Performance of R32/R600 in Double Evaporator Water Chiller Units

Performance of R32/R600 in Double Evaporator Water Chiller Units

Pengfei Yu* Xiantai Wen Jijing Li

College of Energy and Power Engineering, Nanjing Institute of Technology, Nanjing 211167, China

Corresponding Author Email: 
yupengfei@njit.edu.cn
Page: 
1447-1454
|
DOI: 
https://doi.org/10.18280/ijht.420434
Received: 
16 March 2024
|
Revised: 
7 June 2024
|
Accepted: 
1 July 2024
|
Available online: 
31 August 2024
| Citation

© 2024 The authors. This article is published by IIETA and is licensed under the CC BY 4.0 license (http://creativecommons.org/licenses/by/4.0/).

OPEN ACCESS

Abstract: 

In order to study the performance of mixed refrigerant R32/R600 in a dual evaporator water chiller unit, the performance parameters of R32/R600 mixed refrigerant with mass components of (0.5:0.5) and (0.6:0.4) were experimentally measured under variable evaporation temperature conditions when the inlet and outlet temperatures of the cooling water were 32℃/37℃. The research results indicate that under the same operating conditions, with the increase of low boiling point R32 components, the low-temperature refrigeration capacity of R32/R600 mixed working fluid decreases, while the high-temperature refrigeration increases; Both low and high temperature COP are reduced, mainly due to the increased power consumption of the compressor. Under variable operating conditions, the performance trends of the units with R32/R600 components are consistent. When the inlet and outlet water temperature of the low-temperature evaporator remains unchanged, as the inlet and outlet water temperature of the high-temperature evaporator decreases, the low-temperature cooling capacity of the unit decreases, while the high-temperature cooling capacity increases; Low temperature COP decreases while high temperature COP increases; Reduced power consumption of the compressor. When the inlet and outlet water temperature of the high-temperature evaporator remains unchanged, as the inlet and outlet water temperature of the low-temperature evaporator decreases, the low-temperature cooling capacity decreases and the high-temperature cooling capacity increases; Low temperature COP decreases while high temperature COP increases; The power consumption of the compressor has increased. The suction and exhaust pressures of the unit are within the safe range. R32/R600 (0.5:0.5) has better performance. The research results can provide reference of the alternative refrigerants application for the double evaporator water chiller units.

Keywords: 

R32/R600, mixed refrigerant, double evaporator water chiller units, performance research, dual carbon strategy

1. Introduction

By utilizing the characteristics of non azeotropic mixed refrigerants for dual evaporator chillers, independent treatment of air temperature and humidity can be achieved [1-5]. Due to the significant impact of the variety of mixed refrigerants and their components on the performance of the chiller unit, selecting appropriate refrigerants and their components is of great practical significance for improving the performance of the refrigeration system. R32 is an environmentally friendly refrigerant with a large unit mass refrigeration capacity, and has been widely studied by scholars as an important component of mixed refrigerants. Al Kraim and Ataş [6] studied the feasibility of using R32 (90%)/R600a (10%) working fluid as a substitute for R32. Zhang et al. [7] found that adding R32 to R1234yf increased the heat absorption of the mixed working fluid. Sánchez et al. [8] experimentally studied that CO2/R32 binary mixtures can increase COP by 22.2%. Sobieraj [9] achieved low-temperature application of CO2/R32 mixed working fluid at -72℃. Scholars have also found that the addition of R32 to the mixed working fluid exhibits excellent thermophysical properties [10-12]. R600 belongs to the CH refrigerant category, and its lower liquid density reduces the filling amount of the mixed working fluid, reduces compressor power consumption and exhaust temperature, and increases COP. Ganesan et al. [13] found that CO2/R600 has a higher COP in low-pressure to two-stage high-temperature heat pump systems. Chen et al. [14] found through experimental research that the use of R290/R600 in freezers can increase system performance. Cao et al. [15] pointed out through model optimization analysis that R143a/R600 has high work efficiency when used in heat pump systems. Mondal and De [16] pointed out that a mixture of R245fa and R600 with a molar fraction ratio of 0.6/0.4 can be used as the optimal working fluid for organic flash evaporation cycles. Scholars have also studied the thermal properties of R600 mixed refrigerants [17-19], pointing out that R600 mixed refrigerants have broad application prospects as alternative refrigerants.

Meanwhile, with the implementation of China's "dual carbon" strategy goals, refrigerant replacement technology is an inevitable requirement for addressing the global climate crisis and an important research goal for carbon reduction technology routes. Scholars at home and abroad have also conducted extensive research in this area [20-24]. Therefore, adopting refrigerants with zero ozone depletion potential (ODP) and low global warming potential (GWP) will continuously enhance the green industry upgrading and low-carbon development path of the refrigeration industry, which will have a profound impact on China and even the world in terms of economy, energy, and environment. This article conducts experimental research on the environmentally friendly mixed working fluid of R32/R600 components in a dual temperature chiller unit, mainly exploring the following two aspects: (1) The unit performance of the two components of the mixed working fluid under the same operating condition. (2) The unit performance of two components of mixed working fluid under variable operating conditions. This can provide reference for the selection of components and components as an alternative refrigerant for non azeotropic mixed refrigerant dual temperature chillers.

2. Physical Properties of R32/R600

2.1 The main physical parameters of R32/R600

The dual evaporator chiller refrigeration system uses a mixture of low boiling point R32 and high boiling point R600 refrigerants. The physical properties of each refrigerant are shown in Table 1.

Table 1. Main physical parameters of R32 and R600 [25]

Refrigerant

Boiling Point /℃

Molecular Weight

Critical Temperature /℃

Critical Pressure /Mpa

Latent Heat /kj/kg

ODP

GWP

Security Classification

R32

-51.7

52.02

78.2

5.8

390.5

0

675

A2

R600

-0.5

58.12

151.9

3.79

386

0

20

A3

2.2 Saturated vapor pressure of R32/R600

The saturated vapor pressure of the refrigerant is an important reference parameter for the design and operation of the refrigeration system. Generally, when the saturated vapor pressure of the refrigerant is low, the operating pressure of the system is also low. As shown in Figure 1, the saturated vapor pressure of each refrigerant increases with the increase of temperature. At the same temperature, R134a has the lowest saturated vapor pressure, indicating the lowest operating pressure of the refrigeration system. R41OA has the highest saturated vapor pressure, which is the highest operating pressure of the refrigeration system. The saturated vapor pressure of R32/R600 (0.5:0.5) is slightly higher than R407C and slightly lower than R22, meeting the pressure range requirements of conventional refrigeration systems.

Figure 1. Saturated vapor pressure curve of refrigerant [26]

2.3 Glide temperature of R32/R600

The dual evaporator chiller refrigeration system utilizes the temperature glide of the mixed working fluid to simultaneously produce 7℃/12℃ low-temperature chilled water and 16℃/21℃ high-temperature chilled water. As shown in Figure 2, under the same pressure, the glide temperature of R32/R600 mixed working fluid shows a trend of first increasing and then decreasing with the increase of low boiling R32 components. Under the same component, as the pressure increases, the glide temperature shows a decreasing trend. Therefore, the temperature glide during condensation heat transfer in refrigeration systems is smaller than that during evaporation heat transfer. In order to strengthen evaporation side heat transfer, there is a greater demand for chilled water volume. Within this pressure range, the maximum temperature glide of R32/R600 is 47.62℃.

Figure 2. Glide temperature of different components under different pressures of R32/R600 [26]

3. Refrigeration System Performance Experiment

3.1 Experimental testing system

As shown in Figure 3(a), R32/R600 enters the condenser after being compressed by the compressor, filtered by the storage dryer, throttled by the electronic expansion valve, passed through a low-temperature evaporator, a high-temperature evaporator, and then returned to the compressor to complete a refrigeration cycle. The testing system also includes a cooling water circulation system, low-temperature chilled water, and high-temperature chilled water circulation system. To ensure the inlet and outlet water temperature of the evaporator, an electric heater and water volume regulation are used. As shown in Figure 3(b), the experimental testing system consists of a refrigeration unit and a data acquisition device, including a DeTech 34970A data acquisition board, thermocouples, thermal resistors, water flow meters, pressure gauges, power meters, mass meters for refrigerant filling, and a DC 24V power supply.

Figure 3. Experimental principle and device diagram of refrigeration system. (a) Experimental schematic diagram of refrigeration system; (b) Experimental setup diagram of refrigeration system

The quality components of the mixed working fluid are R32/R600 (0.5:0.5) and R32/R600 (0.6:0.4), respectively. The comprehensive evaluation parameters of the dual evaporator chiller unit are shown in Eqs. (1)-(5).

${{Q}_{L}}={{c}_{p}}{{G}_{L}}\left( {{t}_{L,in}}-{{t}_{L,out}} \right)$   (1)

${{Q}_{H}}={{c}_{p}}{{G}_{H}}\left( {{t}_{H,in}}-{{t}_{H,out}} \right)$     (2)

$CO{{P}_{L}}=\frac{{{Q}_{L}}}{P}$ (3)

$CO{{P}_{H}}=\frac{{{Q}_{H}}}{P}$    (4)

$\alpha =\frac{{{Q}_{L}}}{{{Q}_{H}}}$  (5)

$C_p$ is the specific heat of water at constant pressure, in $\mathrm{kj} /\left(\mathrm{kg}{ }^{\circ} \mathrm{C}\right)$, COP the performance coefficient of the denotes the compressor power consumption, in kw, Q denotes the refrigeration capacity, in $\mathrm{kw}, \alpha$ denotes the ratio of lowtemperature cooling capacity to high-temperature cooling capacity, $H$ denotes the high temperature evaporator, $L$ denotes the low temperature evaporator, in denotes import out denotes export.

3.2 Experimental data analysis

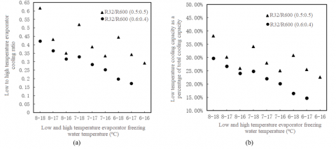
As shown in Figures 4 to 8, examples 8 to 18 in the horizontal axis indicate that the inlet and outlet water temperature of the low-temperature evaporator is 8℃/13℃, and the inlet and outlet water temperature of the high-temperature evaporator is 18℃/23℃. The experimental condition is that the inlet and outlet temperature of the cooling water is 32℃/37℃.

3.2.1 Under the same working condition, the quality components of variable mixed working fluids

As shown in Figures 4 to 8, under the same operating conditions, as the low boiling point R32 component increases, the low-temperature cooling capacity of the R32/R600 refrigeration system decreases and the high-temperature cooling capacity increases. The trend of changes in low and high temperature chilled water volume is consistent with that of refrigeration capacity. Both low temperature and high temperature COP decrease. The main reason is the increase in compressor power consumption. The exhaust temperature rises. The suction and exhaust pressures both increase and are within the allowable pressure range. But the compression ratio decreases. The cooling capacity ratio of low and high temperature evaporators decreases. The percentage of low-temperature cooling capacity to total cooling capacity decreases. The proportion of high-temperature cooling capacity to total cooling capacity has increased. The data results indicate that R32/R600 (0.5:0.5) has better performance advantages compared to R32/R600 (0.6:0.4) in dual evaporator chillers.

Figure 4. Cooling capacity. (a) Low temperature evaporator cooling capacity; (b) High temperature evaporator cooling capacity

Figure 5. Chilled water flow rate. (a) Low temperature evaporator chilled water flow rate; (b) High temperature evaporator chilled water

flow rate

Figure 6. COP. (a) Low temperature COP; (b) High temperature COP

Figure 7. Other parameter charts. (a) Compressor power; (b) Exhaust temperature; (c) Suction and exhaust pressure; (d) Compression ratio

Figure 8. Percentage of each cooling capacity. (a) Low to high temperature evaporator cooling ratio; (b) Low temperature cooling capacity as a percentage of total cooling capacity; (c) High temperature cooling capacity as a percentage of total cooling capacity

3.2.2 The inlet and outlet water temperature of the low-temperature evaporator remains unchanged, while the inlet and outlet water temperature of the high-temperature evaporator changes

As shown in Figures 4 to 8, under different operating conditions, (1) when the inlet and outlet water temperature of the low-temperature evaporator remains constant, as the inlet and outlet water temperature of the high-temperature evaporator decreases, the low-temperature refrigeration capacity of R32/R600 decreases and the high-temperature refrigeration capacity increases. The trend of changes in low and high temperature chilled water volume is consistent with that of refrigeration capacity. Low temperature COP decreases. High temperature COP increases. The power consumption of the compressor is reduced. The exhaust temperature decreases. Both suction and exhaust pressures decrease. But the compression ratio increases. The cooling capacity ratio of low and high temperature evaporators decreases. The percentage of low-temperature cooling capacity to total cooling capacity decreases. The proportion of high-temperature cooling capacity to total cooling capacity has increased. The data results indicate that the optimal operating conditions for both R32/R600 components are when the inlet and outlet water temperature of the low-temperature evaporator is 8℃/13℃ and the inlet and outlet water temperature of the high-temperature evaporator is 18℃/23℃.

3.2.3 The inlet and outlet water temperature of the high-temperature evaporator remains unchanged, while the inlet and outlet water temperature of the low-temperature evaporator changes

As shown in Figures 4 to 8, when the inlet and outlet water temperature of the high-temperature evaporator remains constant, as the inlet and outlet water temperature of the low-temperature evaporator decreases, the low-temperature refrigeration capacity of R32/R600 decreases and the high-temperature refrigeration capacity increases. The trend of changes in low and high temperature chilled water volume is consistent with that of refrigeration capacity. Low temperature COP decreases. High temperature COP increases. The power consumption of the compressor has increased. The exhaust temperature rises. Both suction and exhaust pressures decrease. But the compression ratio increases. The cooling capacity ratio of low and high temperature evaporators decreases. The percentage of low-temperature cooling capacity to total cooling capacity decreases. The proportion of high-temperature cooling capacity to total cooling capacity has increased.

4. Conclusions

The mixed working fluid R32/R600 is used in a dual evaporator chiller unit to produce low and high temperature chilled water for independent treatment of air temperature and humidity. It has a large refrigeration value, and the operating pressure of the system is moderate with low exhaust temperature. This refrigeration system has good application value, and specific conclusions are as follows:

(1) R32/R600 (0.5:0.5) has better performance compared to R32/R600 (0.6:0.4). Under the same operating conditions, R32/R600 (0.5:0.5) has higher low-temperature refrigeration capacity, lower compressor power consumption, and higher low-temperature COP and high-temperature COP.

(2) When operating under variable conditions, the optimal operating conditions for both R32/R600 components are when the inlet and outlet water temperature of the low-temperature evaporator is 8℃/13℃ and the inlet and outlet water temperature of the high-temperature evaporator is 18℃/23℃. At this point, the refrigeration system has the highest low-temperature cooling capacity, the highest low-temperature COP value, and the highest ratio of low to high temperature cooling capacity.

(3) In the mixed refrigerant R32/R600, adding CH refrigerants appropriately can improve the performance of refrigeration systems, reduce compressor power consumption, and lower exhaust temperature.

(4) The glide temperature of both components of the mixed working fluid R32/R600 is relatively high, so the amount of frozen water is also large, especially the characteristic of large frozen water in high-temperature evaporators, which has high research and utilization value.

Acknowledgment

This research was funded by the Research Fund Project of Nanjing Institute of Technology of China (Grant No.: ZKJ201901).

  References

[1] Yu, P.F., Zhang, X.S., Wen, X.T. (2018). R236fa/R32 mixed refrigerant of large glide temperature selection and experimental verification. Chemical Industry and Engineering Progress, 37(11): 4190-4196. https://doi.org/10.16085/j.issn.1000-6613.2018-0827

[2] Zhu, Y.T., Yin, Y.G. (2022). Performance of a novel climate-adaptive temperature and humidity independent control system based on zeotropic mixture R32/R236fa. Sustainable Cities and Society, 76: 103453. https://doi.org/10.1016/j.scs.2021.103453

[3] Yu, P.F., Zhang, X.S. (2018). Heat and humidity features and energy saving potential of temperature and humidity independent control air-conditioning system using refrigerant mixture, International Journal of Heat and Technology, 36(2): 752-760. https://doi.org/10.18280/ijht.360242

[4] Liu, J., Zhang, X.S. (2016). Double temperature chilled water unit based on large temperature glide zeotropic mixture. CIESC Journal, 67(4): 1186-1192. https://doi.org/10.11949/j.issn.0438-1157.20150285

[5] Chen, T., Yin, Y., Zhang, X. (2016). Applicability and energy efficiency of temperature and humidity independent control systems based on dual cooling sources. Energy and Buildings, 121: 22-31. https://doi.org/10.1016/j.enbuild.2016.04.001

[6] Al Kraim, A.M., Ataş, Ş. (2023). Experimental comparison of eco-friendly refrigerant couples R407C/R32/R600a (90/10 BY WT.%) and R407C/R32 to reveal the GWP and thermodynamic properties. Heat Transfer Research, 54(2): 73-94. https://doi.org/10.1615/HeatTransRes.2022043993

[7] Zhang, C., Yan, X., Peng, S.N., Yuan, D.W., Liu, W.X. (2022). Research on adsorption and energy storage of refrigerants R1234yf and R32 in MOF-74. Nuclear Power Engineering, 43(3): 1-6. https://doi.org/10.13832/j.jnpe.2022.03.0001

[8] Sánchez, D., Larrondo, R., Vidan-Falomir, F., Cabello, R. (2024). Experimental evaluation of the CO2-based mixtures CO2/R32, CO2/R1234yf and CO2/R1270 in a transcritical refrigerating plant considering the effect of the internal heat exchanger (IHX). Applied Thermal Engineering, 236: 121473. https://doi.org/10.1016/j.applthermaleng.2023.121473

[9] Sobieraj, M. (2021). Development of novel wet sublimation cascade refrigeration system with binary mixtures of R744/R32 and R744/R290. Applied Thermal Engineering, 196: 117336. https://doi.org/10.1016/j.applthermaleng.2021.117336

[10] Peng, S.Z., Wang, E.Q., Li, S.H., Yang, Z., Duan, Y.Y. (2023). Vapor-liquid equilibrium measurements and models for the ternary mixtures of R1234yf+R32+R125 and R1234yf+R32+CO2. International Journal of Refrigeration, 146: 225-236. https://doi.org/10.1016/j.ijrefrig.2022.11.002

[11] Kim, D., Liu, H.T., Yang, X.X., Yang, F.F., Morfitt, J., Arami-Niya, A., Ryu, M., Duan, Y.Y., May, E.F. (2021). Thermal conductivity measurements and correlations of pure R1243zf and binary mixtures of R32+R1243zf and R32+R1234yf. International Journal of Refrigeration, 131: 990-999. https://doi.org/10.1016/j.ijrefrig.2021.07.019

[12] Ye, G.R., Fang, Y.B., Zhuang, Y., Guo, Z.K., Ni, H., Wu, X.L., Han, X.H. (2021). Vapor–liquid equilibria for the binary systems difluoromethane (R32)+trans-1,1,1,4,4,4-Hexafluoro-2-butene (R1336mzz (E)) and Fluoroethane (R161)+trans-1,1,1,4,4,4-Hexafluoro-2-butene (R1336mzz (E)). Journal of Chemical & Engineering Data, 66(9): 3473-3482. https://doi.org/10.1021/acs.jced.1c00298

[13] Ganesan, P., Eikevik, T.M., Hamid, K., Wang, R.Z., Yan, H.Z. (2023). Thermodynamic analysis of cascade high-temperature heat pump using new natural zeotropic refrigerant mixtures: R744/R600 and R744/R601. International Journal of Refrigeration, 154: 215-230. https://doi.org/10.1016/j.ijrefrig.2023.05.017

[14] Chen, Q., Yu, J., Yan, G. (2016). Performance analysis of a modified zeotropic mixture (R290/R600) refrigeration cycle with internal subcooler for freezer applications. Applied Thermal Engineering, 108: 172-180. https://doi.org/10.1016/j.applthermaleng.2016.07.132

[15] Cao, Y., Dhahad, H.A., Mohamed, A.M., Anqi, A.E. (2021). Thermo-economic investigation and multi-objective optimization of a novel enhanced heat pump system with zeotropic mixture using NSGA-II. Applied Thermal Engineering, 194: 116374. https://doi.org/10.1016/j.applthermaleng.2020.116374

[16] Mondal, S., De, S. (2019). Waste heat recovery through organic flash cycle (OFC) using R245fa–R600 mixture as the working fluid. Clean Technologies and Environmental Policy, 21(8): 1575-1586. https://doi.org/10.1007/s10098-019-01724-x

[17] Bobbo, S., Fedele, L., Camporese, R., Stryjek, R. (2003). VLLE measurements and their correlation for the R32+ R600 system. Fluid Phase Equilibria, 210(1): 45-56. https://doi.org/10.1016/S0378-3812(03)00160-2

[18] Yang, L.X., Gong, M.Q., Guo, H., Dong, X.Q., Shen, J., Wu, J.F. (2016). Isothermal (vapour+ liquid) equilibrium measurements and correlation for the {n-butane (R600)+1,1,1,3,3-pentafluoropropane (R245fa)} system at temperatures from (303.150 to 373.150) K. The Journal of Chemical Thermodynamics, 95: 49-53. https://doi.org/10.1016/j.jct.2015.11.021

[19] Dong, X.Q., Zhao, Y.X., Gong, M.Q., Hao, G., Wu, J.F. (2015). (Vapour+liquid+liquid) equilibrium measurements and correlation for the {1,1,1,2-tetrafluoroethane (R134a)+n-butane (R600)} system. The Journal of Chemical Thermodynamics, 84: 87-92. https://doi.org/10.1016/j.jct.2014.12.030

[20] Sruthi Emani, M., Kumar Mandal, B. (2018). The use of natural refrigerants in refrigeration and air conditioning systems: A review. In IOP Conference Series: Materials Science and Engineering, 377: 012064. https://doi.org/10.1088/1757-899X/377/1/012064

[21] Rossi, M., Favi, C., Germani, M., Omicioli, M. (2021). Comparative life cycle assessment of refrigeration systems for food cooling: eco-design actions towards machines with natural refrigerants. International Journal of Sustainable Engineering, 14(6): 1623-1646. https://doi.org/10.1080/19397038.2021.1970274

[22] Harby, K. (2017). Hydrocarbons and their mixtures as alternatives to environmental unfriendly halogenated refrigerants: An updated overview. Renewable and Sustainable Energy Reviews, 73: 1247-1264. https://doi.org/10.1016/j.rser.2017.02.039

[23] Abas, N., Kalair, A.R., Khan, N., Haider, A., Saleem, Z., Saleem, M.S. (2018). Natural and synthetic refrigerants, global warming: A review. Renewable and Sustainable Energy Reviews, 90: 557-569. https://doi.org/10.1016/j.rser.2018.03.099

[24] Shaik, S.V., Babu, T.A. (2017). Thermodynamic performance analysis of eco friendly refrigerant mixtures to replace R22 used in air conditioning applications. Energy Procedia, 109: 56-63. https://doi.org/10.1016/j.egypro.2017.03.049

[25] Gong, M.Q., Wu, J.F., Luo, E.C. (2014). Principle and Application of Throttling Refrigeration for Deep Cryogenic Mixtures. Beijing: China Science and Technology Press, China, pp. 28-46.

[26] Lemmon, E.W., Huber, M.L., McLinden, M.O. (2003). Reference Fluid Thermodynamic and Transport Properties (REFPROP), NIST Standard Reference Database 23, Version 7.1. National Institute of Standards and Technology: Boulder, CO.