Leadership Styles on Employee Performance Among Supervisors of Petroleum Retailing Sector in Jordan: Employee Engagement as a Mediator

Leadership Styles on Employee Performance Among Supervisors of Petroleum Retailing Sector in Jordan: Employee Engagement as a Mediator

Al Montaser Mohammad Masha MenhatIzyan Munirah Mohd Zaideen Mohd Saiful Izwaan Saadon Alhareth Abu Hussein 

Faculty of Maritime Studies, University Malaysia Terengganu, Kuala Nerus 21030, Terengganu, Malaysia

Faculty of Business, Amman Arab University, Amman 11953, Jordan

Corresponding Author Email: 
mashanur@umt.edu.my
Page: 
1329-1339
|
DOI: 
https://doi.org/10.18280/ijsdp.170430
Received: 
6 April 2022
|
Revised: 
13 June 2022
|
Accepted: 
20 June 2022
|
Available online: 
27 July 2022
| Citation

© 2022 IIETA. This article is published by IIETA and is licensed under the CC BY 4.0 license (http://creativecommons.org/licenses/by/4.0/).

OPEN ACCESS

Abstract: 

The purpose of this article aims to examine perceptions of employee engagement (EE) among petroleum retailing sector supervisors as a possible mediator between leadership styles (transformational, transactional, and laissez-faire) and employees’ performance (EP). We proposed a mediation model and postulated that leadership styles (LS) could increase perceptions of EE, which theoretically correspond to the three styles of leadership: transformational leadership (TSFL), transactional leadership (TSCL), and laissez-faire (LF). Subsequently, EE is linked to leadership styles and EP in keeping the extant body of social exchange theory (SET) research. In this study, a model developed based on survey research is used. Data was collected from 425 supervisors in the petroleum retailing sector in Jordan. The partial least squares (Smart-PLS) analysis is used to run the measurement and structural models. The findings show that leadership styles (transformational and transactional) are significantly and positively related to EP. In addition to the non-significantly relationship between LF leadership and EP. On the other hand, EE is not mediate the relationship between TSCL and EP.

Keywords: 

leadership, employee engagement, employee performance, petroleum retailing sector, social exchange theory, Jordan

1. Introduction

Performance is a measure of the success of an organization, either a production or a service provider organization. Petroleum retailing is a service-oriented business that emphasizes performance as a criterion for success. Academicians and practitioners agree that leaders contribute to the organization through excellent work performance and creative behaviours when customer demands constantly change [1]. Corporate success depends on the manager and the supervisor in service and people-oriented organizations, such as oil retail companies [2]. Leadership is a factor affecting workers’ quality; EP and an organization’s ability to adapt to change are primarily determined by the leadership [3]. The relationship between leaders and subordinates and how leaders guide their subordinates towards accomplishing corporate goals is referred to as leadership [4]. Without effective leadership, the organization may fall apart, and organizational goals are unlikely to be sufficient. As a result, good leaders are critical in leading and supporting their followers to success. Several measures merit full consideration when assessing the output of petroleum companies, such as productivity, production, quality, and profitability [5].

Many studies focus on the critical role of leadership styles in improving EP. It has been suggested that influential leaders use their skills and influence to improve followers and organizations [2]. This article aims to test the role of EE as a mediator between leadership styles and EP, an area that Bakker et al. [6] argued has insufficient empirical attention.

Air pollution problems have been experienced by residents of the Hashemite Kingdom of Jordan due to gases from the oil refinery and the Hussein Thermal Power Plant [7]. Employees who are satisfied with their work environment are more likely to perform well at work [8]. The poor behaviour of employees in some stations in the petroleum retailing sector in Jordan has given rise to complaints. The complainants (customers) told the Ammon newspaper that they had encountered several employee treatment issues, describing them as a bad behaviour [9]. Employee behaviour that aligns with the organization's goals might result in a more productive team and collaborative environment [10, 11].

The study affirms the utility of the social exchange theory (SET) within EE. Previous literature found that EE was a mediator in SET [12]. This study presents some explanations for the intra-sector effect. Different sectors may have different relationships between leadership styles and EP and between leadership styles and EE. The study results indicate that the impact of leadership styles, EE, and EP within the same sector is dissimilar. Many EP studies have either examined the individual dimensions of the construct separately or integrated all dimensions and measured them as a single dimension. In the first instance, scholars considered only the dimension of productivity and quality of work to measure EP [13, 14]. Secondly, some studies measured EP as a single constructor dimension [10].

A conceptual framework is proposed to analyze the motivation and support provided by leaders to individual employees to increase EP. The proposed conceptual framework is also supported by Jordanian personnel working in the petroleum retailing sector. Finally, the findings of this study provide insight into the conditions that explain why employees perform the way they do in the petroleum retailing industry.

This study develops and tests a research model that examines the interrelationships between leadership styles (transformational, transactional, and laisses-faire), EE, and employee performance. Specifically, this study aims to:

  • Identify the effect of leadership styles (transformational, transactional, and laissez-faire) on EE.
  • Determine the effect of leadership styles (transformational, transactional, and laissez-faire) on EP.
  • Determine the effect of EE on EP.
  • Determine EE as a mediator of the relationship of leadership styles (transformational, transactional, and laissez-faire) on EP.
2. Theoretical Background

Leadership in the workplace provides an extensive historical overview of leadership research, and House and Aditya [15] provide the dominant leadership theories. In their view, research on leadership in organizations moving in several ways, the literature has primarily focused on two approaches. The first approach focused on the characteristics and behaviours of the leader and the second on the situations required for leadership practice and the possible results of different leadership styles. Researchers have a variety of views regarding the importance of leadership and its influence on the success or failure of any project, organization, or institute. But most scholars think that leadership style and leaders play a significant and fundamental role in the evolution and success of any organization. Furthermore, relevant parties might use this study to improve organisational productivity and effectiveness to attain organizational sustainability.

The SET theory continues to gain scholarly attention in the context of employee performance and engagement issues. SET is a motivational process in organizations that is carried out with the help of various social exchanges [16, 17]. It helps managers build employee trust. As a result, the employee will be engaged, developing a positive attitude toward work and increased employee commitment, resulting in improved performance.

3. Literature Review

3.1 Leadership styles

Leadership focuses on encouraging workers to use their skills and abilities to carry out activities to achieve the organization's goals through effective leadership that affects their actions and inspires them to be willing to work [18]. James MacGregor Burns' work directly influenced the development of the Full Range Leadership Model [18]. In 1978, Burns stated that leadership should be transactional, transformational, and laissez-faire. Transformational leaders develop their followers and empower and/or encourage them to achieve exceptional levels of success. Transactional leaders lead through social exchanges; transformational leaders develop their followers and empower and/or encourage them to achieve exceptional success. Laissez-faire leadership refers to a lack of leadership in which the leader is not involved or active in major choices or actions [19]. Laissez-faire pioneers abandon duties and abstain from deciding; they may give groups unlimited opportunity to do their work and set their cut-off times; leaders frequently give their subordinates the freedom to make decisions regarding their work and encourage them to do so [20, 21].

3.2 Employee engagement

Engaged employees are personally connected to their work and organization; they are motivated and willing to give their all to help it succeed [22]. EE is described as a favourable attitude of the worker toward the organization and its relevance; the successful employee is aware of the business context and works with colleagues to improve job performance for the company's good [23]. The organization will promote involvement, including a two-way interaction between the employer and the employee [24]. As a general rule, EE looks at how the worker is engaged with the business they work for. This can include how linked they are with their colleagues and supervisors, how much they use their expertise at the workplace, and job security [25].

3.3 Employee performance

The phenomenon of EP is a multidimensional construct and can be defined as the level of success attained by employees in completing a piece of work [24]; In basic terms, it refers to outcomes achieved and accomplishments in the context of work [25, 26]. EP is a critical component of an organization's success, and organisations must consider the factors that provide the foundation for high performance [16]. EP is frequently measured against a single global indicator and a set of linked criteria that reflect professional success [27] or the achievement of stated objectives [28, 29]. Criteria most frequently used include productivity, behaviour, or the quality of work and goods. The concept adopted by the studies of ref. [10, 13, 14] assesses supervisors' perceptions through productivity, quality of work, and individual innovative behaviour.

4. Development of Hypotheses

4.1 Leadership styles and engagement

The success of an organization in achieving strategic goals is highly dependent on the employees’ performance. Leaders, as role models, provide an essential source of guidance for employees while also being responsible for the organisation’s success [30]. Previous studies investigated various factors that might contribute to EE.  Scott et al. [31] found that the characteristics of followers significantly influenced the relationship between TSFL and work engagement. Employee engagement can be achieved if the leader can demonstrate a genuine interest in the organization and provide clear visibility for employees’ career development [31]. Several researchers believe the TSFL style influences EE [21]. TSFL also promotes meaningfulness in the workplace; workers become more involved, eventually reducing employee health issues, fatigue, and dissatisfaction. Instead, it leads to higher competence rates, increased productivity, and successful business results [32].

The transactional leadership style is centred on the organisation’s bureaucratic authority and legitimacy. This leader prioritises work standards, assignments, and task-oriented goals [15]. In transactional paradigms, follower engagement with the organization and its vision or goals is relatively low [4]. There is a notable missing link between transactional leadership style and EE. Employees with transactional leaders expressed dissatisfaction since they had minimal power over the decision-making process [32]. If followers believe the rewards are excessive compared to the effort required, they will experience psychological tension and worry. Blomme et al. [33] found negative relationships between classical leadership style and EE, good associations between innovative leadership style and EE, and negative relationships between TSCL style and EE. Other leadership styles, such as transactional and passive-avoidant, can be linked to negative or weak relationships with employee outcomes regarding organisational commitment and work engagement [34]. These adverse effects of TSCL have been associated with the leader’s ineffective communication with employees, a lack of trust, low levels of employee support, and minimal advancement opportunities.

Previous studies investigated various factors that might contribute to EE. Laissez-faire leadership has significantly influenced EE [35, 36]. Nelson and Shraim examined LF leadership’s impact on work engagement. Their results indicated a significant negative relationship between these two factors [35]. Laissez-faire leaders rarely provide their employees with direction or advice [8], presuming that employees have the necessary knowledge and skills to perform and handle any problems. Although given extensive freedom at work, employees are not motivated to invest additional effort [33]. Laissez-faire styles have tremendous statistical significance on EE [37]. Hence, the following hypotheses were developed:

  • H1a. There is a positive relationship between TSFL and EE
  • H1b. The relationship between TSCL and EE is non-significant
  • H1c. There is a negative relationship between LF leadership and EE

4.2 Leadership styles and employee performance

According to a meta-analysis, TSCL and TSFL positively relate to various individual and organisational performances [19]. However, TSFL is more strongly associated with performance than TSCL. Schaufeli [38] found that leadership directly affects organisational outcomes such as performance and commitment. According to Al-Hendawee [5], TSFL is not purely directive. Instead, it is linked to the development and performance of followers. TSFL is evaluated based on successful organisations’ results, such as the quality of EP [6]. Modern leadership studies have confirmed the positive relationship between TSFL and success at all levels [39].

Bass's [40] transformational leadership theory happens when the leader’s incentive and control depend on the quality of the followers’ performance. Contingent reward, exception management, and contingent punishment are all used by transactional leaders to motivate and improve EP [19]. In other words, TSCL motivates followers to meet the leader’s expectations to receive rewards and promotions. Transactional leaders usually set explicit, work-related goals and the rewards that can be expected if they do well, consistent with Bass [18], who noted exchange relationships in TSCL, whereby subordinates are expected to offer a performance to the leader. On the other hand, TSCL has been claimed to have a feeble and insignificant influence on EP [6]. Transactional leaders are rewarded for doing tasks that maintain or improve overall organisational performance, demonstrating their superiors’ influence [16].

A third leadership behaviour, laissez-faire (LF) or absence of leadership, was included in the transformational-transactional leadership paradigm [19]. A meta-analysis found a definite negative relationship between LF and performance indicators. There is no work improvement intervention or performance feedback follow-up [16]. Role conflict increases stress, and low job satisfaction is linked to LF leadership [22].  Donkor and Zhou [16] found that LF management style has no significant impact on the performance of employees, but it has an insignificant negative impact on EP. Compared to other types of leadership, the LF style is ineffective in raising levels of staff motivation [20]. Studies that used various research approaches suggest that transformational and transactional leadership are associated with improved EP. We proposed that EE could be a critical factor in explaining this link. Hence, we hypothesised that:

  • H2a. There is a positive relationship between TSFL and EP
  • H2b. There is a positive relationship between TSCL and EP
  • H2c. The relationship between LF leadership and EP is non significantly

4.3 Employee engagement and employee performance

Studies have proven that EE is one of the most critical factors in fostering high levels of EP [36, 37]. EE is defined by energy, absorption, vigour, dedication, enthusiasm, and a positive state, all of which are accelerators for EP [38]. People who are highly engaged in an activity are happy about their work, say time flies at work, put in extra effort, identify with the task, and explain themselves in the context of their job to others [13]. Rich et al. [37] found that when employees are more engaged and perform better, the organisation’s shareholder returns, productivity, and customer satisfaction improve. The ability of engaged employees to transfer their feelings throughout the organization is the driving force behind these efforts and results [24]. Hence, we posit that:

H3. There is a positive relationship between EE and EP

4.4 Leadership styles, employee engagement, and employee performance

The study places EE as a mediator of the relationship between leadership styles and EP based on the SET theoretical framework. In SET, employers and employees would benefit from trustworthy and quality relationships if they followed the exchange guidelines [12]. Social exchange theory supported the need for a more balanced connection between leaders and members and the principle of treating people relatively [41]. Better performance can only be accomplished when reasonable expectations are met and the social interaction between managers and employees is fair and equitable. Work engagement is defined by Schaufeli et al. [42] as an effective, motivational, work-related state characterised by vigour, devotion, and absorption. EP based on leadership will be inefficient unless the leadership offers the impetus for higher levels of EE. When the quality of the exchange relationship between the leader and subordinate increases, the level of engagement also increases, leading to an increase in performance [24]. Previous studies found a positive relationship between EE and EP [13, 36-38]. Leaders now recognise that by focusing on EE, they can create a more efficient and productive workforce [37]. Any improvement initiatives taken by leaders would not succeed without employee engagement.

Given that LF leadership could be a strategic choice for a leader and be viewed positively by subordinates, a more balanced approach to LF leadership is required to avoid the implicit judgement of the conventional view and its subsequent associations with adverse outcomes [43-45]. Building on the rationales developed above, we proposed that the relationship between leadership styles and EP will be mediated by EE. Hence, the following hypotheses:

  • H4a. EE mediates the relationship between TSFL and EP
  • H4b. EE is not mediate the relationship between TSCL and EP
  • H4c. EE mediates the relationship between LF leadership and EP

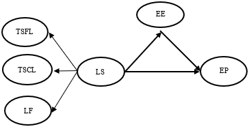
The conceptual model guiding this study is shown in Figure 1.

Figure 1. Conceptual model

5. Methodology

5.1 Study design and data collection

Based on an empirical methodology, this study used a cross-sectional design. The petroleum retailing industry was given special attention since it is seen as competitive by practitioners and academics due to its quick and practical response to quality management. The study's target population was supervisors who worked in Jordan's gas stations. The hierarchic in Figure 2 representation and decomposition represents a summary of the supervisors based on Refinery Jordan Petroleum Company [26]. For the current case, the hierarchy of supervisors of the gas stations in Jordan is presented in Figure 2.

The data gathering instrument was an online survey. The decision to hire supervisors was based on their knowledge and experience with their strategies. The random stratified sampling technique was used because of a heterogeneous stratified sample. It has the most negligible bias and offers the most generalisation. Every element has an equal chance of being selected as a subject from the population [46]. For this, Strata sample sizes are determined by the following equation:

Strata sample size $=\frac{\text { Size of the entire sample }}{\text { population size }} \times$ stratum size

The supervisor’s strata were calculated separately, where the total population of the supervisors was 680. With the equation, the population size becomes 136, and the number of supervisors from 1160 becomes 233. Therefore, Table 1 shows each strata size based on each company’s total population of managers and supervisors.

Figure 2. The hierarchy of supervisors of the gas stations in Jordan

Table 1. Classification of the stratified random sample using the equation

Name of company

Number of Supervisors

A

136

B

233

C

56

Total

425

The researcher obtained 425 questionnaires throughout the initial data gathering process. Out of the 345 responses, 13 were removed because they were outliers; hence 332 valid responses were recorded. Thus, the response rate for this study is 78.12%. Table 2 summarizes demographic statistics. Males made up most of the participants (96.4%); Middle Eastern countries, which dominate the global Oil and Gas sector as employers, are still reluctant to hire women in the gas stations. Because the work environment is hazardous for women, retail oil companies (Gas stations) are experiencing a women's shortage. Most respondents were aged between 25 and 44 years (45.5%), and most held a bachelor’s degree (51.8). All the respondents were supervisors, and the highest length of job tenure was between three and five years (37.3%). The number of employees in the organization was between 25 and 35 (41.9%), while the number of staff under direct supervision was 21 (93.1%).

5.2 Instruments

The constructs of the study model are all reflective multi-item scales. Measures for the research constructs indicated below were used as research instruments. The constructs were measured and analysed individually for employees. The theories of Avolio et al. [31] were adopted to measure leadership styles (transformational, transactional, laissez-faire), encompasses TSFL (thirteen items), TSCL (eight items), and laissez-fair (four items). An example of an item is the following: ‘My manager articulates a compelling vision of the future’. The construct consisted of seven items for the EE questionnaire developed and validated by Adeniji et al. [36]. Items were formulated as ‘I am immersed in my work.’ To measure EP regarding the quality of work [14] (three items), productivity [13] (three items), and individual innovative behaviour [10] (five items).

Table 2. Profile of respondents (N= 332)

Variable

Category

Frequency

Percent (100%)

Gender

Male

320

96.4

Female

12

3.6

 

Total

332

100.0

Age

Below 25

20

6.0

25-less than 35

151

45.5

35-less than 45

115

34.6

45-less than 55

34

10.2

Over 55

12

3.6

 

Total

332

100.0

Educational Level

High school

17

5.1

 

Diploma

122

36.7

 

Bachelor

172

51.8

 

Master

21

6.3

 

Total

332

100.0

Job title

Supervisor

332

100.0

 

Total

332

100.0

Job tenure

Less than a year

14

4.2

 

One less than three years

77

23.2

 

3-less than five years

124

37.3

 

5-less than seven years

37

11.1

 

7-less than nine years

27

8.1

 

Nine years or more

53

16.0

 

Total

332

100.0

Number of employees in your organization

Below 25

59

17.8

25-35

139

41.9

36-45

89

26.8

46-55

22

6.6

Over 55

23

6.9

Total

332

100.0

Number of staff under your supervision

11-20 employees

23

6.9

21 and more

309

93.1

Total

332

100.0

Nonetheless, most confirmatory factor studies found that this three-factor structure fit the data better than others in most situations. This investigation used three first-order latent variables to create a second-order latent construct: quality of work, productivity, and individual innovative behaviour. An example of the eleven items is: ‘My skills are suited for the type of work I do.’ A 5-point Likert rating scale was used to assess all variables and instruments.

Based on suggestions from experts and academics in the field, the scales were slightly modified for the best thematic fit. All instruments were written in English, and all petroleum retailing companies utilized the same questionnaire. A pilot survey was undertaken to avoid missing questions, reduce the risk of misunderstanding, and simplify the overall procedures. Forty-five supervisors completed the pilot questionnaire and revealed the ambiguity or difficulty they experienced in responding to the questions and suggested recommendations. Some questions were removed, and others were changed based on the feedback. The self-administered questionnaire also included questions related to the petroleum retailing companies' profile and the demographic part of the participants, such as educational background, gender, etc.

5.3 Data analysis

The partial least squares (PLS) technique is commonly used to analyze the direct and mediating results. We applied a regression-based partial least squares structural equation modelling (PLS-SEM) to test the hypotheses using SmartPLS 3 [47, 48]. The choice of a variance-based approach was deemed appropriate for three key reasons. First, the PLS technique effectively measures mediation, accounts for measurement error, and provides additional accurate mediation effects predictions. Second, PLS is helpful for prediction applications [48]. Its modelling assumptions are sufficient for developing and evaluating complex models, benefiting from estimating massive complex models. Finally, because it provides an excellent latent variable path analysis method with reflecting determinants, PLS path modelling works effectively with non-normal data [49]. In this regard, the path modelling in PLS was consistent, as there was no bias in the model. A related study used component scores in a two-stage strategy to model a multidimensional concept [50]. The first stage was to review the measurement model, and the second step was to study the structural model.

The measurement model includes the assessment of construct reliability, validity, indicator reliability, convergent validity and discriminant validity of the constructs. Therefore, structural model estimates outline the path and their significance level. Also, the structural model fit indices such as R2, effect size (F2) and goodness of fit (GOF) have been calculated by using Smart PLS [48]. To assess mediation, we have used the Nitzlet al. test by PLS [50]. The study has reported the factor loadings for measurement model path coefficients for the structural model. The survey response rate for this study (78 per cent) confirms that the method of data collecting helped elicit a high response rate.

6. Results

6.1 Measurement model evaluation

We examined the reliability and convergent validity of evaluating the outer model. Reliability was checked using the Cronbach alpha threshold of 0.7 [51-53]. Table 3 shows that all scales appeared to be reliable except for two items: (TSCL 7 and TSFL 1) which were deleted due to low loading. The model showed sufficient convergent validity, with an AVE value > 0.50 for all constructs (see Table 3). Researchers can simply assume that a measuring scale is valid when items/indicators load highly (i.e., > 0.5) on their linked constructs, according to Hair et al. [48]. Reliability was maintained once the two items were removed. Then we examined the reliability of the indicators. As a result, all factor loadings of more than 0.6 were considered acceptable [53]. Therefore, after meeting the minimum threshold limit, both validity and reliability analyses indicate that these measures are valid and reliable for further analysis. Finally, we used a heterotrait-monotrait (HTMT) ratio to evaluate discriminant validity. The HTMT acceptance criterion, according to Henseler et al. [53], should have a coefficient value smaller than 1. The HTMT ratio gives information about the constructs’ discriminant validity. Table 4 shows how the HTMT ratio was calculated to determine the aggregate constructs’ discriminant validity. The KMO score for sample sufficiency was 0.932 (> 0.5), and Bartlett’s sphericity test was significant.

Table 3. Summaries of descriptive statistics, reliability, and concurrent validity

Variable

Mean

Standard deviation

Cronbach alpha

AVE

TSFL

3.748

.4563

0.910

0.503

TSCL

3.663

.4759

0.835

0.506

LF

2.962

1.0150

0.940

0.847

EE

3.743

.4559

0.834

0.501

EP

3.733

.4612

0.902

0.505

Table 4. Discriminant Validity (HTMT)

 

EE

EP

LL

TSCL

TSFL

EE

0.708

       

EP

0.659

0.711

     

LL

0.131

0.129

0.920

   

TSCL

0.519

0.627

0.156

0.711

 

TSFL

0.624

0.663

0.043

0.755

0.709

Note: Diagonal elements are the root squared AVE values.

6.2 Structural model assessment

Bootstrapping was used on 5,000 samples with a two-tailed significance of 95 per cent to test the hypotheses. In Table 6, only two hypotheses (H1b and H2c) were not supported. The steps below were followed to understand the mediation [49]. Complete mediation happens when the direct effect is insignificant, but the indirect effects are significant. Partial mediation, such as complementary or competitive mediation, happens when indirect and direct effects are significant. The path estimates and t-values of the model’s structural main direct effects between latent variables are shown in Figure 3. The coefficient of determination (R2) coefficients related to endogenous hidden variables (dependent) of the model, which represent the number of changes of each dependent variable’s model explained by the independent variables, are the second requirement for fitting the structural model within a study. Table 5 shows that in R2, two values of 0.40 and 0.56 are considered the criterion of the medium and robust value. The general model relevant criteria (GOF) evaluated the available model fitting. For GOF, three values of 0.4 and 0.56 are defined as medium and solid [54]. The following formula is used to calculate the criterion:

$\mathrm{GOF}=\sqrt{\overline{A V E} * \overline{R^{2}}}$

According to Table IV, the value of $\overline{R^{2}}$ is equal to $\left(\overline{R^{2}}\right)$=0.48. As a result, the GOF value for this study is:

$\mathrm{GOF}=\sqrt{0.57 * 0.48}=0.53$

Wetzels et al. [43] proposed the GOF index, which ranges from 0 to 1, with the greater the index, the better the model’s general fit. The perfect fitting of the general model is supported by the obtained value of GOF of 0.53.

T-values for the indicator weights are obtained via the bootstrapping technique (and other model parameters). We must compare these t-values with the crucial values from the standard normal distribution to determine if the coefficients differ substantially from zero. A t-value of more than 1.96 (two-tailed test) indicates that the indicator weight is statistically significant, supposing a significance threshold of 5%. Let’s review the results for statistical significance [48]. Assuming a 5% significance level, the t-values (Figure 3) estimated from the bootstrapping should exceed the value of 1.960. We find that several relationships are significant, including four of the exogenous driver construct relationships (TSEL → EE, t = 7.817; LF → EE, t = 2.207; TSFL → EP, t = 3.256; TSCL → EP, t = 3.846). At the same time, however, two exogenous driver relationships are not statistically significant (TSCL → EE, t = 1.141; LL → EP, t = 0.790). Reviewing the statistical significance of the path coefficients for the relationships between the endogenous constructs, we can see that all three paths are significant.

Table 5. Structural model fit indices

 

R2

F2

EE

0.403

0.197b

EP

0.566

 

LL

 

0.014a, 0.002b

TSCL

 

0.005a, 0.056b

TSFL

 

0.221a, 0.047b

Notes: EE= a; EP = b

Note: Path coefficients and t-values (between brackets) are reported

Figure 3. Path model significance results (t-value)

As summarized in Table 6, TSFL was found to have a significant relationship with EE (β = 0.557, t =7.817, LL= 0.404; UL= 0.689, p < 0.001). Together with a weak effect size (f2) of 0.221, there is strong support for H1a. TSCL was not found to have a relationship with EE (β = 0.083, t = 1.141, LL= -0.061; UL= 0,227, p > 0.05). Hence, there is no support for H1b. However, LF was found to have a significant relationship with EE (β = 0.094, t =2.207, LL= 0.002; UL= 0.172, p < 0.05) and a medium effect size (f2) of 0.014. This means that there is also support for H1c.

TSFL has a significant relationship with EP (β = 0.241, t =3.256, LL= 0.084; UL= 0.377, p < 0.05, f2= 0.047). TSCL has a significant relationship with EP (β = 0.243, t =3.846, LL= 0.123; UL= 0.367, p < 0.001, f2 = 0.056), and non-significant relationship was found between Laissez-Faire Leadership and EP (β = 0.033, t =0.840, LL= -0.034; UL= 0.098, p > 0.05, f2 = 0.002), and as such provides support for H2a and H2b, and not support for H2c. EE was found to have a relationship with EP (β = 0.378, t =7.071, LL= 0.274; UL= 0.484, p < 0.001) but a weak effect size (f2) of 0.197, and as such provides partial support for H4. Significant effects were found (β = 0.211, t =5.236, LL= 0.141; UL= 0.300, p < 0.001) to support a partial mediates of EE in the relationship between TSFL and EP and as such provides support for H4a. Significant effects were found (β = 0.035, t =2.033, LL= 0.002; UL= 0.070, p < 0.05) to support a full mediates between LF leadership style and EP, therefor H4c supported. Non-Significant effects of TSCL on EP (β = 0.032, t =1.080, LL= -0.021; UL= 0.095, p > 0.05) through EE, hence H4b is not supported.

Table 6. Direct and indirect effect: structural model/ hypothesis testing

 

 

 

 

Bias corrected confidence interval 95%

Hypothesised paths

Beta

T Value

P Values

LL

UL

EE -> EP

0.378

7.071

0.000

0.274

0.484

LF -> EE

0.094

2.207

0.027

0.002

0.172

LF -> EP

0.031

0.790

0.429

-0.048

0.106

TSCL -> EE

0.083

1.141

0.254

-0.061

0.227

TSCL -> EP

0.243

3.846

0.000

0.123

0.367

TSFL -> EE

0.557

7.817

0.000

0.404

0.689

TSFL -> EP

0.241

3.256

0.001

0.084

0.377

Results of mediated model

 

 

 

LF ->EE ->EP

0.035

2.033

0.042

0.002

0.070

TSCL->EE->EP

0.032

1.080

0.280

-0.021

0.095

TSFL->EE->EP

0.211

5.236

0.000

0.141

0.300

7. Discussion

This study adds several contributions to existing literature. Notably, key characteristics were identified in the petroleum retailing environment and explain how they affect engagement and performance directly and indirectly. This effort is especially critical because previous research has shown that petroleum sectors are less engaged than other service groups [25]. According to the findings, TSFL has a significant influence on EE. This finding is in line with Dirani et al. [29], who believed that when leaders use a transformational approach, corporate leaders can express their vision for the company’s future, and EE improves. These findings are similar to those of Udin et al. [4] and Ismail et al. [21], who conducted their research in a virtual environment. According to Avolio et al. [31], transformational leaders generate trust and loyalty in followers by bringing an individualistic orientation. Transformational leaders can persuade people to make sacrifices that disengaged workers would not make because they can acquire followers’ confidence, trust, and loyalty [30].

This study's findings show no significant relationship between TSCL and EE, which is in line with the findings of previous research [33]. Employee engagement and employee outcomes have a negative or poor relationship. Similarly, Decuypere and Schaufeli [23] and others have experimentally corroborated that TSFL leads to higher levels of engagement than TSCL. The results demonstrated that the LF style significantly impacted EE, which supported this style’s effect on EE. The conclusion is consistent with the findings of other studies [33, 34, 55]. Leaders with more LF show to be more secure in their intention to create a culture of engagement [55].

In addition, this study found TSFL to impact staff performance considerably. According to leading researchers, TSFL may cause followers to exchange quantity for quality in creative output [29]. Furthermore, the findings show that TSCL directly impacts staff performance. The outcome of the hypothesis test is similar to that of Ajibade et al. [56], who offered scholarly evidence that TSCL is associated with improved EP. TSCL inspires and influences subordinates by exchanging rewards for a specific performance level. Burns [19] invented the phrase "influence TSCL" to describe how employees would act consistently with the leader's intentions if they believed it would benefit them. The findings also show a negative relationship between LF leadership and EP, consistent with Supriyanto et al. [8], who expected administrative leaders to develop transformational and transactional quality styles while avoiding the LF style to generate higher performance.

According to the findings, EE has a significant relationship with EP. This study confirms Rich’s et al. [37] findings that engagement might improve performance due to various variables. Engagement is defined by its traits of energy, absorption, involvement, efficacy, vigour, dedication, enthusiasm, and a positive state, all regarded accelerators for improved EP. Engagement allowed for a good attitude toward work and increased EE, which led to improved performance [16]. According to SET, employees are more likely to reciprocate with high levels of EE when leaders demonstrate high-quality leadership [12].

8. Theoretical Implications

This study supports SET as a foundational technique for understanding the relationship between leadership styles and EP as mediated by EE in Jordan’s petroleum retailing sector. From a theoretical standpoint, this research adds to the body of knowledge on EP and the function of EE in mediating and understanding the intricacies of supervisors’ perspectives of Jordan’s petroleum retailing sector. The study theoretically supports the value of SET in terms of EE. Employee engagement has been identified as a mediator in SET [4]. Secondly, this study fills the gap by incorporating EE as a mediating variable in the relationship between leadership styles (transformational, transactional, and LF) and EP. Finally, this study suggests that Jordanian organizations that can effectively use these perspectives to improve EP will realize the rewards of better-performing employees. In the long term, this would impact the organization’s overall performance.

9. Practical Implications

Jordanian organizations’ management teams may be able to assess the strengths and weaknesses of their organizations and develop appropriate leadership styles by diagnosing the status of leadership styles, EE, and EP in the Jordanian sector and exploring the relationships between these constructs. Senior and business managers should adopt suitable leadership styles for enhancing EP. By combining leadership styles and addressing the importance of EE, this study aims to find ways to improve EP. The uncertainties and challenging external factors have led many oil and gas organisations to focus on improving resources management [57, 58]. The outcomes of this study provide advice for executives in the petroleum retailing industry to coordinate their organizational efforts to increase EP through EE and leadership styles. EE should be recognized as a technique for boosting EP and retaining personnel in petroleum retailing companies.

10. Limitations and Future Research

The study’s primary limitation is that it relied on a Jordanian petroleum retailing industry sample to test its hypotheses. The findings of this study can be cautiously generalized to the petroleum retailing industry in other contexts, given the sample population. A case study approach could be adopted in the future to understand better the process and mechanism by which increased EP is attained and explain these outcomes. Researchers would be able to understand the complicated interactions between the variables. Second, future research might look at the research model in several situations in Jordan, such as hospitals, telecommunications, airlines, education, and banking, and test its validity and application in different countries. The model’s generalizability can be determined in this way. Finally, future research could explore various leadership styles, focusing on the characteristics of transformational and TSCL styles and advocating EP. Finally, a blended methodology that integrates quantitative and qualitative approaches should be used to gain a more holistic knowledge of EP among station supervisors.

11. Conclusion

The study discovered that transformational and LF leadership styles are significantly associated with EP in the petroleum retailing industry. However, TSCL is not significantly related to EP. EE was also a significant predictor of EP, acting as a significant mediator between the two factors. The study’s explanation and confirmations regarding the case help solidify the current understanding. Finally, this research aims to contribute to the organizational context by inspiring new ideas and exposing new research challenges that could be addressed in future research projects.

Appendix A. (Questionnaire)

Leadership Style

Transformational leadership:

  1. My manager talks about his/her most important values
  2. My manager emphasizes the importance of having a collective sense of mission.
  3. My manager instills pride in me for being associated with him/her.
  4. My manager acts in ways that build my respect.
  5. My manager talks optimistically about the future.
  6. My manager expresses confidence that goals will be achieved.
  7. My manager articulates a compelling vision of the future.
  8. My manager seeks differing perspectives when solving problems.
  9. My manager gets me to look at problems from many different angles.
  10. My manager suggests new ways of looking at how to complete assignments.
  11. My manager treats me as an individual rather than just as a group member.
  12. My manager helps me to develop my strengths.
  13. My manager spends time teaching and coaching.

Transactional leadership:

  1. My manager provides me with assistance in exchange for my efforts.
  2. My manager clarifies what one can expect to receive when performance goals are achieved.
  3. My manager expresses satisfaction when I meet expectations.
  4. My manager directs my attention toward failures to meet standards.
  5. My manager focuses attention on irregularities, mistakes, exceptions, and deviations from standards.
  6. My manager concentrates his/her full attention on dealing with mistakes, complaints, and failures
  7. My manager waits for things to go wrong before taking action
  8. My manager shows that he/she is a firm believer in "If it ain't broke, don't fix it."

Laissez-Faire Leadership:

  1. My manager avoids getting involved when critical issues arise.
  2. My manager is absent when needed.
  3. My manager delays responding to urgent questions.
  4. My manager avoids making decisions.

Employee Engagement:

  1. At my job, I feel strong and vigorous
  2. I can continue working for very long periods at a time
  3. In my job, I am mentally very resilient
  4. I feel happy when I am working intensely
  5. I am immersed in my work
  6. I am enthusiastic about my job
  7. I find the work that I do is meaningful

Employee Performance:

  1. This organization has indicators for measuring staff productivity.
  2. My skills are suited for the type of work I do.
  3. The management structures in this company encourage the performance of workers.
  4. The company supports me when the work pressure increases.
  5. The company distributes the work tasks in a studied manner according to the qualifications.
  6. The company is keen on my participation in making decisions that improve performance.
  7. I look for opportunities to improve an existing product, service, or work relationship.
  8. I pay attention to non-routine issues in my work, department, and organization.
  9. I generate ideas or solutions to address problems.
  10. I push ideas forward so that they have a chance to become implemented.
  11. I incorporate new ideas for improving an existing process, technology, product, or service into daily routines.
  References

[1] Obedgiu, V., Bagire, V., Mafabi, S. (2017). Examine organizational commitment and citizenship behaviour among local government civil servants in Uganda. Journal of Management Development, 36(10): 1304-1316. https://doi.org/10.1108/JMD-12-2016-0279

[2] Wagimin, M., Elisa, K., Juhary, A., Vembri, N.H. (2019). The effect of leadership on employee performance with total quality management (TQM) as a mediating variable in indonesian petroleum companies: A case study. International Journal of Integrated Engineering, 11(5): 180-188. 

[3] Arifani, A.Z.T., Susanti, A.Y. (2020). Literature review factors affecting employee performance: Competence, compensation and leadership. Dinasti International Journal of Economics, Finance & Accounting, 1(3): 538-549. https://doi.org/10.38035/dijefa.v1i3.491

[4] Udin, U., Dananjoyo, R., Isalman, I. (2022). The effect of transactional leadership on innovative work behaviour: Testing the role of knowledge sharing and work engagement as mediation variables. International Journal of Sustainable Development and Planning, 17(3): 727-736. https://doi.org/10.18280/ijsdp.170303

[5] Al-Hendawee, A.M. (2018). Impact of strategic leadership on organizational performance excellence: the mediating role of continuous improvement ”A field study on al-manaseer group companies in Jordan”. PhD Thesis Page 31, the World Islamic Science and Education University (WISE).

[6] Bakker, A.B., Albrecht, S.L., Leiter, M.P. (2011). Key questions regarding work engagement. European Journal of Work and Organizational Psychology, 20(1): 4-28. https://doi.org/10.1080/1359432X.2010.485352

[7] Al-Akras, H. (1995). The impact of air pollution through gases from the oil refinery and the Hussein Thermal Power Plant on the residents of the Hashemite city. master thesis. The University of Jordan.

[8] Supriyanto, A., Ekowati, V., Maghfuroh, U. (2020). Do organizational citizenship behavior and work satisfaction mediate the relationship between spiritual leadership and employee performance? Management Science Letters, 10(5): 1107-1114. https://doi.org/10.5267/j.msl.2019.10.031

[9] Ammon. (2015). Stations: Total partnership .. suffering. Ammonnews. https://www.ammonnews.net/home.

[10] Kleysen, R.F., Street, C.T. (2001). Toward a multidimensional measure of individual innovative behavior. Journal of Intellectual Capital, 2(3): 284-296. https://doi.org/10.1108/EUM0000000005660

[11] Evans, W.R., Davis, W.D. (2005). High-performance work systems and organizational performance: The mediating role of internal social structure. Journal of Management, 31(5): 758-775. https://doi.org/10.1177/0149206305279370

[12] Cropanzano, R., Mitchell, M.S. (2005). Social exchange theory: An interdisciplinary review. Journal of Management, 31(6): 874-900. https://doi.org/10.1177/0149206305279602

[13] Sendawula, K., Saadat, K., Juma, B., Grace, M. (2018). Training, employee engagement and employee performance: Evidence from Uganda’s health sector. Cogent Business and Management, 5(1): 1-12. https://doi.org/10.1080/23311975.2018.1470891

[14] Jung, D.I., Avolio, B.J. (2000). Opening the black box: An experimental investigation of the mediating effects of trust and value congruence on transformational and transactional leadership. Journal of Organizational Behavior, 21(8): 949-964. https://doi.org/10.1002/1099-1379(200012)21:8<949::AID-JOB64>3.0.CO;2-F 

[15] House, R.J., Aditya, R.N. (1997). The social scientific study of leadership: Quo vadis? Journal of Management, 23(3): 409-473. https://doi.org/10.1016/S0149-2063(97)90037-4

[16] Donkor, F., Zhou, D. (2020). Organisational commitment influences on the relationship between transactional and laissez- faire leadership styles and employee performance in the Ghanaian public service environment. Journal of Psychology in Africa, 30(1): 30-36. https://doi.org/10.1080/14330237.2020.1712808 

[17] Cook, K.S., Cheshire, C., Rice, E.R.W., Nakagawa, S. (2013). Social Exchange Theory. In: DeLamater, J., Ward, A. (eds) Handbook of Social Psychology. Handbooks of Sociology and Social Research. Springer, Dordrecht. https://doi.org/10.1007/978-94-007-6772-0_3 

[18] Bass, B.M. (1985). Leadership and Performance Beyond Expectations. New York: Free Press.

[19] Burns, J.M. (1978). Leadership. New York: Harper & Row.

[20] Badura, K.L., Grijalva, E., Galvin, B.M., Owens, B.P., Joseph, D.L. (2020). Motivation to lead: A meta-analysis and distal-proximal model of motivation and leadership. Journal of Applied Psychology, 105(4): 331. https://doi.org/10.1037/apl0000439

[21] Ismail, F., Kadir, A.A., Alhosani, A.A.H. (2021). Impact of leadership styles toward employee engagement among Malaysian Civil Defence Force. International Journal of Business and Society, 22(3): 1188-1210. https://doi.org/10.33736/ijbs.4294.2021 

[22] Schaufeli, W.B., Bakker, A.B. (2004). Job demands, job resources, and their relationship with burnout and engagement: A multi‐sample study. Journal of Organizational Behavior: The International Journal of Industrial, Occupational and Organizational Psychology and Behavior, 25(3): 293-315. https://doi.org/10.1002/job.248

[23] Decuypere, A., Schaufeli, W. (2020). Leadership and work engagement: Exploring explanatory mechanisms. German Journal of Human Resource Management, 34(1): 69-95. https://doi.org/10.1177/2397002219892197

[24] Chaurasia, S., Shukla, A. (2013). The influence of leader-member exchange relations on employee engagement and work role performance. International Journal of Organization Theory & Behavior, 16(4): 465-493. https://doi.org/10.1108/IJOTB-16-04-2013-B002

[25] AL Zaabi, M., Ahmad, K., Hossan, C. (2016). Authentic leadership, work engagement and organizational citizenship behaviors in petroleum company. International Journal of Productivity and Performance Management, 65(6): 811-830. https://doi.org/10.1108/IJPPM-01-2016-0023

[26] Refinery Jordan Petroleum Company. (2018). Jordan Petroleum Refinery Co. (JOPT). http://jordinvest.com.jo/uploads/jopt_initiationofcoverage_05-14-2018-(1)_001.pdf.

[27] Charbonnier-Voirin, A., Roussel, P. (2012). Adaptive performance: A new scale to measure individual performance in organizations. Canadian Journal of Administrative Sciences/Revue Canadienne Des Sciences de l’Administration, 29(3): 280-293. https://doi.org/10.1002/cjas.232

[28] Iaffaldano, M.T., Muchinsky, P.M. (1985). Job satisfaction and job performance: A meta-analysis. Psychological Bulletin, 97(2): 251. https://doi.org/10.1037/0033-2909.97.2.251

[29] Dirani, K.M., Abadi, M., Alizadeh, A., Barhate, B., Garza, R.C., Gunasekara, N., Ibrahim, G., Majzun, Z. (2020). Leadership competencies and the essential role of human resource development in times of crisis: A response to COVID-19 pandemic. Human Resource Development International, 23(4): 380-394. https://doi.org/10.1080/13678868.2020.1780078

[30] Scott, C.P.R., Jiang, H., Wildman, J.L., Griffith, R. (2018). The impact of implicit collective leadership theories on the emergence and effectiveness of leadership networks in teams. Human Resource Management Review, 28(4): 464-481. https://doi.org/10.1016/j.hrmr.2017.03.005

[31] Avolio, B.J., Bass, B.M., Jung, D.I. (1999). Re‐examining the components of transformational and transactional leadership using the Multifactor Leadership. Journal of Occupational and Organizational Psychology, 72(4): 441-462. https://doi.org/10.1348/096317999166789 

[32] Van Vugt, M., Jepson, S.F., Hart, C.M., De Cremer, D. (2004). Autocratic leadership in social dilemmas: A threat to group stability. Journal of Experimental Social Psychology, 40(1): 1-13. https://doi.org/10.1016/S0022-1031(03)00061-1

[33] Blomme, R.J., Kodden, B., Beasley-Suffolk, A. (2015). Leadership theories and the concept of work engagement: Creating a conceptual framework for management implications and research. Journal of Management & Organization, 21(2): 125-144. https://doi.org/10.1017/jmo.2014.71

[34] Yahaya, R., Ebrahim, F. (2016). Leadership styles and organizational commitment: literature review. Journal of Management Development, 35(2): 190-216. https://doi.org/10.1108/JMD-01-2015-0004

[35] Kristijono, N.H., Pramono, R., Supratikno, H., Sudibjo, N., Juliana. (2022). Ethical decisions of leaders in sustainable investing to promote sustainable development. International Journal of Sustainable Development and Planning, 17(1): 13-28. https://doi.org/10.18280/ijsdp.170102

[36] Adeniji, A., Osibanjo, A., Salau, O., Atolagbe, T., Ojebola, O., Osoko, A., Akindele, R., Edewor, O. (2020). Leadership dimensions, employee engagement and job performance of selected consumer-packaged goods firms. Cogent Arts & Humanities, 7(1): 1801115. https://doi.org/10.1080/23311983.2020.1801115

[37] Rich, B.L., Lepine, J.A., Crawford, E.R. (2010). Job engagement: Antecedents and effects on job performance. Academy of Management Journal, 53(3): 617-635. https://doi.org/10.5465/amj.2010.51468988

[38] Schaufeli, W.B. (2015). Engaging leadership in the job demands-resources model. Career Development International, 20(5): 446-463. https://doi.org/10.1108/CDI-02-2015-0025

[39] Manzoor, F., Wei, L., Nurunnabi, M., Subhan, Q.A., Shah, S.I.A., Fallatah, S. (2019). The impact of transformational leadership on job performance and CSR as mediator in SMEs. Sustainability (Switzerland), 11(2): 1-14. https://doi.org/10.3390/su11020436

[40] Bass, B.M. (1995). Theory of transformational leadership redux. The Leadership Quarterly, 6(4): 463-478. https://doi.org/10.1016/1048-9843(95)90021-7

[41] Blau, P.M. (1964). Exchange and Power in Social Life. Wiley.

[42] Schaufeli, W.B., Salanova, M., González-Romá, V., Bakker, A.B. (2002). The measurement of engagement and burnout: A two sample confirmatory factor analytic approach. Journal of Happiness Studies, 3(1): 71-92. https://doi.org/10.1023/A:1015630930326

[43] Yang, I. (2015). Positive effects of laissez-faire leadership: conceptual exploration. Journal of Management Development, 34(10): 1246-1261. https://doi.org/10.1108/JMD-02-2015-0016

[44] Sekaran, U., Bougie, R. (2013). Research Methods for Business: A Skill-Building Approach (6th Ed). West Sussex: JohnWiley & Sons Ltd.

[45] Zareen, M., Razzaq, K., Mujtaba, B.G. (2015). Impact of transactional, transformational and laissez-faire leadership styles on motivation: A quantitative study of banking employees in Pakistan. Public Organization Review, 15(4): 531-549. https://doi.org/10.1007/s11115-014-0287-6

[46] Hair, J.F., Risher, J.J., Sarstedt, M., Ringle, C.M. (2019). When to use and how to report the results of PLS-SEM. European Business Review, 31(1): 2-24. https://doi.org/10.1108/ebr-11-2018-0203

[47] Chin, W.W. (2010). How to write up and report PLS analyses. In J. V. Esposito Vinzi, W. W. Chin & & H. W. Henseler (Eds.), Handbook of Partial Least Squares (pp. 655–690). Springer. https://doi.org/10.1007/978-3-540-32827-8

[48] Hair, Ringle, C.M., Sarstedt, M. (2011). PLS-SEM: Indeed a Silver Bullet. Journal of Marketing Theory and Practice, 19(2): 139-152. https://doi.org/10.2753/MTP1069-6679190202

[49] Wetzels, M., Odekerken-Schröder, G., Van Oppen, C. (2009). Using PLS path modeling for assessing hierarchical construct models: Guidelines and empirical illustration. MIS Quarterly, 33(1): 177-195. https://doi.org/10.2307/20650284

[50] Nitzl, C., Roldan, J.L., Cepeda, G. (2016). Mediation analysis in partial least squares path modeling. Industrial Management & Data Systems, 116(9): 1849-1864. https://doi.org/10.1108/IMDS-07-2015-0302

[51] Nunnally, J.C. (1994). Psychometric Theory (2nd ed). New York: McGraw-Hill.

[52] Hair, Hult, G.T.M., Ringle, C.M., Sarstedt, M. (2014). A Primer on Partial least squares structural equation modeling (PLS-SEM). In European Business Review, 26(2). https://doi.org/10.1108/EBR-10-2013-0128

[53] Henseler, J., Ringle, C.M., Sarstedt, M. (2015). A new criterion for assessing discriminant validity in variance-based structural equation modeling. Journal of the Academy of Marketing Science, 43(1): 115-135. https://doi.org/10.1007/s11747-014-0403-8

[54] Wetzels, M., Odekerken-Schröder, G., Van Oppen, C. (2009). Using PLS path modeling for assessing hierarchical construct models: Guidelines and empirical illustration. MIS Quarterly, 33(1): 177-195. https://doi.org/10.2307/20650284

[55] Zareen, M., Razzaq, K., Mujtaba, B.G. (2015). Impact of transactional, transformational and laissez-faire leadership styles on motivation: A quantitative study of banking employees in Pakistan. Public Organization Review, 15(4): 531-549. https://doi.org/10.1007/s11115-014-0287-6

[56] Ajibade, O. E., Ajayi, T.O., Shobowale, O. (2017). Leadership style and employees’ performance in nigerian federal polyechnics: A study of federal polytechnic, Ilaro, Ogun State. Journal of Public Administration, 11(11): 17-30. https://doi.org/10.1109/DSN.2001.941408

[57] Menhat, M., Jeevan, J., Zaideen, I.M.M., Yusuf, Y. (2019). Challenges in managing oil and gas supply chain -An exploratory study. Proceedings of the International Conference on Industrial Engineering and Operations Management, 52: 884-892.

[58] Menhat, M., Yusuf, Y. (2018.) Factors influencing the choice of performance measures for the oil and gas supply chain - Exploratory study. IOP Conference Series: Materials Science and Engineering, 342(1). https://doi.org/10.1088/1757-899X/342/1/012091