Potential of the CHIRPS Database for Extreme Precipitation Risk Studies. Assessment in the State of Jalisco (Mexico)

Potential of the CHIRPS Database for Extreme Precipitation Risk Studies. Assessment in the State of Jalisco (Mexico)

Ernesto Villate Garcia Julio Cesar Morales Hernandez* María de Lourdes Romo Aguilar Faustino Omar García Concepción Rocío Castillo Aja

Doctorate in Geography and Territorial Planning, University Centre for Social Sciences and Humanities, University of Guadalajara, Guadalajara 44260, Mexico

Department of Exact Sciences, University Centre of the Coast, University of Guadalajara, Puerto Vallarta 48280, Mexico

Department of Urban and Environmental Studies, Northern Border College, Cd Juarez 32350, Mexico

Department of Basic Sciences, University Centre for Exact Sciences and Engineering, University of Guadalajara, Guadalajara 44430, Mexico

Department of Geography and Land Management, University Centre for Social Sciences and Humanities, University of Guadalajara, Guadalajara 44260, Mexico

Corresponding Author Email: 
julio.morales@academicos.udg.mx
Page: 
847-855
|
DOI: 
https://doi.org/10.18280/ijsdp.180320
Received: 
16 December 2022
|
Revised: 
4 February 2023
|
Accepted: 
13 February 2023
|
Available online: 
31 March 2023
| Citation

© 2023 IIETA. This article is published by IIETA and is licensed under the CC BY 4.0 license (http://creativecommons.org/licenses/by/4.0/).

OPEN ACCESS

Abstract: 

The Assessment of extreme precipitation as a natural hazard for society requires high temporal and spatial resolutions data. In those terms, satellite-based precipitation products such as CHIRPS (Rainfall Estimates from Rain Gauge and Satellite Observations) usually are an adequate data sources, not only because the resolution, but also due to the open access and low latency of the information. However, teleconnection efficiency is usually related to aspects such as the physical-geographical characteristics of terrains and the algorithms and parameterizations used in the process, so it is important to carry out a validation process before using this type of data source. Thus, this research aims to evaluate the potential of CHIRPS database in the risk studies associated with extreme precipitation through the study case of Jalisco state (México). CHIRPS data and in situ data, obtained from the Network of Conventional Climatic Stations of CONAGUA, are compared between 1981-2020, applying several descriptive and correlational statisticians, for this analysis, the daily data and pentads in the study period are used. For comparisons with reference stations, CHIRPS pixels containing those stations were used. The final value representing CHIRPS was obtained from a weighted mean interpolation between each of the pixel vertices and the location of the in situ station, and a series of extreme precipitation index proposed by the IPC C (Intergovernmental Panel on Climate Change). It was found that CHIRPS database is not recommended for the analysis of the maximum annual precipitation in 24 hours, as well as for consecutive days with rain and the total annual days with accumulated above the 95 percentiles. Nevertheless, results indicate a good adjustment for the annual distribution of rainfall and especially for the maximum annual precipitation in five days, useful for recurrence products and agrometeorological indicators. The importance of using CHIRPS data in this work is due to the lack of official information and the importance of combining data from satellite sensors with in situ stations, thus allowing a correction with real data. In the case of the Mexican territory, this product shows an acceptable behavior and its use has been recommended as an auxiliary database in studies related to droughts and average conditions.

Keywords: 

extreme precipitation, risk, satellite-based precipitation products, CHIRPS

1. Introduction

The knowledge of precipitation variability, both in time and space, is crucial for water management strategies, environmental monitoring, agricultural practices and climate studies. Precipitation is one of the main input to hydrological models and to most of the indices used for flood and drought monitoring. The impacts of precipitation variability, associated to floods and droughts, often led to adverse economic effects, particularly in regions that rely on agriculture or hydropower generation. Changes in precipitation patterns can have profound societal consequences, directly affecting ecological systems, food security, disaster management and human lifes [1-3].

The impact of current climate change is considered one of the most important challenges on the global agenda, especially because of the evidence that points to the increased risk associated with dangerous weather events such as heavy rainfall [4], in the latest report of the IPCC (Intergovernmental Panel on Climate Change) [5]. It is concluded that the frequency and intensity of heavy rainfall events have increased since the 1950 in most of the land area, and human-induced climate change is probably the main driver. In addition, the report anticipates that heavy rainfall and associated flooding will become more intense and frequent in the Pacific islands and in many regions of North America and Europe.

Therefore, it is vital that each region gain a thorough knowledge of the precipitation regime in its area; especially those accumulated maximums that could be considered as extremes, affecting the various socio-economic spheres and in the management of the territory [6].

One of the recurrent obstacles in this type of study is the availability of precipitation data with adequate spatial and temporal resolution. In response to this situation, satellite products have been the input of numerous research [7-9]. However, possible errors in estimation, as well as the diversity of existing algorithms and products, require a prior analysis of their effectiveness, especially in maximum or extreme cases.

In this sense, another commonly used methodology focuses on the correlation between in situ stations (terrestrial, conventional and automatic meteorological stations), as a reference to the real value (although they are not free of errors, especially humans, and validation of their records is required) and the satellite products being assessed [10-13].

In Mexico, despite having a network of 3,153 weather stations throughout the country, supervised by the National Water Commission (CONAGUA), they are not evenly distributed and at strategic points for climate and hydrometeorological studies. This is due to physical-geographical factors such as orographic complexity, its location in the tropics and the coastal path to the Eastern Pacific and Atlantic basins, which leads to precipitation patterns with high spatial variability.

González et al. [14] evaluate the precipitation products released by the IMERG (Integrated Multi-satellitE Retrievals for Global Precipitation Measurement) on the mexican region, showing a tendency to overestimate daily precipitation and underestimation in extremes, as well as better results in higher areas. From three stations italics [15]. classify the behavior of three bases, GLDAS-1, GLDAS-2 y MERRA-2. In the case of precipitation derived from the Tropical Rainfall Measuring Mission (TRMM), Ávila-Carrasco et al. [16] indicate a good approximation in the summer and autumn seasons and a strong dependence on the type of climate and topography on a portion of the Santiago River basin; whereas [17] recommend its use to fill in missing data in time series of weather stations. With respect to the database Climate Prediction Center morphing technique with corrected bias (CMORPH-CRT), Bruster-Flores et al. [18] conclude that there is an overestimation of precipitation throughout the country, with a correlation of weak to moderate.

One of the databases that has gained particular interest in recent years is CHIRPS (Rainfall Estimates from Rain Gauge and Satellite Observations). Among its strengths are the combination of data from satellite sensors with stations in situ, thus allowing a correction with real data, as well as its high spatial resolution (up to 0.05°) and temporal (accumulated daily) [19]. For the Mexican territory, this product shows acceptable behavior and its use has been recommended as an auxiliary database in studies related to droughts and average conditions [20, 21]. However, there is very little research documenting research that characterizes CHIRPS products for maximum precipitation values on a regional scale [22].

For the Jalisco state, due to its physical-geographical characteristics as socio-demographic, extreme rainfall represents a potential danger to the population [23], demanding research-involving data with better spatial resolution. In response to these issues, a study in a geographical space with a temporal and spatial multiscale analysis is necessary to know in a high degree of depth the behavior of extreme rain in Jalisco, as well as the atmospheric factors related to it. Therefore, the general objective of this article is to assess the potential of THE CHIRPS database in extreme (peak) rainfall studies.

2. Materials and Methods

The research will be of an adaptive type, where a series of pre-established materials and methods will be taken to apply them in a specific place (Jalisco), that is, adapt the existing technology to the local conditions of the territory. Among the subcategories of this method, the following analysis will be addressed: descriptive (a series of descriptive statistics will be applied to the data sample); correlational (an analysis of orthogonal empirical functions is carried out where correlation values are produced).

As a starting point for the methodological approach, a time series is established. A database is formed with daily precipitation values taken from the network of conventional weather stations belonging to the National Water Commission (CONAGUA). The stations that are within the state of Jalisco and those that border it are taken (to optimize the interpolation of the data). Of the total of said stations, those that present a bias of less than 25% of the total records in the period 1981-2018 are selected, complying with the climatological norm. Subsequently, time series are established for each station with the annual maximum accumulated in 24 hours.

The methodology followed is based on a comparison between the CHIRPS database and CONAGUA conventional meteorological stations, through different statistics and from several descriptive indexes of extreme precipitation in the state of Jalisco, which are described below. A CHIRPS value is selected for each reference station record; this allows to obtain homogenized time series and then proceed with the point-to-point comparison.

The number of pages for the manuscript must be no more than ten, including all the sections. Please make sure that the whole text ends on an even page. Please do not insert page numbers. Please do not use the Headers or the Footers because they are reserved for the technical editing by editors.

Figure 1. Geographical location of the state of Jalisco

Source: Own elaboration based on INEGI cartography

2.1 Study area

The research focuses on the state of Jalisco (Figure 1), one of the regions with the greatest economic and population weight in the country. The territory is located in the central-western portion of Mexico, between 18°15’05’’ and 20°51’49’’ north and 101°28’15’’ and 105°43’18’’ west, with an area of 78 588 km2. It is bordered on the north by the states of Nayarit, Zacatecas and Aguascalientes, on the east by Guanajuato, on the south by Colima and Michoacan, and on the west by the Pacific Ocean. As for the orography, the presence of the Transmexican Volcanic Strip, the Sierra Madre Occidental, the Sierra Madre del Sur, the Balsas Depression and the Central Table stand out; with elevations of 0-4260 msnm; the maximum corresponds to the Nevado de Colima.

In terms of climate, according to the Institute of Astronomy and Meteorology of the University of Guadalajara, there are two well marked periods in the year: a rainy period with 90% of the annual average rainfall, which runs from mid-June to the end of October, can be anticipated in the coastal and southern zones of the state and delayed in the northern region, and a dry period in the rest of the months.

2.2 Reference data

The network of conventional weather stations, belonging to CONAGUA, was used as a reference database or on-site database. A total of 123 active stations are located in the Jalisco state, with rainfall records every 24 hours. An evaluation of this base indicated that there is disparity in chronology and missing data, so it was homogeneous in the study period between 1981 and 2020, and only time series with a bias of less than 25% of the total records were taken. This resulted in 92 stations with an average density of one per 854 km2 (Figure 2).

Figure 2. Distribution of climatological stations belonging to CONAGUA

Source: Own elaboration based on INEGI cartography

The CHIRPS database is a collaboration between the US Geological Survey (USGS), the US Agency for International Development (USAID), the USAID Famine Early Warning Systems Network (FEWS NET), the National Aeronautics and Space Administration (NASA) and the National Oceanic and Atmospheric Administration (NOAA). CHIRPS is the product of a combination of different sources: monthly precipitation climatology (CHPClim), quasi-global geostationary thermal infrared (IR) satellite observations, the Tropical Precipitation Measurement Mission (TRMM), NOAA Climate Forecast System version 2 (CFSv2) atmospheric model precipitation fields, and in situ station data from national meteorological services [19, 24].

It has a spatial resolution of 0.05 x 0.05 degrees, with a global coverage of 50N-50S in all meridians. In terms of temporal resolution, data are established by day, pentads (6 pentads = 1 calendar month, each of first 5 pentads in a month have 5 days), decades (a dekad = sum of 2 pentads, there are 3 dekads in a calendar month) and monthly, with products from 1981 to the present. Data are available from the third week of the following month, although for Mexico they are available from the second day after each pentad. It is important to mention that CHIRPS only presents data for continental regions.

In this research, daily data and pentagrams were used for the study period. The pixels containing the reference stations were used to establish comparisons with the reference stations. The final value representing CHIRPS was obtained from a weighted mean interpolation [25], between each of the pixel vertices and the location of the in-situ station.

2.3 Extreme precipitation indexes

Extreme precipitation events are those that, as the word indicates, deviate from the norm and are concentrated in the lowest and highest percentiles. In this analysis, only the highest values are considered as extreme precipitation, thus relating to the concept of intense precipitation [26].

Table 1 shows the selected indexes, in accordance with the recommendations of the Expert Team on Climate Change Detection and Indexes (ETCCDI), belonging to the World Climate Research Programme (WCRP) (https://www.clivar.org/), for the sampling and study of changes associated with extreme precipitation.

Table 1. Extreme precipitation indexes selected

Index

Descriptive Name

Definition

Units

MR1

Maximum rain 1 day

Maximum annual rainfall in one day

mm

MR5

Maximum rain 5 days

Maximum annual rainfall in five days

mm

CWD

Consecutive wet days

Maximum annual consecutive wet days

days

DOP95

Days over percentile 95

Days with precipitation above percentile 95 per year

days

SDII

Simple Daily Intensity Index

Total rainfall divided by the number of wet days

mm/day

Notes: Extreme precipitation rates for the wet and dry seasons (depending on the nature of the extreme rate to be calculated) for data from ground-based rainfall stations and CHIRPS grids.

Wet days are records above 0.1 mm due to the minimum resolution of the in-situ stations and in accordance with the results obtained by Tan et al. [27].

2.4 Statistician

The statisticians are also independent each other, describes different aspects of a database and non-consistent results between them are possible. Thus, is important to make an individual analysis of each one in order to capture all the characteristics of the correlation.

In this study, four statistical measures were taken for the efficiency evaluation of the CHIRPS database: the bias (BIAS), the relative bias (RBIAS), the root mean squared error (RMSE) and the coefficient of determination (R2), indicated in Eqns. (1)-(4). These statisticians have been widely used in research of this type, showing efficient results [11, 25].

$B I A S=\frac{1}{N} \sum_{i=1}^N\left(X_i-Y_i\right)$

$R B I A S=\frac{\sum_{i=1}^N\left(X_i-Y_i\right)}{\sum_{i=1}^N Y_i} * 100$

$R M S E=\sqrt{\frac{1}{N} \sum_{i=1}^N\left(X_i-Y_i\right)^2}$

$R^2=1-\frac{\sum_{i=1}^n\left(F_n(x)_i-F(x)_i\right)^2}{\sum_{i=1}^n\left(F_n(x)_i-F_n(x)_i\right)^2}$

N is the total data, Xi CHIRPS data, Yi in-situ data, Fn is the frequency of X and F is the frequency of Y.

The BIAS indicates whether the database overestimates (>0) or underestimates (<0) the indicators in question, while the RBIAS assesses systematic bias and 0 is the optimal value in both cases. The RMSE represents the average error, although it does not show the direction of the deviation. Finally, the R2 is a measure of correlation between two time series, taking values between -1 and 1. Negative values indicate an inverse correlation and positive values indicate a direct correlation; the higher the |R2|, the higher the correlation.

With these four statisticians is possible to find how similar the time series are and the correlation level between them.

3. Results

3.1 BIAS and RBIAS

Figure 3 shows a box plot describing the bias produced by CHIRPS at each station and in each of the indexes under study. For MR1 and MR5 an underestimation of the order of -20 mm is observed, with similar mean values, although a greater amplitude at the extremes for MR5. Both indicators show six stations considered as outliers, and a 75th percentile that is close to the ideal value of zero.

On the other hand, CWD and PDO95 overestimate by an average of one day, with a slightly larger amplitude and more outliers for PDO95. It should be noted that, in both cases, 25% of the stations take negative values indicating an underestimation.

Finally, at 75% of the stations, the CHIRPS SDII index underestimates the values of its counterpart, with half of the records between 0 and -2. Only two stations are considered outliers and the total amplitude ranges up to 9 mm/day, with the median between 0 and -1.

The RBIAS is the percentage representation of the BIAS values for each original time series (Figure 4). The MR1 index shows an underestimation of CHIRPS between 10 and up to 60% of the original precipitation values, with a mean loaded at 50%. Only one station takes a positive value close to 0, however, the statistical technique considers it to be an outliers.

In the case of CWD and DOP95, half of the values range from 0 to about 50%, with the last quartile extending to 80 and 90% respectively. Also noteworthy is the lower end of DOP95 which exceeds an underestimation of more than 50%. In both cases the second quartile takes values between 0 and 25%.

Figure 3. Behavior of the BIAS for each indicator. In each box, the red line is the median, the boundaries are the 25th and 75th percentiles and the whiskers extend to the extreme values. The red crosses represent outliers

Source: Own elaboration

For MR5 and SDII, the RBIAS indicates percentages close to 0, with medians closer to the ideal value of less than 10%. The MR5 has the smallest amplitude among all the indexes, both in the total sample and in the central values, while the SDII exhibits no outliers, and none of its extremes exceed 50%.

Figure 4. Comparative graph of RBIAS between the five indexes. The dotted line indicates the ideal value

Source: Own elaboration

3.2 RMSE

The RMSE results are shown from histograms in Figure 5. In all cases, there is a high concentration of stations around the lower values, with a decrease as the error increases, accepting a ganma and lognormal curve fit.

For both MR1 and MR5, the peak is around 20 mm, with values reaching up to the 60-65 mm range. However, the RMSEs of MR5 show more dispersion below the major curvature, with records even between 0 and 10 mm. For the case of the indexes expressed in days, the slope of the fitting curve is zero around two days. A more homogeneous distribution below the maximum curvature is evident for CWD, and the values are mainly concentrated up to 4 days; whereas, for DOP95, the number of stations around the two-day peak is higher, between 30 and 35. Finally, SDII shows a similar behavior to RM1, with the highest number of cases around 2 mm/day, and few scattered stations between 4 and 8 mm/day.

Figure 5. Histogram and curve fit of RMSE value (x) versus number of stations (y)

Source: Own elaboration

3.3 Correlation coefficient

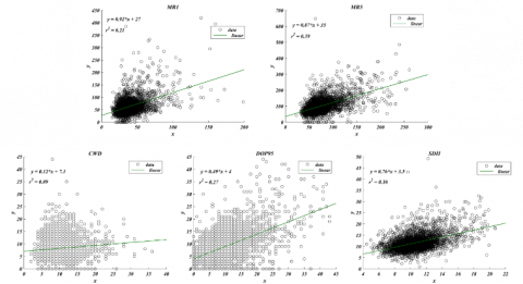
The analysis of the correlation coefficient R2 starts with the construction of a time series for each of the indexes. These series comprise the union of the 92 stations under study. Thus, a correlation value representative of the whole of Jalisco is obtained for each indicator (Figure 6).

For all five indexes the linear fit presents positive R2 values, indicating a directly proportional correlation. The highest value is found for MR5, with an index of 0.39, followed by 0.3 for SDII. On the other hand, in the CWD, the high dispersion suggests that there is no clear forcing of the CHIRPS data on the CONAGUA data, with a fit of only 0.09. The rest, MR1 and DOP95, have correlations of 0.21 and 0.27 respectively.

Figure 6. Scatter plot with linear fit for each of the indexes. In the fitting equation, y-in situ stations, x-CHIRPS

Source: Own elaboration

After knowing the general correlation, and in order to obtain more representative results for each case study, an analysis similar to the previous statistician is carried out. Figure 7 shows that most of the RM1 stations present correlations lower than 0.2, contrasting with the previous result, and only one station is in the range 0.4 - 0.6. Similar distributions are seen in CWD and DOP95, where the blue class remains dominant, followed by approximately 10 stations in the range 0.2 - 0.4. In both cases, unlike the first index, the red class (0.6 - 0.8) appears, although in less than five stations.

Following the line of increasing values, we find the SDII index, with a more homogeneous distribution among the first three classes, and where half of the case studies are positioned between 0.2 and 0.6. Finally, the index with the best correlation values is MR5, with less than 10 cases below 0.2 and an equal number above 0.6. In addition, more than half of the total exhibits a directly proportional correlation between 0.4 and 0.6.

Figure 7. Comparative bar chart between the R2 results for each of the stations and for each extreme precipitation index. The classes only reach 0.8 because the absolute maximum was 0.69

Source: Own elaboration

3.3.1 Spatial distribution

Next, the spatial distribution of the R2 variability is analysez for the index that showed the highest values, MR5. Figure 8 corresponds to an IDW interpolation and division into seven classes with a step of 0.1. A pattern is seen with higher values towards the interior of the state and lower values towards the coast.

Figure 8. Spatial distribution map of the coefficient of determination for MR1

Source: Own elaboration

This spatially visualised trend is tested on the basis of a multiple linear regression analysis (Table 2). The impact of geographical position (latitude and longitude) and altitude on the spatial variability of the correlation between CHIRPS and in situ stations is evaluated. In the first case, the three possible modulators are included in the regression, resulting in an R2 of 0.4, which indicates some forcing on the independent variable. However, the p-value associated with altitude exceeds the 95% confidence level (p-value > 0.05), so this parameter does not contribute to the variability. Thus, the second adjustment excludes altitude and is left with latitude and longitude only, maintaining the value of R2=0.4.

Table 2. Multiple linear regression

X

n

pValue1

m

pValue2

p

pValue3

q

pValue4

RMSE

$\boldsymbol{r}^2$

I

5.23

1.9E-02

0.06

5.4E-03

0.07

2.4E-04

0.01

0.72

0.11

0.40

II

0.40

9.0E-04

0.06

3.7E-05

0.07

3.3E-05

-

-

0.11

0.40

Notes: y(x) ~ n + m*lon+ p*lat+ q*a

I – x=[a,lon,lat]; II – x=[lon,lat]

a – altitude, lon – longitude, lat – latitude

4. Discussion

The RM1 index, perhaps the most widely used to define risk management strategies, exhibits unfavourable results. The values derived from CHIRPS underestimate the original time series, with biases as high as 50% of the true value, with a systematic error extending up to 40 mm. This behavior leads to miscalculations of important products for hazard mapping such as return periods. Therefore, studying MR1 from CHIRPS data is ineffective and even dangerous considering the use of this index for the planning of civil constructions such as dams and bridges, as well as in the definition of federal zones around water bodies, among others. Moreover, there is no correlation between CHIRPS and in situ stations, thus eliminating its applicability for complementing time series and for trend studies.

As for the CWD and DOP95 indexes, the results are better than those of MR1 in the four statistics used, however, they are not consistent. Although in a quarter of the stations the bias is limited, in the rest there is an overestimation, even doubling the real values. Furthermore, they have a high systematic error and a directly proportional relationship with low statistical significance.

Considering the high inefficiency of CHIRPS in the annual maximum values, it is to be expected that the 95th percentile is also not correctly reflected, and consequently all the products related to this position measure. For this reason, it is not advisable to use this database to define moving thresholds for heavy rainfall as presented by constructed [28]. Furthermore, the errors in the maximum number of consecutive days with rain, with low correlation and high underestimation, are a possible consequence of the algorithm with which the CHIRPS database is constructed [29], where an a posteriori correction of the accumulations in pentads, decades and months is performed.

The results for the SDII index show a significant improvement to its predecessors. The bias is restricted to around zero, with extremes not exceeding 40% of the actual data. The correlation is considered to be acceptable, with most values above 0.2, with some even exceeding 0.6. Thus, CHIRPS adequately reveals the temporal dispersion of total precipitation over the year and can be taken as a reference to analyse how concentrated or not this atmospheric variable was, very useful especially for mass removal processes and agricultural planning.

Finally, the index that is best described by CHIRPS is MR5. The products deviate very little, concentrating on a slight underestimation, with errors even lower than MR1, despite its larger temporal scale. Most notable is the correlation with the in situ stations, with almost all R2s above 0.4 and a maximum of 0.69. These values were not in the order of 0.8 or higher, although intrinsic errors in the data considered as reference, both in the measurements and in the systematisation of the information, must be taken into account. Based on these results, plus the spatial distribution, the use of the CHIRPS database is recommended in the evaluation of the maximum accumulated rainfall in five days, especially in the central and northeastern portion of the state. However, the products are not consistent in the southeastern region, mainly in the coastal regions. This spatial pattern is estimated to be associated with the passage of systems such as tropical waves and tropical cyclones along the coasts of Jalisco, interfering with the accuracy of the forecasts and therefore of the MR5.

Therefore, the use of the CHIRPS database for the analysis of the MR5 index contributes to the elaboration of hazard maps, which are important in urban planning such as drainage networks, thermal comfort studies, crop and harvest planning, as well as in the definition of maximum flood limits.

5. Conclusions

In this article we evaluated the reliability of the use of CHIRPS in the study of extreme precipitation in the state of Jalisco, based on the MR1, MR5, CWD, DOP95 and SDII indexes.

This database does not display correctly the daily annual extremes, so its use in recurrence calculations and other analyses involving this indicator is ruled out. It is also unreliable in determining the number of consecutive days with rain and the number of days with accumulated rainfall above the 95th percentile.

The temporal distribution of the annual rainfall and especially of the annual maximums in five days showed consistent and correlated values with the reference data. Therefore, it is feasible to use CHIRPS for these two extreme precipitation indexes in hazard maps such as landslide and flood peaks, mainly in the central and northeastern region of the state, but not in areas close to the coast.

The results represent a precedent for future investigations of maximum precipitation involving the CHIRPS database; a tool with adequate spatial and temporal resolution, optimal for analyses with time lapses of five days, but with deficiencies in other indicators that could undermine the effectiveness of risk management instruments in the face of this natural phenomenon. It is prudent, in future studies, to include in the evaluation the minimum values as a prelude to drought analysis and input data for climate models from the aforementioned database.

Acknowledgment

Acknowledgments to the Doctorate in Geography and Territorial Planning is coordinated by the Center for Strategic Development Studies (CEED), belonging to the University Center for Social Sciences and Humanities (CUCSH) and finally the National Council of Science and Technology (CONACYT) for the support of the maintenance grant.

  References

[1] Iqbal, M.F., Athar, H. (2018). Validation of satellite-based rainfall over various topographies of Pakistan. Atmospheric Research, 201: 247-260. https://doi.org/10.1016/j.atmosres.2017.10.026

[2] Maggioni, V., Sapiano, M.R.P., Adler, R.F. (2016). Estimating uncertainties in high-resolution satellite precipitation products: Systematic or random error? Journal of Hydrometeorology, 17(4): 1119-1129. https://doi.org/10.1175/JHM-D-15-0094.1

[3] Thiemig, V., Rojas, R., Zambrano-Bigiarini, M., Levizzani, V., De Roo, A. (2012). Validation of satellite-based precipitation products over sparsely gauged african river basins. Journal of Hydrometeorology, 13(6): 1760-1783.  https://doi.org/10.1175/JHM-D-12-032.1

[4] Trong-Anh, T., Feeny, S., Posso, A. (2021). The impact of natural disasters and climate change on agriculture: Findings from Vietnam. In Economic effects of natural disasters, 7: 261-280. https://doi.org/10.1016/B978-0-12-817465-4.00017-0

[5] IPCC. (2021). Summary for Policymakers. In: Climate Change 2021: The Physical Science Basis. Contribution of Working Group I to the Sixth Assessment Report of the Intergovernmental Panel on Climate Change, Cambridge University Press. https://www.ipcc.ch/report/ar6/wg1/downloads/report/IPCC_AR6_WGI_SPM_final.pdf.

[6] Monjo, R. (2010). The index n of intense precipitation. Foundation for Climate Research. https://www.researchgate.net/publication/268417628.

[7] Palharini, R., Vila, D., Rodrigues, D., Quispe, D., Palharini, R., de Siqueira, R. de Sousa Afonso, J. (2020). Assessment of the Extreme Precipitation by Satellite Estimates over South America. Remote Sens, 12: 2085. https://doi.org/10.3390/rs12132085

[8] Wang, O., Xia, J., She, D., Zhang, X., Liu, J. Zhang, Y. (2021). Assessment of four latest long-term satellite-based precipitation products in capturing the extreme precipitation and streamflow across a humid region of southern China. Atmospheric Research, 257: 105554. https://doi.org/10.1016/j.atmosres.2021.10555

[9] Roca, R., Fiolleau, T. (2020). Extreme precipitation in the tropics is closely associated with long-lived convective systems. Commun Earth Environ, 1(1): 18. https://doi.org/10.1038/s43247-020-00015-4

[10] Wang, N., Liu, W., Sun, F., Yao, Z., Wang, H., Liu, W. (2020). Evaluating satellite-based and reanalysis precipitation datasets with gauge-observed data and hydrological modeling in the Xihe River Basin, China. Atmospheric Research, 234: 104746. https://doi.org/10.1016/j.atmosres.2019.104746

[11] Hénin, R., Liberato, M., Ramos, A., Gouveia, C. (2018). Assessing the use of satellite-based estimates and high-resolution precipitation datasets for the study of extreme precipitation events over the iberian peninsula. Water, 10(11): 1688. https://doi.org/10.3390/w10111688

[12] Fang, J., Yang, W., Luan, Y., Du, J., Lin, A., Zhao, L. (2019). Evaluation of the TRMM 3B42 and GPM IMERG products for extreme precipitation analysis over China. Atmospheric research, 223: 24-38. https://doi.org/10.1016/j.atmosres.2019.03.001

[13] Baez, O., Zambrano, M., Ribbe, L., Nauditt, A., Giraldo, J., Xuan, N. (2019). Temporal and spatial evaluation of satellite rainfall estimates over different regions in Latin-America. Atmospheric Research, 213: 34-50. https://doi.org/10.1016/j.atmosres.2018.05.011

[14] González, Y., Tereshchenko, I., Fonseca, M., Pantoja, D., Montes, J. (2017). Evaluation of Error in IMERG Precipitation Estimates under Different Topographic Conditions and Temporal Scales over Mexico. Remote Sens., 9(5): 503. https://doi.org/10.3390/rs9050503

[15] Real-Rangel, R., Pedrozo A., Breña, J., Alcocer, V. (2017). Evaluation of the hydroclimatological variables derived from GLDAS-1, GLDAS-2 and MERRA-2 in Mexico. E-proceedings of the 37th IAHR World Congress. Kuala Lumpur, Malaysia. 

http://galileo.imta.mx/Sequias/moseq/full_paper_v2.pdf.

[16] Ávila-Carrasco, J.R., Júnez-Ferreira, H.E., Gowda, P.H., et al. (2018). Evaluation of Satellite-Derived Rainfall Data for Multiple Physio-Climatic Regions in the Santiago River Basin, Mexico. JAWRA Journal of the American Water Resources Association, 54(5): 1068-1086. https://doi.org/10.1111/1752-1688.12672

[17] De Jesús, A., Breña-Naranjo, J.A., Pedrozo-Acuña, A., Alcocer Yamanaka, V.H. (2016). The use of TRMM 3B42 product for drought monitoring in Mexico. Water, 8(8): 325. https://doi.org/10.3390/w8080325

[18] Bruster-Flores, J.L., Ortiz-Gómez, R., Ferriño-Fierro, A.L., Guerra-Cobián, V.H., Burgos-Flores, D., Lizárraga-Mendiola, L.G. (2019). Evaluation of precipitation estimates CMORPH-CRT on regions of Mexico with different climates. Water, 11(8): 1722.  https://doi.org/10.3390/w11081722

[19] Funk, C., Peterson, P., Landsfeld, M., et al. (2015). The climate hazards infrared precipitation with stations—a new environmental record for monitoring extremes. Scientific Data, 2(1): 1-21. https://doi.org/10.1038/sdata.2015.66

[20] Perdigón-Morales, J., Romero-Centeno, R., Pérez, P.O., Barrett, B.S. (2018). The midsummer drought in Mexico: perspectives on duration and intensity from the CHIRPS precipitation database. International Journal of Climatology, 38(5): 2174-2186. https://doi.org/10.1002/joc.5322

[21] Morales, M., Herrera, G. del S., Aparicio, J., Rafieeinasab, A., Lobato, R. (2021). Evaluating reanalysis and satellite-based precipitation at regional scale: A case study in southern Mexico. Atmósfera, 34(2): 189-206. https://doi.org/10.20937/ATM.52789

[22] León-Cruz, José Francisco, Luna Díaz-Peón, Antonio, Rodríguez-García, Hugo Ignacio. (2022). Extreme precipitation events in Colima, Mexico (1981-2018). Geographical Investigations, (107): e60516. https://doi.org/10.14350/rig.60516

[23] Villate, E., Morales, J., García, O., Romo, M. Corbea, A. (2020). Climate variability of extreme rainfall in the State of Jalisco for the period 1981-2018. In Disaster management associated with hydrometeorological and climatic phenomena in socio-ecological systems, pp. 179-197. Editorial KEY. http://risisbi.uqroo.mx/handle/20.500.12249/2675.

[24] Funk, C.C., Peterson, P.J., Landsfeld, M.F., et al. (2014). A quasi-global precipitation time series for drought monitoring. US Geological Survey Data Series, 832(4): 1-12. https://dx.doi.org/10.3133/ds832

[25] Burrough, P.A., McDonnell, R.A., Lloyd, C.D. (2015). Principles of Geographic Information Systems. Oxford University Press.

[26] Gonzalez, D.S. (2011). Extreme precipitation and its implications in mass removal processes in the urban planning of Tampico, Mexico. Geographical Notebooks, 48: 135-159. http://hdl.handle.net/10486/676670.

[27] Tan, J., Petersen, W.A., Tokay, A. (2016). A novel approach to identify sources of errors in IMERG for GPM ground validation. Journal of Hydrometeorology, 17(9): 2477-2491. https://doi.org/10.1175/JHM-D-16-0079.1

[28] Sharifi, E., Steinacker, R., Saghafian, B. (2016). Assessment of GPM-IMERG and other precipitation products against gauge data under different topographic and climatic conditions in Iran: Preliminary results. Remote Sensing, 8(2): 135. https://doi.org/10.3390/rs8020135

[29] Lozano, J.G., Tristán, V.V., Rodríguez, M.R., Plácido de la Cruz, J.M., Bortoni, M.D.J.A., Espinoza, H.T.S. (2011). Return periods of torrential rains for the state of Tamaulipas, Mexico. Geographical Investigations, (76): 20-33. https://doi.org/10.14350/rig.29871