et hygroscopiques [13] dans des composites à renforts synthétiques. Récemment, des biocomposites à empilement assymétrique ont été développés pour créer des actionneurs hygromorphes capables de réagir à une variation d’humidité. Ils sont inspirés d’actionneurs naturels hydrauliques comme la pomme de pin [14, 15]. La déformation hors plan de ces actionneurs est directement reliée à un profil de contraintes hygroscopiques radiales générées pas un gradient de de teneur en eau dans l’épaisseur [16].

D’un point de vue numérique, deux approches sont présentes dans la littérature pour évaluer ces contraintes. Premièrement, la méthode découplée tient uniquement compte de l’impact de l’absorption d’eau sur le gonflement et les états mécaniques associés [17-20]. Cette méthode permet de reproduire de manière satisfaisante l’absorption d’humidité mais elle ne tient pas compte d’éventuels phénomènes de plastification ou de l’effet des contraintes internes sur le processus de diffusion. Ainsi, les contraintes prédites peuvent être surestimées. Deuxièmement, la méthode couplée, tient compte de l’état de contrainte du matériau sur sa cinétique de diffusion et sur ses propriétés mécaniques [21, 22]. Cette approche couplée améliore la prédiction du comportement du matériau mais nécessite une caractérisation avancée afin d’identifier les différents phénomènes couplés. Ces modèles multi-physiques, qu’ils soient couplés ou non couplés, ne sont que très peu utilisés pour l’étude des matériaux composites biosourcés [23]. Pourtant, l’utilisation de tels modèles dans le domaine des biocomposites s’avère utile pour une meilleure connaissance de leur comportement en conditions environnementales variables.

L’objectif de ce travail est de mieux appréhender les phénomènes de gonflement hygroscopique et les états de contraintes induits dans les matériaux biocomposites lorsque ces derniers sont soumis à des variations d’humidité. Pour ce faire, des stratifiés de polypropylène greffé à l’anhydride maléique (PPgMA) renforcés par des fibres de lin et à empilement non symétrique [0/90]ns sont immergés dans de l’eau distillée à température ambiante. Les états de déformations et de contraintes sont alors déterminés expérimentalement et numériquement. A l’échelle d’un pli composite unidirectionnel, des campagnes expérimentales sont menées pour mesurer sa cinétique de diffusion, sa dilatation hygroscopique ainsi que l’évolution de ses propriétés mécaniques. A l’échelle de l’empilement asymétrique [01/905] la courbure liée à l’absorption d’eau est mesurée. L’ensemble des données expérimentales collectées permettent d’alimenter un modèle multi-physique découplé basé sur la théorie modifiée des stratifiées permettant de prédire l’état de contraintes générés par l’absorption d’humidité.

2. Materiaux et Methodes

2.1 Matériaux

Des fibres de lin (Linum usitatissimum) cultivées en France puis rouies au sol avant teillage et peignage ont été utilisées comme renfort. Les fibres de lin sont composées de 75-87 % de résidus cellulosiques, 6-14 % d’hémicelluloses, 2-3 % de lignines et 5-11 % de pectine [24]. Les nappes de fibres unidirectionnelles (200g/m² et 50g/m²) sont  fournies par Lineo®. Des films de PolyPropylene greffé à l’anhydride maléique (MAPP) (PPC 3660 Total Petrochemicals et Arkema Orevac CA 100) sont utilisés comme matrice. Ensuite, l’empilement de films de polymère MAPP et de plis de nappes unidirectionnels de lin est préparé dans un moule métallique (13 x 13 cm²). La fraction volumique de fibres est fixée à 60 % et pour cette étude, deux empilements sont retenus : l’empilement UD [906] et l’empilement [01,905] car ce dernier permet la réponse optimale de l’actionneur [25]. L’épaisseur des stratifiés est d’environ 0,460mm.

Les stratifiés ont été mis en œuvre par un procédé de thermocompression. Les paramètres du procédé sont similaires à ceux précédemment publiées [8] : chauffage à 190 °C pendant 8 minutes avec une augmentation incrémentale de la pression jusqu’à 20 bars pour maintenir l’alignement des fibres. La vitesse de refroidissement est fixée à 15 °C/min. Initialement prévues pour le développement d’actionneurs hygromorphes, des bandes  de rapport d’aspect élevé (70 mm x 10 mm²) sont découpées afin de réduire la courbure transverse [26].

2.2 Méthodes expérimentales

2.2.1 Diffusion

Les différentes éprouvettes ont été initialement conditionnées dans une salle climatisée, à 50 % d’humidité relative et à température ambiante (23 °C). Cette étape permet d’atteindre l’état de référence correspondant à un champ de teneur en eau uniforme dans le volume de l’échantillon. Elles ont ensuite été immergées dans de l’eau distillée à température ambiante jusqu’à ce que la saturation soit atteinte. Au cours du vieillissement humide, un suivi gravimétrique régulier a permis de tracer l’évolution de la teneur en eau en fonction du temps pour accéder aux cinétiques de diffusion (Eq. 1). Pour chaque cas (UD et stratifié) 3 éprouvettes ont été testées. Les courbes présentées dans la partie résultat représentent la moyenne arithmétique de ces 3 éprouvettes.

$C(\%)=\frac{m_{t}-m_{0}}{m_{0}} \times 100$   (1)

Avec C représente la teneur en eau à l’instant t, mt représente la masse de l’échantillon à l’instant t et m0 représente la masse initiale de l’échantillon (après séchage).

2.2.2 Gonflement

La dilatation transverse et longitudinale due à l’absorption d’eau a été mesurée périodiquement avec un micromètre (avec une précision de ±1 µm) sur les plis unidirectionnels pendant la phase d’absorption. Trois plaques de composites UD (20x20 mm²) sont utilisées pour les mesures. Des lignes ont été tracées puis 3 points sur chacune de celle-ci ont été marqués afin de suivre la dilatation hygroscopique transversale (sens perpendiculaire aux fibres de lin) et longitudinale (dans le sens des fibres) du biocomposite. L’exploitation de ces courbes permet d’accéder aux coefficients de gonflement hygroscopique du composite MAPP/lin.

2.2.3 Propriétés hygro-élastiques

Les propriétés mécaniques en traction (module de Young, E, contrainte à rupture σr et allongement à rupture εr) d’éprouvettes UD ont été déterminées à l’état sec et à l’état saturé en eau. Les essais de traction ont été réalisés dans le sens transverse (ET) et dans le sens longitudinal (EL) aux fibres selon la norme ISO 527-4. Les essais ont été réalisés sur une machine de traction universelle de type Instron 5566 (avec une cellule de force de 10kN de capacité) à une température contrôlée de 23 °C avec une vitesse de déplacement de la traverse de 1 mm/min. Un extensomètre uniaxial clampé sur une longueur de 25 mm a été utilisé pour mesurer l’allongement. Le module a été déterminé dans la gamme de 0,05 à 0.1 % de déformation selon la procédure décrite par [27].

2.2.4 Courbures

La courbure du biocomposite lors de son immersion en eau desionisé est estimée périodiquement par analyse d’images de la tranche d’un échantillon encastrée (sur une longueur de 10mm). Le logiciel d’analyse d’images utilisé est ImagJ® (National Institutes of Health, USA). Le rayon de courbure, constant le long de l’échantillon, est estimé en minimisant l’évolution des coordonnées de l’échantillon avec les coordonnées d’un cercle [28].

3. Resultats Experimentaux

3.1 Cinétiques de diffusion

Les cinétiques de diffusion obtenues par relevés gravimétriques périodiques pour les éprouvettes composées de polypropylène greffé avec de l’anhydride maléique et de 60 % de fibres de lin pour les UD [906] et pour les composites asymétriques [01,905] sont présentées sur la Figure 2 (Figure 2). Les courbes relatives à chaque échantillon présentent deux parties : une première partie linéaire suivie d’un plateau de saturation correspondant à la capacité maximale d’absorption Cs. Ce comportement est caractéristique d’un processus de diffusion modélisable par une loi de Fick.

Dans notre cas, la géométrie des éprouvettes est telle que l’épaisseur (≈ 0.46 mm) est très mince comparée aux autres dimensions. On fait ainsi l’hypothèse d’une diffusion unidimensionnelle. Une solution analytique à ce problème est donnée par Crank [16] dans le cas d’une plaque mince caractérisée par un coefficient de diffusion constant (Eq. 2).

$C=\left(1-\frac{8}{\pi^{2}} \sum_{n=0}^{\infty} \frac{1}{(2 n+1)^{2}} \exp \left(D\left(\frac{2 n+1}{e}\right)^{2} \pi^{2} t\right)\right) \times C_{S}$    (2)

C est à la teneur en eau globale (%) à l’instant t, Cs la teneur en eau à saturation (%) et D correspond au coefficient de diffusion (mm²/s).

Les coefficients de diffusion des éprouvettes UD et du bilame ont été calculés à partir de cette équation et des données expérimentales, en minimisant la somme quadratique des écarts entre les valeurs expérimentales et les valeurs prédites par le modèle. Les résultats numériques, ont été réalisés à l’aide du logiciel open source Scilab©. La Figure 3 représente les cinétiques numériques et le Tableau 1 regroupe les résultats obtenus pour les paramètres de diffusion D et Cs.

Figure 1. Cinétique de diffusion d’un composite UD [06] et d’un composite asymétrique [01/905] rapporté à l’épaisseur

Figure 2. Modélisation du comportement diffusif des plaques composites avec différentes empilements, par un modèle de Fick

Table 1. Identification des paramètres de diffusion selon le modèle de fick

 

D (mm²/s)

Cs (%)

UD [906]

1,07.10-6

33

Bilame [01,905]

9,6 10-7

28

 

Les valeurs identifiées pour les coefficients de diffusion sont conformes aux valeurs de la littérature pour ce type de matériaux bio-sourcés. D’autre part, les résultats montrent une dépendance de la capacité maximale d’absorption (Cs) à l’empilement du composite. L’empilement asymétrique reprend une quantité d’eau plus faible à épaisseur et taux de fibre similaire. En revanche, le coefficient de diffusion est indépendant du type d’empilement.

Ces résultats indiquent que l’état mécanique induit par la courbure dans le cas du stratifié asymétrique, semble influencer directement la capacité du matériau à absorber de l’eau. Ces états mécaniques seront présentés dans la partie 5 à partir du modèle numérique décrit dans la partie 4.

3.2 Gonflement hygroscopique

L’évolution de l’allongement relatif transversal et longitudinal (εhygr) du pli composite UD [906] en fonction de la teneur en eau macroscopique est présentée sur la Figure 3. La courbe met en évidence un comportement fortement anisotrope de l’allongement. Dans le sens des fibres de lin (sens longitudinal), l’allongement est quasi nul alors que dans le sens transverse aux fibres, l’allongement atteint 3,2 % environ. Les travaux issus de la bibliographie rapportent un gonflement longitudinal négatif et un gonflement transversal d’environ 20 %, à l’échelle de la fibre unitaire de lin [29]. Il semblerait que l’état de confinement de la fibre végétale dans le composite contrarie son gonflement à l’échelle locale. Il s’agit de résultats concomitants avec ceux de [6].

En première approximation, on considère une évolution linéaire de la déformation hygroscopique dans les directions transverse (T) et longitudinale (L) avec la teneur en eau macroscopique selon l’équation 3.

$\varepsilon_{i}^{h g g}=\beta_{i} \Delta C$    (3)

Avec i=L ou T, βi est le coefficient de gonflement hygroscopique dans la direction i et ∆C est la différence de teneur en eau entre l’instant t et l’état initial, dans la matériau. Le coefficient βi est considéré comme constant sur l’ensemble de la courbe. La valeur de ces coefficients est obtenue en divisant la valeur de la déformation hygroscopique à saturation (εhygrt=tsaturation) par la capacité maximale d’absorption (Cs), soit βL = -6,29.10-5 et βT = 9,74.10-4 %allongement/%teneur en eau. A partir de ces coefficients identifiés, les évolutions de la dilatation hygroscopique en fonction de la teneur en eau moyenne ont été tracées montrant une bonne adéquation avec les résultats expérimentaux.

Figure 3. Evolution des dilatations transverse et longitudinale du composite UD [06]

3.3 Propriétés hygro-élastiques

La Figure 4 présente les propriétés hygro-élastiques obtenues en traction (E, σr εr) dans les directions transversale et longitudinale. Premièrement on constate que le module de Young (E) et la contrainte à rupture (σr ) sont largement plus élevés dans la direction longitudinale aux fibres que dans la direction transverse. D’autre part, on observe une chute importante de E et σr avec l’absorption d’humidité, associé à une augmentation de la déformation à rupture (εr). Ceci peut s’expliquer par un effet de plastification du matériau avec la présence de molécules d’eau.

Figure 4. Propriétés hygro-élastiques d’un pli biocomposite UD PP/MAPP/lin (vf=60 %) dans les directions longitudinale et transversale à l’état sec et à l’état saturé en eau

Figure 5. Evolution des modules de Young transversal et longitudinal du pli UD MAPP/lin en fonction de la teneur en eau

Pour la modélisation des contraintes d’origines hygroscopiques générées au cours de la diffusion, il est nécessaire de connaitre l’évolution des propriétés mécaniques en fonction du temps et donc de la teneur en eau dans le matériau. Ainsi, se basant sur des résultats de la bibliographie [30], on a considéré une diminution importante et rapide des propriétés mécaniques des plis composites en fonction de la teneur en eau. Cette évolution est représentée sur la Figure 5.

3.4 Courbure

Expérimentalement, le biocomposite à empilement asymétrique [01,905] subit une forte courbure longitudinale liée au gonflement différentiel des plis (Figure 6).

La relation entre la courbure (déformation hygroscopique) et la prise de masse s’avère complexe. On observe une première phase (Figure 6), 0<C<8 % une relation quasi-linéaire entre la courbure et la prise de masse. Enfin pour C>8 %, l’état de déformation se stabilise alors que la prise de masse continue d’augmenter

Figure 6. Evolution de la courbure hors plan d’un composite MAPP/lin asymétrique [01,905] en fonction de la teneur en eau

4. Modele Numerique

Pour prédire les contraintes hygroscopiques et la courbure générées par l’absorption d’eau au sein du biocomposite MAPP/lin, un modèle hygro-mécanique a été développé. Ce modèle tient compte d’un couplage faible entre la diffusion d’eau et le comportement mécanique du matériau. Autrement dit, on considère une évolution des propriétés mécaniques avec l’absorption d’eau (Figure 6), mais on ne tient pas compte d’une éventuelle modification des paramètres de diffusion lié à l’état de contrainte. Dans un premier temps, le problème de diffusion est traité séparément donnant accès au profil de teneur en eau dans l’épaisseur du matériau au cours du temps. Dans un deuxième temps, le problème mécanique est résolu en tenant compte de la dilatation hygroscopique et du phénomène de plastification.

4.1 Diffusion

Comme il a été précisé dans la partie 3.1. on considère un modèle de Fick 1D pour simuler la diffusion d’eau dans l’épaisseur des deux types d’empilement, d’après la formulation suivante (Eq. 4) :

$\left\{\begin{aligned} \frac{\partial C(z, t)}{\partial t} &=\nabla_{z} D_{z z} \nabla_{z} C(z, t), \text { for }-h<z<h \\ C(-h, t) &=C(h, t)=C_{i m p} \\ C(z, 0) &=C_{0} \end{aligned}\right.$      (4)

Avec C : le champ de teneur en eau, t : le temps, z : l’épaisseur, $\nabla_{z}$ : l’opérateur différentiel spatial selon la direction z, D : le coefficient de diffusion selon z, h : la demi-épaisseur du stratifié, C0 et Cimp respectivement les teneurs en eau initial et imposée. On considère Cimp=Cs.

Une méthode basée sur les différences finies a été utilisées dans Matlab 2016a pour traiter ce problème (Eq. 4). Cette formulation en différences finies permet d’accéder au profil de teneur en eau local selon l’épaisseur du stratifié.

4.2 Modèle hygro-mécanique

Compte tenu des caractéristiques géométriques des empilements étudiés (épaisseur très faible comparée aux autres dimensions), la théorie classique des stratifiés modifiée développée par [31] a été utilisé. Cette dernière est basée sur l’étude du champ de déplacement pour reproduire la déformation hors plan w exprimée selon l’équation 5.

$w=\frac{1}{2}\left(a x^{2}+b y^{2}\right)$      (5)

x et y représentent les coordonnées dans le plan du stratifié et a et b représentent la courbure du stratfié selon l’axe x et y, respectivement.

Les déformations dans le plan sont déterminées à partir du champs de déplacement selon l’approximation de Von Karman sur les mesures de déformation de Green :

$\varepsilon_{x x}=\frac{\partial u^{0}}{\partial x}+\frac{1}{2}\left(\frac{\partial w}{\partial x}\right)^{2}-z \frac{\partial^{2} w}{\partial x^{2}}$,

$\varepsilon_{y y}=\frac{\partial v^{0}}{\partial y}+\frac{1}{2}\left(\frac{\partial w}{\partial y}\right)^{2}-z \frac{\partial^{2} w}{\partial y^{2}}$,

$\varepsilon_{x y}=\frac{1}{2}\left[\frac{\partial u^{0}}{\partial y}+\frac{\partial v^{0}}{\partial x}+\left(\frac{\partial w}{\partial x}\right)\left(\frac{\partial w}{\partial y}\right)\right]-z \frac{\partial^{2} w}{\partial x \partial y}$,

Avec εij, la composante dans le plan du tenseur de déformation, et u0 et v0 sont les déplacements selon les directions x et y respectivement.

En considérant une épaisseur très fine des stratifiés, l’état de contrainte peut pêtre considéré comme plan. Ainsi la relation entre les contraintes hygro-élastiques et les déformations peuvent s’écrire selon l’équation 6.

$\left\{\begin{array}{l}{\sigma_{x x}} \\ {\sigma_{y y}} \\ {\sigma_{x y}}\end{array}\right\}=\left[\begin{array}{lll}{\bar{Q}_{11}} & {\bar{Q}_{12}} & {\bar{Q}_{16}} \\ {\bar{Q}_{12}} & {\bar{Q}_{22}} & {\bar{Q}_{26}} \\ {\bar{Q}_{16}} & {\bar{Q}_{26}} & {\bar{Q}_{66}}\end{array}\right]\left(\left\{\begin{array}{l}{\varepsilon_{x x}} \\ {\varepsilon_{y y}} \\ {\varepsilon_{x y}}\end{array}\right\}-\left\{\begin{array}{l}{\beta_{1}} \\ {\beta_{2}} \\ {\beta_{3}}\end{array}\right\} \Delta C\right)$     (6)

Avec σij représente les composantes du tenseur de contrainte, $\bar{Q}_{i j}$ représente les composantes de la matrice de rigidité réduite du matériau, exprimé dans le repère global du stratifié [32]. Les composantes de la matrice de rigidité sont déduites des propriétés mécaniques mesurées EL, ET, νLT et GLT. βi représente les coefficient de dilatation hygroscopique et ΔC est la différence de teneur en eau entre l’état initial et le temps t.

Pour améliorer la précision du modèle, chaque pli du stratifié est divisé en plusieurs parties selon la méthode décrite dans [17].

L’énergie potentiel totale du stratifié est définie par l’équation 7 :

$W=\frac{1}{2} \int_{V} \sigma_{i j} \varepsilon_{i j} d V$    (7)

Avec V correspondant au volume total du stratifié.

La minimisation de cette énergie potentielle consiste à rechercher les valeurs des paramètres cinématiques (en particulier les courbures a et b), de sorte que sa dérivée première soit nulle. La minimisation de W peut conduire à différentes solutions, chacune correspondant à une forme d'équilibre. Le processus de recherche de solution s’achève donc par l’application d’un critère de stabilité qui consiste à calculer la dérivée seconde de W. Si cette dernière est positive, la solution est stable et inversement. L'ensemble de la procédure de résolution est effectuée dans la boîte à outils Symbolic Math de Matlab 2016a.

Une fois que les différentes valeurs de a, b et des autres paramètres cinématiques sont déterminées pour une teneur en humidité donnée, il est possible d'estimer les distributions de contrainte et de déformation à travers l'épaisseur du stratifié. Cette distribution peut être donnée soit dans les coordonnées globales du stratifié (x, y, z), soit dans le système de coordonnées local de chaque couche indépendante (1, 2, 3). Dans le cas d'un pli unidirectionnel, la direction 1 correspond à la direction longitudinale des fibres et 2 à la direction transversale dans le plan.

5. Resultats Numeriques

Le comportement hygro-mécanique du matériau est reproduit numériquement à partir des résultats expérimentaux présentés dans la partie 3 et du modèle décrit dans la partie 4.

5.1 Profil de teneur en eau

Les paramètres de diffusion identifiés dans la partie 3.1., sont utilisés comme données d’entrée. Les épaisseurs des stratifiés unidirectionnels et asymétriques sont fixées à 0,46 mm. Une discrétisation sur 200 nœuds et un pas de temps de 20 s assurent la précision des résultats.

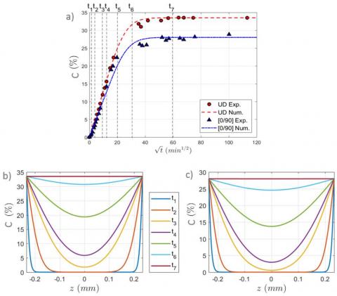
La Figure 5a montre la variation de la teneur en eau moyenne C calculée à partir du schéma de différences finies, par rapport aux valeurs expérimentales déterminées à la section 3.1. A partir de cette courbe représentant la variation de la teneur en eau macroscopique en fonction du temps, il est possible de tracer à différents temps (t1 à t7) le gradient de teneur en eau dans le matériau (Figure 5b et 5c). La représentation de teneur en eau en fonction de l’épaisseur montre une distribution hétérogène du bord de l’échantillon (z=± 0,24) au centre (z=0) pour les deux types d’empilement durant le phénomène de diffusion (t1à t7). Cette distribution hétérogène est à l’origine de contraintes hygroscopiques générées au cours de la diffusion d’eau.

Figure 7. a) Evolution de la teneur en eau macroscopique expérimentale et numérique dans les 2 types d’empilement, b) Distribution de la teneur en eau selon l’épaisseur de l’empilement UD, c) Distribution de la teneur en eau selon l’épaisseur de l’empilement asymétrique aux temps ti

5.2 Comportement hygro-mécanique de l’empilement UD

À partir du modèle numérique développé, nous pouvons obtenir la distribution des contraintes dans l’épaisseur du matériau. Pour un stratifié unidirectionnel MAPP / lin, la contrainte transversale σ22 correspond à la direction transversale aux fibres. Ce paramètre est intéressant car il illustre un cas de charge ciblant les propriétés de l'interface fibre / matrice. La Figure 8 montre la distribution de σ22 pour différents temps caractéristiques ti.

Figure 8. Distribution de la composante transverse du tenseur de contrainte σ22 selon l’épaisseur z pour différents temps caractéristiques ti pour l’empilement UD

Au cours du processus de diffusion de l'humidité, les couches situées dans la partie externe de la section sont les premières à subir une diffusion d’eau et un gonflement hygroscopique. Cependant, ces couches externes souffrent des contraintes voisines des couches internes dues au gonflement différentiel [21, 33]. Ces derniers ont une teneur en humidité plus faible et donc une contrainte de gonflement moindre. De ce fait, les plis externes sont dans un état de compression et, inversement, les plis situés vers le centre subissent des contraintes de traction. Cet état de contrainte peut être déterminé pour chaque temps caractéristique et les valeurs maximales pour la traction ou la compression sont trouvées à t2 et à t3. Cela correspond au moment où la diffusion d'humidité atteint le centre du matériau (Figure 7b). À ce moment de sorption, le matériau au centre est toujours sec et soumis à une contrainte de traction d'environ 15 MPa, ce qui est deux fois plus grande que la résistance à la traction transversale mesurée à l'état sec (Figure 4). Lorsque la saturation est atteinte (t7 sur la Figure 7), il n'y a plus de gradient d'humidité dans l'épaisseur du matériau, de sorte que l'état de contrainte qui en résulte est nul. Ceci doit toutefois être considéré avec précaution car le modèle développé décrit uniquement le comportement de plis équivalents homogènes. À l'échelle des fibres, la matrice ne gonfle pas par rapport à la fibre, ce qui entraîne un état de compression autour de la fibre dans la direction radiale. Ces phénomènes ne sont toutefois pas pris en compte dans la présente étude.

5.3 Comportement hygro-mécanique de l’empilement asymétrique

5.3.1 Courbure

Le stratifié asymétrique présente une courbure due à la différence de dilatation hygroscopique entre les plis orientés à 0° et les plis orientés à 90°. Cette courbure est mesurée expérimentalement (comme décrit dans la partie 3.4) et prédit numériquement par le modèle. À saturation, la courbure mesurée expérimentalement atteint 0,08 mm-1, alors que le modèle prédit une valeur de la courbure a=0,087 mm-1 et de la courbure b=0,003 mm-1, considérée comme négligeable. Cela représente une erreur de 8,7 % avec la courbure mesurée le long de la direction x, ce qui reflète la capacité du modèle à reproduire le comportement effectif de l’empilement [01,905].

5.3.2 Contraintes hygroscopiques

La Figure 9 représente les composantes σxx et σyy du tenseur de contraintes à travers l'épaisseur du stratifié pour chaque temps spécifiques ti. La frontière entre les cinq couches à 90° et la couche à 0° est également représentée sur ce graphique.

Pour l’empilement asymétrique, la distribution de contraintes est plus complexe que pour l’empilement UD. Au début du phénomène de diffusion (t1 et t2), l’eau n’est présente qu’à proximité des surfaces de l’échantillon. Les plis externes sont donc les premiers à subir un gonflement hygroscopique dans leur direction transversale et une légère contraction dans leur direction longitudinale, mais ce gonflement est bloqué par les plis internes secs. Ainsi, on observe une contrainte de compression pour les plis externes à 90° et 0° le long des directions x et y, respectivement, et une contrainte de traction pour les plis externes à 90° et 0° le long des directions y et x, respectivement. Au cours du temps, l'humidité diffuse à travers l'épaisseur du stratifié, et la répartition des contraintes évolue jusqu’à atteindre la répartition correspondant à l'état d'équilibre (t7) correspondant au plateau de saturation en eau. La distribution des contraintes à t7 correspond à celle d'un composite asymétrique soumis à de la flexion comme décrit dans [32]. Dans la direction x, les plis extérieurs à 90° (de z = -0,234 à -0,125 mm) sont soumis à une traction alors que les plis internes (de z = -0,125 à 0,156 mm) sont soumis à une contrainte de compression. La couche 0° subit une contrainte de compression à la surface externe et une contrainte de traction à l'interface entre la couche 0° et les couches à 90°. Cette répartition des contraintes pour la direction x est due à la courbure a du stratifié. Dans la direction y, les plis à 90° sont soumis à une contrainte de traction et les plis à 0° à une contrainte de compression due à la courbure b du stratifié.

À partir de la distribution de ces contraintes dans le repère global, il est possible d'extraire la distribution de contrainte transversale à la fibre dans le repère local de chaque pli, c'est-à-dire σ22. Il correspond à σxx pour les plis à 90° et à σyy pour les plis à 0°. Cette distribution est représentée sur la Figure 10, pour chaque temps caractéristiques ti.

D’après la Figure 10, au cours des premières étapes du phénomène de diffusion (de t1 à t4), les plis des couches externes sont les premiers à subir un gonflement hygroscopique, mais ils sont bloqués par les plis des couches internes. Ce gonflement différentiel conduit à un état de contrainte de compression dans les couches proches des bords, alors que les couches internes sont soumises à un état de contrainte en traction. La distribution des contraintes est ensuite modifiée de t4 à la fin de la saturation. Le pli à 0° tend à gonfler régulièrement pendant la diffusion, mais il est contrarié par les plis environnants à 90°, qui sont peu déformées dans la direction longitudinale. Le pli à 0° est donc fortement contraint et soumis à un état de contrainte de compression dans sa direction transversale pendant tout le processus de diffusion. Les plis à 90 ° des couches externes (de z = -0,234 à -0,125 mm) sont soumis à un état de contrainte de traction allant de t5 à saturation, tandis que les plis des couches internes (de z = -0,125 à 0,126 mm) subissent un état de contrainte de compression de t5 à t7.

Figure 9. Distribution des composants du tenseur de contrainte σxx et σyy dans le repère global du stratifié asymétrique selon l’épaisseur z et pour différents temps caractéristiques ti

Figure 10. Distribution de la composante transverse du tenseur de contrainte σ22 selon l’épaisseur z pour différents temps caractéristiques ti pour l’empilement asymétrique

6. Discussion

Les cinétiques de diffusion de composites MAPP/lin présentent des différences significatives selon que l’empilement soit unidirectionnel ou asymétrique (Figure 1). En particulier, les capacités maximales d’absorption des composites UD et du bilame montrent des différences significatives, qui peuvent être analysées au regard des champs de contraintes mécaniques prédits par le modèle hygro-mécanique. En effet, pour le biocomposite asymétrique, la majeure partie des plis est en compression dans la direction transverse aux fibres, entrainant une diminution du volume libre dans le matériau et donc à fortiori une diminution de la reprise en eau. Ce phénomène a déjà été observé pour des composites à matrice polymère et fibres synthétiques [34, 35].

De plus, pour le stratifié unidirectionnel, le gradient d'humidité  au cours de la diffusion, combiné au phénomène de plastification conduit à un état de traction dans les plis des couches internes du stratifié. Les contraintes de traction transversales estimées (avec une valeur maximale de 15 MPa) sont supérieures à la contrainte à rupture dans le sens transverse obtenue expérimentalement à saturation (estimée à 2,9 ± 0,2 MPa). Par conséquent, il est probable qu’un phénomène d’endommagement par fissuration à l’interface fibre matrice ait lieu entraînant alors une absorption d'humidité plus rapide. Cela suggère que le gonflement différentiel entre les plis pourrait être un mécanisme de dégradation pour les composites à fibres naturelles, même avec un empilement UD.

L’évolution de la courbure en fonction de la teneur en eau présente une zone de stabilisation pour un teneur supérieure à 8 % alors que le gonflement d’un pli libre de contraintes continue d’augmenter pour une teneur en eau équivalente (Figure 5 et Figure 6). Plusieurs explications peuvent être proposées à partir des résultats de cette étude. Tout d’abord, les valeurs des contraintes de traction transverses estimées au sein du bilame (environ 5 MPa) laissent penser que, en comparaison des propriétés transverses des plis à saturation et notamment leur contrainte à la rupture σT = 2,9 ± 0,2 MPa, des endommagements peuvent apparaître. Ces endommagements ont d’ailleurs pu être observés sur des actionneurs hygromorphes après un cycle de sorption/désorption avec des décohésions fibre/matrice et des décohésions internes aux faisceaux de fibres [25]. De plus, les fibres de lin sont principalement composées de polysaccharides, d'hémicelluloses et de pectines, dont les propriétés mécaniques et la température de transition vitreuse Tg dépendent fortement de l'absorption d'humidité [36, 37]. Le lessivage de polysaccharides de faible poids moléculaire tels que les pectines conduirait à la dégradation des fibres et des interfaces fibre / matrice en raison de la formation de vides [38]. Ces dommages peuvent alors modifier le comportement diffusif du matériau, créant plus de volume libre.

7. Conclusions

Premièrement, l’objectif de ce travail était l’étude expérimentale de l'absorption d'humidité dans un composite biosourcé à matrice polypropylène greffée à l'anhydride maléique et renforcé par 60 % en volume de fibres de lin. Deux séquences d’empilement ont été testées : un composite unidirectionnel [906] et à un composite asymétrique [01, 905]. Les résultats montrent que la cinétique de diffusion est fortement influencée par la séquence d’empilement. Cette dépendance de la capacité maximale d’absorption à la séquence d’empilement peut s'expliquer par les différences d'état de contrainte et de déformation entre les stratifiés unidirectionnels et asymétriques. Ainsi, dans un seconde temps, un modèle numérique basé sur la théorie classique modifiée des stratifiés a été développé. À partir de ce modèle, nous pouvons prédire la courbure induite après la diffusion d'humidité dans le stratifié asymétrique, ainsi que l'état de contrainte associé. Les valeurs de courbure finales sont en adéquation avec les résultats expérimentaux (écart relatif =8,7 %). L’état de contrainte calculé dans l’épaisseur du stratifié asymétrique montre que la plupart des plis (environ 75 % de l’ensemble du stratifié) sont soumis à un état de contrainte en compression dans le sens transversal aux fibres. Cette répartition des contraintes peut conduire à une diminution du volume libre du matériau, modifiant ainsi ses propriétés hygroscopiques en réduisant le taux d'humidité maximal par rapport au stratifié unidirectionnel (la répartition des contraintes étant nulle pour ce dernier lorsque la saturation est atteinte).

  References

[1] Célino, A., Fréour, S., Jacquemin, F., Casari, P. (2013). Characterization and modeling of the moisture diffusion behaviour of natural fibres. Journal of Applied Polymer Science, 130(1): 297-306. https://doi.org/10.1002/app.39148

[2] Stuart, T., Mccal, R.D., Sharma, H.S.S., Lyons, G. (2015). Modelling of wicking and moisture interactions of flax and viscose fibres. Carbohydrate Polymers, 123: 359-68. http://dx.doi.org/10.1016/j.carbpol.2015.01.053

[3] Le Duigou, A., Requile, S., Beaugrand, J., Scarpa, F., Castro, M. (2017). Natural fibres actuators for smart bio-inspired hygromorph biocomposites. Smart Material and Structures, 26(12). https://doi.org/10.1088/1361-665X/aa9410

[4] Almgren, K.M., Gamstedt, E.K. (2010). Characterization of interfacial stress transfer ability by dynamic mechanical analysis of cellulose fiber based composite materials. Composites Interfaces, 17(9): 845-61. http://dx.doi.org/10.1163/092764410X539235

[5] Sar, B.E., Fréour, S., Davies, P., Jacquemin, F. (2012). Coupling moisture diffusion and internal mechanical states in polymers – A thermodynamical approach. European Journal of Mechanics - A/Solids, 36: 38-43. https://doi.org/10.1016/j.euromechsol.2012.02.009

[6] Joffre, T., Wernersson, E.L.G., Miettinen, A., Luengo Hendriks, C.L., Gamstedt, E.K. (2013). Swelling of cellulose fibres in composite materials: Constraint effects of the surrounding matrix. Composite Science and Technology, 74: 52-59. http://dx.doi.org/10.1016/j.compscitech.2012.10.006

[7] Célino, A., Fréour, S., Jacquemin, F., Casari, P. (2014). The hygroscopic behavior of plant fibers: A review. Frontiers in Chemistry, 1: 1-43. https://doi.org/10.3389/fchem.2013.00043

[8] Le Duigou, A., Davies, P., Baley, C. (2009). Seawater ageing of flax/poly(lactic acid) biocomposites. Polymer Degradation and Stability, 94(7): 1151-62. https://doi.org/10.1016/j.polymdegradstab.2009.03.025

[9] Faruk, O., Bledzki, A.K., Fink, H.P., Sain, M. (2012). Biocomposites reinforced with natural fibers: 2000-2010. Progress in Polymer Science, 37(11): 1552-96. http://dx.doi.org/10.1016/j.progpolymsci.2012.04.003

[10] Azwa, Z.N., Yousif, B.F., Manalo, A.C., Karunasena, W. (2013). A review on the degradability of polymeric composites based on natural fibres. Material Design, 47: 424-42. http://dx.doi.org/10.1016/j.matdes.2012.11.025

[11] Parlevliet, P.P., Bersee, H.E.N., Beukers, A. (2006). Residual stresses in thermoplastic composites-A study of the literature-Part I: Formation of residual stresses. Composites Part A Applied Science and Manufacturing, 37(11): 1847-57. http://dx.doi.org/10.1016/j.compositesa.2005.12.025

[12] Gigliotti, M., Wisnom, M.R. (2003). Development of curvature during the cure of AS4/8552 [0/90] unsymmetric composite plates. Composite Science and Technology, 63(2): 187-97. http://dx.doi.org/10.1016/S0266-3538(02)00195-1

[13] Gigliotti, M., Molimard, J., Jacquemin, F., Vautrin, A. (2005). On the nonlinear deformations of thin unsymmetric 0/90 composite plates under hygrothermal loads. Composites Part A Applied Science and Manufacturing, 37: 624-9. http://dx.doi.org/10.1016/j.compositesa.2005.05.003

[14] Le Duigou, A., Castro, M. (2016) Evaluation of force generation mechanisms in natural, passive hydraulic actuators. Science Reports, 18105. http://dx.doi.org/10.1038/srep18105

[15] Le Duigou, A., Castro, M., Bevan, R., Martin, N. (2016). 3D printing of wood fibre biocomposites: From mechanical to actuation functionality. Material Design, 96: 106-14. http://dx.doi.org/10.1016/j.matdes.2016.02.018

[16] Crank, J. (1975). The mathematics of diffusion, Clarendon Press, Oxford.

[17] Benkeddad, A., Grédiac M., Vautrin A. (1995). On the transient hygroscopic stresses in laminated composite plates. Composite Structures, 30: 201-15. http://dx.doi.org/10.1016/0263-8223(94)00033-6 

[18] Vaddadi, P., Nakamura, T., Singh, R.P. (2003). Transient hygrothermal stresses in fiber reinforced composites: A heterogeneous characterization approach. Composite Part A Applied Science and Manufacturing, 34: 719-30. http://dx.doi.org/10.1016/S1359-835X(03)00135-0

[19] Mercier, J., Bunsell, A., Castaing, P., Renard, J. (2008). Characterization and modeling of aging of composites. Compos Part A Applied Science and Manufacturing, 39: 428-38. 

[20] Obeid, H., Clément, A., Fréour, S., Jacquemin, F., Casari, P. (2018). On the identification of the coefficient of moisture expansion of polyamide-6: Accounting for differential swelling strains and plasticization. Mechanics of Materials, 118: 1-10. http://dx.doi.org/10.1016/j.mechmat.2017.12.002

[21] Youssef, G., Fréour, S., Jacquemin, F. (2009). Stress-dependent moisture diffusion in composite materials. Journal of Composite Materials, 43: 1621-37. http://dx.doi.org/10.1177/0021998309339222

[22] Lee, M.C., Peppas, N.A. (1993). Models of moisture transport and moisture induced stresses in epoxy composites. Journal of Composite Materials, 27: 1146-71. https://doi.org/10.1177/002199839302701201

[23] Regazzi, A., Léger, R., Corn, S., Ienny, P. (2016). Modeling of hydrothermal aging of short flax fiber reinforced composites. Composites Part A Applied Science and Manufacturing, 90: 559-66. http://dx.doi.org/10.1016/j.compositesa.2016.08.011

[24] Bourmaud, A., Morvan, C., Bouali, A., Placet V., Perre P., Baley C. (2013). Relationships between micro-fibrillar angle, mechanical properties and biochemical composition of flax fibers. Industrial Crops and Products, 44: 343-351. http://dx.doi.org/10.1016/j.indcrop.2012.11.031 

[25] Le Duigou, A., Castro, M. (2017). Hygromorph BioComposites: Effect of fibre content and interfacial strength on the actuation performances. Industrial Crops and Products, 99: 142-149. http://dx.doi.org/10.1016/j.indcrop.2017.02.004

[26] Alben, S., Balakrisnan, B., Smela, E. (2011). Edge effects determine the direction of bilayer bending. Nanoletter, 11: 2280-2285. http://dx.doi.org/10.1021/nl200473p

[27] Shah, D.U., Schubel, P.J., Clifford, M.J. (2012). The tensile behavior of off-axis loaded plant fiber composites: An insight on the nonlinear stress–strain response. Polymer Composites, pp. 1454-1504. http://dx.doi.org/10.1002/pc.22279

[28] Le Duigou, A., Castro, M. (2015). Moisture-induced self-shaping flax-reinforced polypropylene biocomposite actuator. Industrial Crops and Products, 71: 1-6. http://dx.doi.org/10.1016/j.indcrop.2015.03.077

[29] Pucci, M.F., Liottier, P.J., Seveno, D., Fuentes, C., Van Vurre, A., Drappier, S. (2016). Swelling of flax fibers: Effect of thermal treatment on their dimensional stability. In Conference ECCM 17, 26-30 June, 2016.

[30] Le Duigou, A., Keryvin, V., Beaugrand, J., Pernes, M., Scarpa, F. (2018). Humidity responsive actuation of bioinspired Hygromorph BioComposites (HBC) for adaptive structures. Composites Part A Applied Science and Manufacturing. http://dx.doi.org/10.1016/j.compositesa.2018.10.018 

[31] Hyer, M. (1981). Calculation of the room-temperature shapes of unsymmetric laminates. Journal of Composite Materials, 15: 296-310. 

[32] Herakovich, C.T. (1998). Mechanics of Fibrous Composites. John Wiley & Sons.

[33] Adamson, M.J. (1980). Thermal expansion and swelling of cured epoxy resin usezd in graphite/epoxy composite materials. Journal of Material Science, 15: 736-45. 

[34] Autran, M., Pauliard, R., Gautier, L., Mortaigne, B., Mazeas, F., Davies, P. (2002). Influence of mechanical stresses on the hydrolytic aging of standard and low styrene unsaturated polyester composites. Journal of Applied Polymer Science, 84: 2185-95. http://dx.doi.org/10.1002/app.10419

[35] Humeau, C., Davies, P., Jacquemin, F., Humeau, C., Davies, P. (2016). Moisture diffusion under hydrostatic pressure in composites. Material Design, 96: 90-8. http://dx.doi.org/10.1016/j.matdes.2016.02.012

[36] Cousins, W.J. (1978). Young’s modulus of hemicellulose as related to moisture content. Wood Science and Technology, 12: 161-7.

[37] Basu, S., Shivhare, U.S., Muley, S. (2013). Moisture adsorption isotherms and glass transition temperature of pectin. Journal of Food Science Technology, 50(3): 585-9. https://doi.org/10.1007/s13197-011-0327-y

[38] Le Duigou, A., Davies, P., Baley, C. (2013). Exploring durability of interfaces in flax fibre/epoxy micro-composites. Composites Part A Applied Science and Manufacturing, 48: 121-8. http://dx.doi.org/10.1016/j.compositesa.2013.01.010