Development and Evaluation of a Batch–Reactor for Catalytic Depolymerization of Polymeric Waste for Liquid and Gaseous Fuel Production

Development and Evaluation of a Batch–Reactor for Catalytic Depolymerization of Polymeric Waste for Liquid and Gaseous Fuel Production

Oluwasina L. Rominiyi Mutalubi A. Akintunde Emmanuel I. Bello Labunmi Lajide Omolayo M. Ikumapayi*

Department of Mechanical and Mechatronics Engineering, Afe Babalola University, Ado-Ekiti 360101, Nigeria

Department of Mechanical Engineering, Federal University of Technology Akure, Gaga 340110, Nigeria

Department of Chemistry, Federal University of Technology Akure, Gaga 340110, Nigeria

Corresponding Author Email: 
ikumapayi.omolayo@abuad.edu.ng
Page: 
1596-1604
|
DOI: 
https://doi.org/10.18280/ijht.410622
Received: 
12 April 2023
|
Revised: 
10 June 2023
|
Accepted: 
20 July 2023
|
Available online: 
31 December 2023
| Citation

© 2023 IIETA. This article is published by IIETA and is licensed under the CC BY 4.0 license (http://creativecommons.org/licenses/by/4.0/).

OPEN ACCESS

Abstract: 

It is postulated that waste, if managed effectively, can transform from a liability to a resource. Among various waste management techniques, such as incineration, composting, recycling, and re-use, depolymerization of municipal plastic waste demonstrated superior environmental performance by circumventing the release of harmful gases and facilitating wealth creation. A batch reactor, designed to operate at an internal pressure of 51.34 bar, a maximum temperature of 500℃, and with a reactor thickness of 6 mm, was fabricated using locally available materials. Safeguards were incorporated by ring reinforcing the reactor to prevent burst incidents due to thermal expansion. Further, a sensor was integrated to stabilize the temperature, thereby enabling optimal function at a preset temperature. A shell-in-tube heat exchanger and a sub-cooler, with Log Mean Temperature Differences (LMTDs) of 280.15℃ and 174.53℃ respectively, were designed and constructed. The system's performance was evaluated by introducing approximately 2 kg of raw, washed, sun-dried, Polyethylene Terephthalate (PET) samples, and combusted in the energy conversion system for three and a half hours under a nitrogen atmosphere. For each run, 10 g of either calcium oxide (CaO) or activated carbon (AC) catalysts were added to the feedstock. Measurements of the temperature, pressure, and flow rate of the pyrolyzed product from the reactor were taken and recorded. The retention times for the depolymerization of catalyzed PET with activated carbon and calcium oxide were observed to be 38 and 45 minutes, respectively. The maximum flow rates of the vaporized product from the reactor were measured at 0.1985L/min and 0.1768L/min, at temperatures of 171℃ and 182℃, and pressures of 37.6 kPa and 36.8kPa, respectively. Fuel conversion efficiencies of 49.2%, 66.6%, and 80.0% were recorded for uncatalyzed PET, CaO catalyzed PET, and activated carbon catalyzed PET, respectively, corroborating previous research but at temperatures below 400℃.

Keywords: 

activated carbon, batch reactor, depolymerization, energy conversion, polymeric waste, catalytic depolymerization, Polyethylene Terephthalate (PET)

1. Introduction

The behavior of fluids under various conditions of temperature and pressure are studied in batch reactors. This system consists of a tank with an agitator and integral heating/ cooling system. Baggio et al. [1] and Martínez et al. [2] asserted that waste can be a liability if not properly managed and an asset: a source of wealth to the region where it is being generated if effectively managed. Socio –economic prosperity of the country and the region is a function of the rate of waste generation and a means of measuring the development of the nation. Although there are existing waste management practices such as incineration, composting, open burning, recycling and re-use. Depolymerization is an effective management technique due to its economic advantage and environmentally friendly attributes.

Aboulkas et al. [3] investigated the thermal degradation behaviour of plastics. The activation energy and the reaction model of the pyrolysis of polyethylene (PE) and polypropylene (PP) have been estimated for non-isothermal kinetic results. Miskolczi and Nagy [4] found out that several reactor systems have been developed and used such as batch/semi batch, fixed bed, fluidized bed, spouted bed, microwave. Hussain et al. [5] stated that screw kiln Batch or semi-batch reactors have been used by many researchers because of their simplicity in design and easy operation.

The oil produced can be used in a pressurized cooking stove while the gaseous product can be used either as a heating source for the reactors or cooking gas stove application. The residue which is the solid products is a good source of fuel which can be used for co-firing with coal and biomass and can be utilized as a means of heat for several applications [6].

Depolymerization is a replica of natural geological processes thought to be involved in the production of fossils fuels. Under pressure and heat, long chain polymers of hydrogen, oxygen and carbon decompose into short-chain petroleum hydrocarbons with a maximum length of around 18 carbons.

The depolymerization process for fuel production from organic material takes two forms, thermal and catalytic [6]. Aboulkas et al. [3] research show that the temperature range during the operation of a biomass fed reactor can be as low as 195℃.

Trevor [7] considered the historical aspects of plastic and plastic wastes overdependence on the polymeric materials and stressed the environmental challenges associated with the use of plastics and its disposal. Sharuddin et al. [8] asserted that high temperature enhances the chemical bond breaking and that the optimum temperature for plastic pyrolysis varies from each type of plastics. PET (350℃-520℃), LDPE (360℃-550℃), HDPE (378℃-539℃). Abnisa et al. [9] suggested higher temperature more than 500℃ if the preference is gaseous or char and lower temperature range of 300℃-500℃ if the liquid is needed. The right reactor selection is a good consideration towards increasing the efficiency of the reactor and product determination [10, 11]. Anuar Sharuddin et al. [12] found out that the type of the intended product depends solely on the operating temperature. Rominiyi [13] quantify the calorific value of Municipal Solid Waste (MSW) in Ado-Ekiti and found out that polymeric waste is of highest both in quantity and in calorific value.

There are several factors that influence liquid oil production in pyrolysis. These parameters are: temperature, type of reactors, pressure, residence time, type and rate of fluidizing gas, and catalyst selection. In thermal degradation of plastics, temperature is one of the most significant operating parameters in pyrolysis since it controls the cracking reaction of the polymer chain. Different plastics have different degradation temperature depending on the chemical structure. The thermal degradation of some common plastics such as PET, HDPE, LDPE, PP and PS started at 350℃ except for PVC [14]. The degradation temperature of PVC began at lower temperature of 220℃ [8].

If gaseous or char product was preferred, higher temperature more than 500℃ was suggested [14] and if liquid was preferred instead, lower temperature in the range of 300-500℃ was recommended and this condition is applicable for all plastics [9, 12].

Most plastic pyrolysis in the laboratory scale were performed in batch, semi-batch or continuous-flow reactors such as fluidized bed, fixed-bed reactor and conical spouted bed reactor (CSBR). Each reactor may have its own advantages and disadvantages depending on the application [15]. Batch or semi-batch reactors were likely used in thermal pyrolysis since the parameters could be easily controlled [11]. The cooler is used to condense the vapour produced by the reactor [15]. However, the operating condition affects the liquid fuel yield and its characteristics; hence the reactor should be properly designed. Thahir et al. [16], applied a bubble cup distillation column integrated with the pyrolysis reactor to maximize liquid fuel yield but consequently, installing a vacuum system will give additional technical complexity and increase the overall cost of the system.

Rominiyi et al. [17] fabricated a low cost gasifier for the production of liquid fuel from Spondias mombin (Plum seed) but the palm kernel shell used as a source heat needed to be continuously supplied during the process also the introduction of blower increase the cost of the system.

An efficient, low cost batch reactor which was fabricated using a locally available materials and operates at a temperature below 400℃ was developed. Activated carbon (AC) and Calcium oxide (CaO) were utilized to enable the reactions to proceed at a relatively lower temperature than the previous researchers and thus reduce the cost of production by economized the energy.

The primary goals of this current research are to:

The behavior of fluids under various conditions of temperature and pressure are studied in batch reactors. This system consists of a tank with an agitator and integral heating/ cooling system. Baggio et al. [1] and Martínez et al. [2] asserted that waste can be a liability if not properly managed and an asset: a source of wealth to the region where it is being generated if effectively managed. Socio –economic prosperity of the country and the region is a function of the rate of waste generation and a means of measuring the development of the nation. Although there are existing waste management practices such as incineration, composting, open burning, recycling and re-use. Depolymerization is an effective management technique due to its economic advantage and environmentally friendly attributes.

Aboulkas et al. [3] investigated the thermal degradation behaviour of plastics. The activation energy and the reaction model of the pyrolysis of polyethylene (PE) and polypropylene (PP) have been estimated for non-isothermal kinetic results. Miskolczi and Nagy [4] found out that several reactor systems have been developed and used such as batch/semi batch, fixed bed, fluidized bed, spouted bed, microwave. Hussain et al. [5] stated that screw kiln Batch or semi-batch reactors have been used by many researchers because of their simplicity in design and easy operation.

The oil produced can be used in a pressurized cooking stove while the gaseous product can be used either as a heating source for the reactors or cooking gas stove application. The residue which is the solid products is a good source of fuel which can be used for co-firing with coal and biomass and can be utilized as a means of heat for several applications [6].

Depolymerization is a replica of natural geological processes thought to be involved in the production of fossils fuels. Under pressure and heat, long chain polymers of hydrogen, oxygen and carbon decompose into short-chain petroleum hydrocarbons with a maximum length of around 18 carbons.

The depolymerization process for fuel production from organic material takes two forms, thermal and catalytic [6]. Aboulkas et al. [3] research show that the temperature range during the operation of a biomass fed reactor can be as low as 195℃.

Trevor [7] considered the historical aspects of plastic and plastic wastes overdependence on the polymeric materials and stressed the environmental challenges associated with the use of plastics and its disposal. Sharuddin et al. [8] asserted that high temperature enhances the chemical bond breaking and that the optimum temperature for plastic pyrolysis varies from each type of plastics. PET (350℃-520℃), LDPE (360℃-550℃), HDPE (378℃-539℃). Abnisa et al. [9] suggested higher temperature more than 500℃ if the preference is gaseous or char and lower temperature range of 300℃-500℃ if the liquid is needed. The right reactor selection is a good consideration towards increasing the efficiency of the reactor and product determination [10, 11]. Anuar Sharuddin et al. [12] found out that the type of the intended product depends solely on the operating temperature. Rominiyi [13] quantify the calorific value of Municipal Solid Waste (MSW) in Ado-Ekiti and found out that polymeric waste is of highest both in quantity and in calorific value.

There are several factors that influence liquid oil production in pyrolysis. These parameters are: temperature, type of reactors, pressure, residence time, type and rate of fluidizing gas, and catalyst selection. In thermal degradation of plastics, temperature is one of the most significant operating parameters in pyrolysis since it controls the cracking reaction of the polymer chain. Different plastics have different degradation temperature depending on the chemical structure. The thermal degradation of some common plastics such as PET, HDPE, LDPE, PP and PS started at 350℃ except for PVC [14]. The degradation temperature of PVC began at lower temperature of 220℃ [8].

If gaseous or char product was preferred, higher temperature more than 500℃ was suggested [14] and if liquid was preferred instead, lower temperature in the range of 300-500℃ was recommended and this condition is applicable for all plastics [9, 12].

Most plastic pyrolysis in the laboratory scale were performed in batch, semi-batch or continuous-flow reactors such as fluidized bed, fixed-bed reactor and conical spouted bed reactor (CSBR). Each reactor may have its own advantages and disadvantages depending on the application [15]. Batch or semi-batch reactors were likely used in thermal pyrolysis since the parameters could be easily controlled [11]. The cooler is used to condense the vapour produced by the reactor [15]. However, the operating condition affects the liquid fuel yield and its characteristics; hence the reactor should be properly designed. Thahir et al. [16], applied a bubble cup distillation column integrated with the pyrolysis reactor to maximize liquid fuel yield but consequently, installing a vacuum system will give additional technical complexity and increase the overall cost of the system.

Rominiyi et al. [17] fabricated a low cost gasifier for the production of liquid fuel from Spondias mombin (Plum seed) but the palm kernel shell used as a source heat needed to be continuously supplied during the process also the introduction of blower increase the cost of the system.

An efficient, low cost batch reactor which was fabricated using a locally available materials and operates at a temperature below 400℃ was developed. Activated carbon (AC) and Calcium oxide (CaO) were utilized to enable the reactions to proceed at a relatively lower temperature than the previous researchers and thus reduce the cost of production by economized the energy.

The primary goals of this current research are to:

(i) provide an effective and environmentally means of management of the most difficult component of municipal solid waste composition and wealth creation from waste.

(ii) develop a prototype batch reactor system which will be very useful in the energy and thermofluid laboratory in the tertiary institutions.

This paper is as organized as follows: Section 1 is the background of the study, Section 2 describes the methodology, Section 3 presents the results and discussions while Section 4 is the conclusions and recommendations for future research.

2. Materials and methods

The design and construction of the batch reactor involves design consideration, design calculations, design drawings, material selection and fabrication. The following criteria/assumptions were considered in the course of developing and evaluating the performance of the pyrolytic batch reactor according to Physical Chemistry Reference Data [18-24]. Polypropylene plastic when pyrolysed yields 2.5% Ethane (C2H6); 21.67% Propane (C3H8), and 75.82% Propene (C3H6).

2.1 Design considerations

  1. Polypropylene plastic when pyrolyzed yields 2.5% Ethane (C2H6); 21.67% Propane (C3H8) and 75.82% Propene (C3H6);
  2. Temperatures of cooling water at inlet (TC1) and outlet (TC2) were assumed to be 25℃ and 45℃ based on the standard respectively [25];
  3. Flow velocities of water at the suction and discharge links of the pump ranges 0.3-1.5 m/s and 1.0-3.0 m/s respectively;
  4. Temperatures of fractions of (C2H6, C3H8, and C3H6) are: -89℃, -42.25℃ and -47.6℃ but -89℃ being the least value is adopted because of variation in the components of the feedstock and to enable rapid condensation to take place so as to increase the efficiency of the system;
  5. Density and thermal conductivity of stainless materials are 7850 kg/m3 and 45 W/mK respectively;
  6. Design pressure and temperature of the reactor are: 51.34 MPa; 500℃; Based on the thickness of the reactor and the maximum attainable temperature when in operation as computed in Eq. (12);
  7. Specific gas constant for air (Ra) is 0.287 kJ/kg.K;
  8. Universal gas constant for all gases if R=8.341 kJ/kg.K;
  9. Barometric and internal pressures are 760 mmHg and 51.34 bar;
  10. Velocity of flow of the product of pyrolysis from the reactor range from 15-30 m/s; but 15m/s was adopted in the design;
  11. Efficiency of the water pump range from 50-70%, but 50% adopted from the standard according to Chatopadhyay and Veser [19]; so as to enable it to function optimally;
  12. Crystalline melting temperature ranges from 160℃-208℃;
  13. Average crystalline melting temperature of the feedstock (HDPE, PET, LDPE) is 184℃;
  14. Melt energy is 238 kJ/kg;
  15. Specific gravity of the feedstock is 0.905;
  16. Thermal conductivity (k) of mild steel is 0.45 W/m.K;
  17. Coefficient of thermal expansion of mild steel “$\propto$” is 10×10-6 m/m/K;
  18. Reactor gas product/exit temperature tre is 450℃; Velocity at suction vs is 0.3-1.5m/s the average value of 0.9 m/s was adopted;
  19. Discharge height of the pump is 2.5 m above suction.

Table 1. Design governing equations

No.

Parameters

Governing Equations

Calculated Values

Adopted Values

1

Estimation of heating element power rating

$Q_m=m_f C_p \Delta T$ (1)

Qm=608.3 kJ

608.3 kJ

2

Heat required to phase change from solid to liquid (Heat of fusion)

$Q_f=m_f \lambda$  (2)

Qf=408 kJ

408 kJ

3

At the pyrolytic temperature of 500℃, the heat capacity CP is

$\begin{gathered}C_{p(\mathrm{~T})}=\left(C_{p_o}+\right. \\ \Delta C)\left(0.641 .2 \times 10^{-3} \mathrm{~T}\right) \approx \frac{3}{4} C p_o(1 \\ \left.+1.6 \times 10^{-3} T\right)\end{gathered}$ (3)

3.22938 kJ/kg K

3.22938 kJ/kg K

4

Heat required to char the sample Qf

$Q_{c h}=m_f \lambda_c$ (4)

Qch=91,600 kJ

 

5

The heat required for vapourizing the polymeric waste "QV"

$\begin{gathered}Q_v=m_f C_{p(T)} \Delta T=m_f C_{p(T)}\left(T_p-\right. \\ \left.T_m\right)\end{gathered}$ (5)

QV=2047.43 kJ

2047.43 kJ

6

Heat required to gasifying the feedstock (Qg)

$Q_g=m_f \lambda_g$ (6)

Qg=3,800 kJ

3,800 kJ

7

If no gasification, the required size of heating element (QH)

$Q_H=Q_m+Q_f+Q_v$ (7)

QH=3073.73 kJ

3073.73 kJ

8

The actual power rating of the heating element can be estimated with equation

1.34($\frac{P_p}{\varphi_e \varphi_h}$) hp  (8)

1.589589 hp

(1.1858 kW)

20.115 hp (15 kW)

In the market

9

The volume of the feedstock (Vf)

$V_f=\frac{m_f}{\rho_f}$ (9)

Vf=0.0021053 m3

0021053 m3

10

The actual volume of trough (reactor chamber) at $\varphi$% (50%) trough loading factor is given by equation

$v_{t a}=\frac{v_f}{\varphi}$ (10)

vta=0.0042106 m3

0.0042106 m3

11

Through ranking, the volume of the reactor

$v_r=\frac{\pi d^2}{4} \cdot h_r$ (11)

0.0217175 m3

0.0217175 m3

12

Estimation of the thickness (tR) of the reactor’s wall

$t_R=\frac{P_i \cdot r_i}{\sigma_d \cdot E-0.6 P_i}+c_A$ (12)

tR=6 mm

6 mm

13

Design tensile stress

$\sigma_d=\frac{\sigma_{U T}}{f_s}$ (13)

σd=200 MPa

200 MPa

14

Circumferential hoop stress of reactor

$\sigma_{t 1}=\frac{p d}{2 t}$ (14)

σt1=102.68 MPa

102.68 MPa

15

Longitudinal stress of the reactor

$\sigma_{t 2}=\frac{\sigma_{t l}}{2}$ (15)

σt2=51.34 MPa

51.34 MPa

16

Maximum shear stress of the batch reactor

$\tau_{\max }=\frac{\sigma_{t 1}-\sigma_2}{2}$ (16)

$\tau_{\max }$=25.67 MPa

25.67 MPa

17

Estimation of interface temperature

$T_3=T_2-\frac{Q}{2 \pi h_{h f} r_2 L}$ (17)

T3=375.05℃

375.05℃

18

The sensible heat absorbed by water from condenser inlet temp tc1(℃) to exit temperature tc2(℃) in the first condenser

$Q_{s c}=m_w c_{p w}\left(t_{c 2}-t_{c 1}\right)$ (18)

Qsc=2.2577 kJ/s

2.2577 kJ/s

19

Heat rejected by the condensate at de-superheating (Qds) stage

$Q_{d s}=m_c l_c$ (19)

Qds=31.6806 kJ/s

31.6806 kJ/s

20

Logarithmic mean temperature different

$\operatorname{LMTD}$ or $\left(\Delta t_m\right)=\frac{t_i-t_e}{\ln \left[\frac{t_i}{t_e}\right]}$ (20)

Condenser 280.15℃ Subcooler 174.53℃

Condenser 280.15℃

Subcooler 174.53℃

21

The temperature at the condenser outlet

$\grave{\boldsymbol{\theta}_{\boldsymbol{p} \boldsymbol{c}}}=\grave{t}_{p a}-\frac{Q}{m_p .\grave{C}_{p m}}$ (21)

$\grave{\theta_{p c}}$=490.2886353℃

490.2886353℃

22

Heat rejected by the condenser as it sub-cools

$H_{r e j}=m_f\left[h_{f g}+c_{p m}\left(t_s-\grave{t}_s\right)\right]$ (22)

Hrej=2.918403091 kJ/s

2.918403091 kJ/s

23

Heat absorbed by the ice block from freezing temperature of -5℃ (t1b) to tw 40℃ to cause phase change from gas to liquid fuel

$H_{a b s}=m_{i b}\left[l_{f i}+c_{p i}\left(t_w-t_{1 b}\right)\right]$ (23)

Habs=3.6791kJ/kg

3.6791kJ/kg

24

Total mass of water required to be pumped Mw

$M_w=m_w+m_{i b}$ (24)

Mw=175.67 kg/h

175.67 kg/h

25

Pipe inside diameter

$d_1=\sqrt{\frac{Q}{900 V_m \pi}}(\mathrm{m})$ (25)

d1=8.727 mm

Pipe of inside diameter

26

Fuel Conversion Efficiency of the Batch Reactor $\phi$

$\phi=\left(\frac{\sum l_f}{\sum f s}+\frac{\sum g_f}{\sum f s}+\frac{\sum s_f}{\sum f s}\right) \times \frac{100}{1}$ (26)

49.2% Uncatalyzed PET 66.6% CaO Catalyzed PET 80.0% Activated Carbon Catalyzed PET

49.2% - 80.0%

2.2 Design calculations

The governing equations in Table 1 were used to compute the values of dimensions, parameters and variables for the construction of the batch reactor. Figures 1-5 represent various design drawing obtained from using Table 1.

Figure 1 is a pictorial drawing of the batch reactor; Figure 2 is a pressure flow diagram in the batch-reactor system. Figure 3 represents 2D Auto CAD design of batch reactor system. Figure 4 is the isometric view of the batch reactor for depolymerization process while Figure 5 is the exploded view of a batch reactor assembly.

Figure 1. Pictorial drawing of the batch reactor

Keys: (1) Nitrogen tank. (2) Control Valve (3) Electrically Fired Reactor (4) Piping flanges. (5) Check (Non Return Valve). (6) Gate valve (welded). (7) Vent or drain with blind (8) Flow meter. (9) Surface condenser (1st stage of condensation (10)) Sub Cooler (2nd Stage of condensation) (11) Insulated pipe. (12) Decanter (13) Heavy Fraction Tank (Liquid) (14) Light fraction tank (Gas). (15) Non-Return valve (16) Pressure Gauge (17) Digital Thermometer. (Temperature Indicator) (18) Water pump (19) Warm / Hot water lines. (20) Cold water lines (21) Water storage tank.

Figure 2. Pressure flow diagram in the batch-reactor system

Figure 3. 2D Auto CAD design of batch reactor system set up

Figure 4. Isometric view of the batch reactor set up for depolymerization process

Figure 5. Exploded view of a batch reactor assembly

Table 2. Materials segregated in the reactor

HDPE (High Density Polyethylene)

LDPE (Low Density Polyethylene)

PET (Polyethylene Therephthalate)

PP (Polypropylene)

PS (Polystyrene)

Garbage containers, toilet buckets, kegs

Low grade plastic bags, Nylons, water sachets

Plastic bottles

Waste plastic containers

Disposable cutlery, take away packs and cups

Figure 6 is the main reactor burning chamber that was ringed to prevent bursting in case of thermal expansion during the depolymerization process while Figure 7 is the fabricated batch reactor assembly for catalytic depolymerization of the polymeric waste to liquid and gaseous fuel. Table 2 shows the various composition of common polymeric waste samples and their composition.

Figure 6. The pictorial view of ringed reactor for safety

Figure 7. The fabricated batch reactor assembly

2.3 Experimental procedures of depolymerization process for liquid and gaseous fuel production

  1. The reactor was linked with the condenser via a galvanized pipe and its outlet was also connected to the sub-cooler loaded with ice. The pump supplied cold water at an interval of 5 minutes from the 1st reservoir and run through the shell and tube condenser which removed heat from the depolymerized plastic vapour coming out from the reactor outlet. A return valve admitted the hot fluid into the cold water in the 2nd reservoir and brought down the water temperature and releases the water to the 1st reservoir to ensure a continuous circulation throughout the process. Further cooling is taking place at the sub–cooler which brought down the temperature below saturated temperature to aid liquefaction process as set up as in plate 2.
  2. The polymeric waste samples were fed into the reactor by loading about 2 kg of already sundried, shredded waste sample through the hopper.
  3. The reactor was flushed with nitrogen gas at a pressure of 490 Kpa for 20 seconds which acts as a gas carrier and ensure the process is taking place in an inert atmosphere.
  4. It was fired with tungsten heating element of 15 kW capacities for $3 \frac{1}{2}$ hours with the switch button of the system in an on position.
  5. The batch reactor outlet was connected to a condenser and also linked with the sub-cooler to improve the efficiency of the condensation process.
  6. The temperature was measured with K type thermocouple controlled by the thermal sensor.
  7. Similarly the retention time as well as the mass of the liquid fuel, gaseous fuel and bio-char produced was measured.
3. Results and Discussion

3.1 PET depolymerized without catalyst

It was observed in Figure 8 that at the temperature of 140℃ there was a noticeable flow of the vapourized product from the reactor with a flow rate of 0.1317 L/mins and a pressure of 26.1 kPa within the 50 minutes of firing the reactor. The maximum flow rate of the gaseous product in the energy conversion system was observed to be 0.1790 L/mins after 90 minutes of starting up with the pressure of 35.4 kPa and a temperature of 170℃. Retention time which is the time required for the first drop of oil to be observed during the depolymerization process was observed to be 97 minutes. The progress of the polymeric cracking was disrupted due to clogging of pipe.

Figure 8. Variation of flow parameters with time in batch reactor assembly during depolymerization of PET without catalyst

Figure 9. Product obtained during depolymerization of PET without catalyst

It was also shown in Figure 9 that gaseous fuel, liquid fuel and residue produced are: (346g) 17.3%, (20g) 1% and (588g) 29.4% respectively while the unaccountable loss is (1046g) 52.3%. The maximum temperature within the 210 minutes of firing the system is 270℃ at a pressure and flow rate of 35.8 kPa and 0.1368 L/min.

3.2 PET and calcium oxide catalysed depolymerization process

Figure 10 is the results of the observations of batch reactor system when calcium oxide (CaO) was used as catalyst with polyethylene terephthalate (PET) (polymeric waste) substrate. The retention time for this process was recorded as 45 minutes.

There was a steady rise in temperature inside the reactor from the ambient condition from 30℃ to 21℃ which is higher than the melting point of polyethylene therephthalate during 210 minutes ($3 \frac{1}{2}$ hours) of firing. The maximum flow rate of the vapourized polymeric waste and pressure was obtained as 36.7 kPa and 0.1768 L/mins respectively at the temperature of 179℃ within 2 hours of firing the reactor. It was also shown that there was no flow within the next 35 minutes of the firing but at a pressure of 29.3 kPa and temperature of 130℃ there is appreciable flow of 0.1301 L/min of the vapourized product from the reactor.

Figure 10. Variation of flow parameters with time in batch reactor assembly during depolymerization of PET with calcium oxide as catalyst

Similarly, it was observed in the bar chart presented in Figure 11 also that, there was a clogging (yellowish thick fluid) that solidified along the tube which prevented the reasonable mass of liquid fuel production 60g (3%) during the depolymerization process. The mass of gaseous fuel produced is 445g (22.25%) while 827g (44.35%) was the residue obtained and the unaccountable loss is 668g (33.4%), 60 g (3%) of liquid fuel was produced.

Figure 11. Product obtained from depolymerization of PET with calcium oxide as catalyst

3.3 Depolymerized PET and activated carbon in the batch reactor system

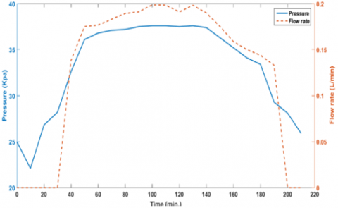
The retention time when the activated carbon was used is 38 minutes while the maximum flow rate of the depolymerized product coming out from the batch reactor system was 0.1987 L/mins at a pressure of 37.6 kPa and 170℃ within 100 minutes of heating the polymeric waste in the system.

Figure 12. Variation of flow parameters with time in batch reactor assembly during depolymerization of PET with activated carbon as catalyst

Figure 13. Product obtained from depolymerization of PET with activated carbon

Figure 14. Retention time of PET during depolymerization process in batch reactor system

Although there is a time lag of 30 minutes for the wastes to acquire enough heat energy for the pressure of 26.8 kPa to build up in the system before there is appreciable flow of the vapourized product at 0.1382 L/mins during the process as indicated in Figure 12. It was observed from Figure 13 that out of the 2000g of the feedstock fed into the reactor 600 g (30%) was converted to gaseous fuel, 40 g (2%) liquid fuel, the residual bio char was 960 g (48%) while the unaccountable loss in the product during the process was 400 g (20%). Figure 14 indicated that uncatalyzed depolymerized PET has the highest retention time of 97 mins while the least of 38 mins. was obtained when PET was catalyzed with calcium oxide.

The fuel conversion efficiency is given by:

$\phi=\left(\frac{\sum l_f}{\sum f_s}+\frac{\sum g_f}{\sum f_s}+\frac{\sum s_f}{\sum f_s}\right) \times \frac{100}{1}$      (27)

where, $\sum l_f$ is the mass of the liquid fuel produced on the reactor during the depolymerization process.

$\sum g_f$ is the mass of the gaseous fuel produced on the reactor during the depolymerization process.

$\sum s_f$ is the mass of the solid fuel (Bio-char) produced on the reactor during depolymerization process.

$\sum f_s$ is the mass of the feedstock fed to the reactor during depolymerization $p$ rocess.

$\phi=49.2 \%$ for uncatalyzed PET.

$\phi=66.6 \%$ for Pet catalyzed with calcium oxide.

$\phi=80 \%$ for PET catalyzed with activated carbon.

4. Conclusions

Locally available materials are used for the development of a batch reactor whose its fuel conversion efficiency ranged from 49.2% – 80% for the catalytic depolymerization of Polyethylene therephthalate (PET) which is higher than the mean efficiency obtained by the previous researchers.

The effects of the two choosing catalysts activated carbon and calcium oxide on this process in the batch reactor designed and fabricated showed that there was an increase in the rate of depolymerization process at a temperature immediately above the melting point of the polymeric wastes and it proceed faster than that of un-catalyzed depolymerization process.

The temperature inside the reactor during the process increases as the time increases and the pressure also increases steadily till when the whole polymeric waste melted and causes a decrease in the pressure consequently the flow rate decreases as there was a fall in the pressure inside the reactor.

The findings established that more gaseous fuel was produced in the reactor when activated carbon was used as a catalyst with PET polymeric. There was highest retention time for un-catalyzed depolymerization process of PET polymeric waste.

Very small quantity of liquid fuel produced from Polyethylene therephthalate (PET) was attributed to the clogging of pipe by the yellowish jellylike matter coming out with the vapourized product during the process and often made it more difficult for it to be used as a feedstock for liquid fuel production but good for gaseous fuel.

The fuel conversion efficiency for PET uncatalyzed, PET catalyzed with CaO and PET catalyzed with activated carbon in the reactor are 49.2%, 66.6% and 80.0% respectively.  

The material energy recovery is feasible through waste to energy by using depolymerization process.

Acknowledgment

The authors are grateful for the support received from Aare Afe Babalola, the founder of Afe Babalola University, Ado – Ekiti for funding the publication of this research and all the Technologists and Technocians at Olusegun Obasanjo Center for Innovation and Enterpreneural Development, Federal Polytechnic Ado – Ekiti, Ekiti State, Nigeria for making use of their workshops to fabricate the reactor. The authors would like to express their gratitude to the anonymous reviewers for their insightful remarks and ideas for improving the quality of the paper.

  References

[1] Baggio, P., Baratieri, M., Gasparella, A., Longo, G.A. (2008). Energy and environmental analysis of an innovative system based on municipal solid waste (MSW) pyrolysis and combined cycle. Applied Thermal Engineering, 28(2-3): 136-144. https://doi.org/10.1016/j.applthermaleng.2007.03.028

[2] Martínez, J.D., Murillo, R., García, T., Arauzo, I. (2014). Thermodynamic analysis for syngas production from volatiles released in waste tire pyrolysis. Energy Conversion and Management, 81: 338-353. https://doi.org/10.1016/j.enconman.2014.02.031

[3] Aboulkas, A., Harfi, K.E., Bouadili, A.E. (2010). Thermal degradation behaviors of polyethylene and polypropylene. Part I: Pyrolysis kinetics and mechanisms. Energy Conversion and Management, 51: 1363-1369. https://doi.org/10.1016/j.enconman.2009.12.017

[4] Miskolczi, N., Nagy, R. (2012). Hydrocarbons obtained by waste plastic pyrolysis: Comparative analysis of decomposition described by different kinetic models. Fuel Processing Technology, 104: 96-104. https://doi.org/10.1016/j.fuproc.2012.04.031

[5] Hussain, Z., Khan, K.M., Perveen, S., Hussain, K., Voelter, W. (2012). The conversion of waste polystyrene into useful hydrocarbons by microwave-metal interaction pyrolysis. Fuel Processing Technology, 94(1): 145-150. https://doi.org/10.1016/j.fuproc.2011.10.009

[6] Wang, J.L., Wang, L.L. (2011). Catalytic pyrolysis of municipal plastic waste to fuel with nickel-loaded silica-alumina catalysts. Energy Sources, Part A: Recovery, Utilization, and Environmental Effects, 33(21): 1940-1948. https://doi.org/10.1080/15567030903436814

[7] Trevor, M. (2019). Interview Conducted by Virginia Nicherson. Library of Congress Dublin. 

[8] Sharuddin, S.D.A., Abnisa, F., Daud, W.M.A.W., Aroua, M.K. (2018). Pyrolysis of plastic waste for liquid fuel production as prospective energy resource. In IOP Conference Series: Materials Science and Engineering. IOP Publishing, 334: 012001. https://doi.org/10.1088/1757899X/334/1/012001

[9] Abnisa, F., Sharuddin, S.D.A., Daud, W.M.A.W. (2017). Optimizing the use of biomass waste through co-pyrolysis. INFORM, 28(2): 16-19. https://doi.org/10.21748/inform.02.2017.16

[10] Okokpujie, I.P., Okokpujie, K., Omidiora, O., Oyewole, H.O., Ikumapayi, O.M., Emuowhochere, T.O. (2022). Benchmarking and multi-criteria decision analysis towards developing a sustainable policy of just in time production of biogas in Nigeria. International Journal of Sustainable Development & Planning, 17(2): 433-440. https://doi.org/10.18280/ijsdp.170208

[11] Aziz, M.A., Al-Khulaidi, R.A., Rashid, M.M., Islam, M.R., Rashid, M.A.N. (2017). Design and fabrication of a fixed-bed batch type pyrolysis reactor for pilot scale pyrolytic oil production in Bangladesh. In IOP Conference Series: Materials Science and Engineering. IOP Publishing, 184(1):012056. 

[12] Anuar Sharuddin, S.D., Abnisa, F., Daud, W.M.A.W., Aroua, M.K. (2016). A review on pyrolysis of plastic wastes. Energy Conversion and Management, 115: 308-326. https://doi.org/10.1016/j.enconman.2016.02.03

[13] Rominiyi, O.L. (2015). Evaluation of energy content of municipal solid waste in Ado-Ekiti Metropolis, Ekiti State, M. Eng Research Thesis, Department of Mechanical Engineering, Federal University of Technology Akure, Ondo State, Nigeria.

[14] Panda, A.K., Singha, R.K., Mishra., D.K. (2010). Thermolysis of waste plastics to liquid fuel: A suitable method for plastic waste management and prospective. Renewable and Sustainable Energy Reviews, 14(1): 233-248. https://doi.org/10.1016/j.rser.2009.07.005

[15] Sunday, A.A., Omolayo, M.I., Samuel, A.U., Samuel, O.O., Abdulkareem, A., Moses, E.E., Olamma, U.I. (2021). The role of production planning in enhancing an efficient manufacturing system–an overview. In E3S Web of Conferences. EDP Sciences, 309: 01002. https://doi.org/10.1051/e3sconf/202130901002

[16] Thahir, R., Altway, A., Juliastuti, S.R. (2019). Production of liquid fuel from plastic waste using integrated pyrolysis method with refinery distillation bubble cap plate column. Energy Reports, 5: 70-77. https://doi.org/10.1016/j.egyr.2018.11.004

[17] Rominiyi, O.L., Ikumapayi, O.M., Orumwense, E.O., Fatoba, O.S., Akinlabi, E.T. (2022). Design and fabrication of a gasifier for the production of liquid fuel - a case study of Spondias mombin. In Advances in Material Science and Engineering: Selected Articles from ICMMPE 2021. Singapore: Springer Nature Singapore, pp. 131-145. https://doi.org/10.1007/978-981-19-3307-3_12 

[18] David, K.L., John, C.C., Jeanne, H., David, M., Terrence, S. (1981): Thermal decomposition of labelled cyclopentane. Evidence to preclude a 1,3-sigmatropic hydrogen shift. The Journal of Physical Chemistry, 85(13): 1787-1788.

[19] Chattopadhyay, S., Veser, G. (2006). Heterogeneous–homogeneous interactions in catalytic microchannel reactors. AIChE Journal, 52(6): 2217-2229. https://doi.org/10.1002/aic.10825

[20] Thakore, S.B., Bhat, B.I. (2009). Chemical Engineering Design. Principles, Practice and Economics of Plant and Process Design, Second Edition, Tata McGraw Hill Publishing Company, Limited, New Delhi.

[21] Sadhu, S (2009). A Textbook of Machine Design. Nasjarak 2nd Edition, New Delhi, India. 

[22] Khurmi, R.S., Gupta, J.K. (2005). A Textbook of Machine Design. S. Chand Publishing.

[23] Khurmi, R.S., Gupta, J.K. (2008). A Textbook of Thermal Engineering. S. Chand Publishing.

[24] Cengel, Y.A., Boles, M.A., (2009). A Textbook of Fundamental of Thermal Fluid Sciences 5th Edition.

[25] Ikumapayi, O.M., Rominiyi, O.L., Ajisafe, M.O., Afolalu, S.A., Fatoba, O.S., Akinlabi, E.T. (2023). Impact and hardness behaviours of heat-treated aluminium 6101 alloy quenched in different waste media. Advances in Material Science and Engineering, 192: 147-165. https://doi.org/10.1007/978-981-19-3307-3_13