Kinetic Analysis of Low Temperature Oxidation of Coals with Pre-Heating Histories: A DSC Study

Kinetic Analysis of Low Temperature Oxidation of Coals with Pre-Heating Histories: A DSC Study

Jian Zhang Zhengjiao Jin Fuchao Tian* Jing Wang Lin Niu Yao Li Zhenguo Xu

State Key Laboratory of Coal Mine Safety Technology, China Coal Technology & Engineering Group Shenyang Research Institute, Shenyang 113122, China

Key Laboratory of Gas Geology and Gas Control, Henan Polytechnic University, Jiaozuo 454003, China

State Collaborative Innovation Center of Coal Work Safety and Clean-efficiency Utilization, Henan Polytechnic University, Jiaozuo 454003, China

School of Safety Science and Engineering, Henan Polytechnic University, Jiaozuo 454003, China

School of Electrical Engineering and Automation, Henan Polytechnic University, Jiaozuo 454003, China

Corresponding Author Email: 
tianfuchao@cumt.edu.cn
Page: 
716-722
|
DOI: 
https://doi.org/10.18280/ijht.410326
Received: 
27 March 2023
|
Revised: 
2 May 2023
|
Accepted: 
10 May 2023
|
Available online: 
30 June 2023
| Citation

© 2023 IIETA. This article is published by IIETA and is licensed under the CC BY 4.0 license (http://creativecommons.org/licenses/by/4.0/).

OPEN ACCESS

Abstract: 

Self-heating of coal mass is a long-standing thermal dynamic hazard during many processes of coal handling. Underground coal mines are or will be operated in multiple seams. Therefore, self-heating characteristics of coals with various pre-heating histories are worthy of investigating. Different coal samples (lignite and bituminous coal) were selected and preheated to various temperatures (50℃, 80℃, 110℃, 140℃, 170℃ and 200℃) by DSC technique to study kinetics and exothermicity of low temperature oxidation of coals with different pre-heating histories. It was found slight pre-heating of coal samples would decrease exothermicity while over-heating is possible to produce more heat. Further reduction in heat liberation occurs if coal sample is pre-heated at higher temperature. Both the activation energy and pre-exponential factor of the lignite decrease firstly and reach the lowest value for coal sample with 110℃ pre-heating history. Then the two parameters start to increase while further reduction occurs for the lignite with higher temperature pre-heating history. Both kinetic parameters of the bituminous increase with higher pre-heating temperatures. The results of the study provide a theoretical basis for the prevention and control of spontaneous coal combustion.

Keywords: 

low temperature, coal oxidation, kinetic parameters, DSC, self-heating

1. Introduction

Coal, as a carbonaceous material, is able to be oxidised and to liberate heat from ambient temperatures to high temperatures [1-6]. Self-heating or even spontaneous combustion of coal mass might outbreak under favourable circumstances during many processes of coal handling [2, 7, 8]. Especially underground coal mine fires which occur in goafs have been identified as one of the most devastating mining hazards for posing a great threat to miners, burning out valuable coal mine assets, and giving off toxic and greenhouse gases [9, 10]. It has been reported in Australian coal mining history more than 125 fire incidents have been recorded in New South Wales whilst at least 68 incidents have been reported in Queensland from 1960 to 1991 [11]. From 1990 to 1999, approximately 17% of the 87 total reported fires for U.S. underground coal mines were caused by coal self-heating [12]. In India 75% of the coal mine fires occurs due to spontaneous combustion [13]. In China more than 50% of coal mines have had self-heating incidents and there are estimated to be 360 fire incidents each year caused by the spontaneous combustion within only several key coal mines [14]. A third of the 254 mine fires reported during the period from 1970 to 1990 was caused by spontaneous combustion of coal in South Africa [15].

The coal seams in newly developed mines are generally thick and the risk of spontaneous combustion increases significantly during longwall mining due to the large quantities of broken coal left behind the chocks and its exposure to high oxygen levels in the goaf [16]. Due to depletion of the first coal seam, many coal mines in China have extracted the second seam or mined multi-seams simultaneously. The trending can also be found in Australian coal mining industry. It undoubtedly will pose more complexities to ventilation circuits and difficulties to manage coal spontaneous combustion because mining-induced cracks are more developed and more likely to propagate to surface to draw more air leakage for multi-seam coal mine operations. Before extraction of second coal seam, residual coal of overlying goaf may have undergone a pre-heating history. The pre-heated coal may exhibit a different self-heating feature comparing with freshly exposed coal. Among the indexes to assess propensity of self-heating of coal, low-temperature oxidation kinetics are the most fundamental and critical. However, studies regarding low temperature kinetic analysis of coals with pre-heating history are scarce. Therefore, main purpose of this work is to study low temperature oxidation kinetics of coals with various pre-heating histories. Many techniques were developed to determine coal oxidation kinetics, such as adiabatic oven testing method [17, 18], heat release measurement method [4, 5], and thermal analysis method [19-23]. Thermal analysis method is the most widely used and mature method to determine coal oxidation kinetics for both low temperature and high temperature with benchmarked equipment. The thermal analysis method includes Thermogravimetric Analysis (TGA), Differential Thermal Analysis (DTA), and Differential Scanning Calorimetry (DSC).

In view of this, this paper selected lignite and bituminous coal to use DSC technology to study kinetics and exothermicity of low temperature oxidation of coals with different pre-heating histories. The aim is to provide theoretical basis for prediction, prevention and degree prediction of coal spontaneous combustion, and reduce the risk of spontaneous combustion in multiple coal seams with different thermal histories.

2. Experiment

2.1 Sample preparation

DSC can not only determine chemical reaction kinetics of experimental samples but also be able to assess exothermicity of tested samples. Therefore, the DSC was used to experimentally study the exothermicity and low temperature oxidation kinetics of coals with different preheating histories.

A lignite (supplied by Pingzhuang coal mine, Inner Mongolia, China) and a bituminous (supplied by Shigetai coal mine, Inner Mongolia, China) were used in this DSC study and were named as “LGY” and “SGT” coals, respectively. The proximate and ultimate analysis of the two as-received coals are shown in Table 1.

All coal samples were carefully crushed and sieved to particle size between 125μm and 150μm to ensure uniform heating. A part of coal sample was discharged to a dry oven and maintain temperature at 40℃ for six hours to dry most moisture of the coal sample. The dry coal sample was assigned a name as “fresh”. The rest coal sample was divided into six groups and one group was discharged into the isothermal oven. The temperatures of oven were set at 50℃ and maintain the temperature for more than twelve hours. The preheated coal sample was given a name “50”. To mimic different pre-heating histories, similarly coal samples with preheated temperatures 80℃, 110℃, 140℃, 170℃, and 200 ℃ were prepared and the coal samples were labelled as “80”, “110”, “140”, “170”, and “200”, respectively.

Table 1. Proximate and ultimate analysis of the two coal samples

Coal Sample

Proximate Analysis (ad, wt%)

Ultimate Analysis (daf, wt%)

Moisture

Ash

Volatile Matter

Fixed Carbon

C

H

N

S

O (By diff.)

LGY

10.50

4.14

27.74

57.13

78.54

4.19

1.24

0.38

15.65

SGT

10.70

9.69

32.8

46.81

72.06

5.87

1.04

0.37

20.66

Note: ad-air dried; daf-dry ash free

2.2 DSC analysis

Figure 1. Thermal flow DSC internal furnace structure

DSC experiments were carried out by using METTLER TOLEDO DSC822e with internal cooling system incorporated with thermal analysis program to control experimental runs. The instrument was also equipped with an external liquid nitrogen cooling system. Weight, temperature and sensitivity calibrations of the instrument were performed prior to any actual test. Temperature control accuracy ±0.05℃, heat measurement accuracy 0.1%. The coal sample (~5 mg) was placed in an aluminium sample crucible covered by a lid with pinholes. The crucible was then placed in the DSC head together with a reference crucible. The sample was firstly heated in pure N2 to 110℃, held for 20 min to further drive off the moisture and followed by cooling down to 20℃ to finish drying. Purge gas was then switched to air (a mixture of pure O2 and N2 with 20% of O2) with a flow rate of 60 mL/min and the sample was heated from 20℃ to 250℃ at a heating rate of 2℃/min. The testing data from 30℃ to 250℃ were only given to skip the endothermic stage and to eliminate the irregularity of initial data. Experiments were repeated three times to ensure the reproducibility of the data. Figure 1 shows the internal furnace structure of the thermal flow DSC.

3. Results and Discussion

3.1 Exothermicity

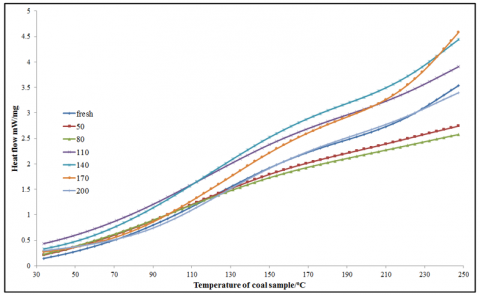
Figure 2 and Figure 3 show the heat flow of the two groups of coal sample at elevated temperatures in the DSC apparatus. The heat release of coal sample increases with the increase of temperature, and the heat flow curve of coal sample shows an upward trend.

As can be seen from Figure 2, heat flow curve of fresh LGY coal resembles that of the same coal with 200℃ pre-heating history. For a complete run, less heat is liberated for LGY coal samples that underwent 50℃ and 80℃ preheating history. It is noticeable more heat is produced for LGY coal samples which had 110℃, 140℃, and 170℃ pre-heating history than fresh coal sample.

As can be seen from Figure 3, fresh coal sample and coal sample which is preheated at 50℃ have similar curves of heat flow during the test. Slightly less amount of heat is generated for coal sample which had 80℃ preheating history. For coal samples which were preheated at higher temperatures (i.e., 110℃, 140℃, and 170℃), less heat is generated initially while much more heat is released at late stage than fresh coal. While for coal sample with the highest temperature pre-heating history, the potential of heat release is significantly reduced.

Figure 4 and Figure 5 illustrate total heat generated per unit mass of the two groups of coal sample during the test. With the increase of preheating temperature, the exothermic properties of the two groups showed a wavy trend of decreasing first, then increasing and then decreasing.

Figure 2. Heat flow of different samples of the lignite (LGY coal) at elevated temperatures

Figure 3. Heat flow of different samples of the bituminous (SGT coal) at elevated temperatures

Figure 4. Total generated heat of different samples of the lignite (LGY coal)

As can be seen from Figure 4, fresh LGY coal sample is able to liberate 4.35J/mg heat and the exothermicity slightly decreases for coal samples that are preheated at 50℃ and 80℃ and temperatures. However, total heat released during the test considerably increases for coal samples which were baked at 110℃ and 140℃. With further higher temperatures pre-heating history, the exothermicity starts to reduce again and as a result, heat of 200oC coal sample is about 4.36J/mg which is almost the same to fresh coal sample.

As can be seen from Figure 5, a similar trend was found for SGT coal. Exothermicity of SGT coal underwent initial reduction with 50℃ and 80℃ pre-heating history, then a sharp growth with 110℃ and 140℃ pre-heating history, and another decrease for coal samples with 170℃ and 200℃ pre-heating history. It can be also observed, unlike LGY coal, the ability of heat generation for 200℃ SGT coal reduces sharply compared with fresh SGT coal. The discrepancy may attribute to the difference of property of two coals. Further explanation however needs to be investigated.

Figure 5. Total generated heat of different samples of the bituminous (SGT coal)

3.2 Kinetic parameters analysis

The Borchardt and Daniels (B/D) kinetics approach was employed to determine the kinetic parameters in this study [24-26]. The B/D method assumes that the reaction follows nth order kinetics and follows the general rate equation:

$\mathrm{d} \alpha / \mathrm{dt}=\mathrm{k}(\mathrm{T})[1-\alpha]^{\mathrm{n}}$         (1)

where, $\mathrm{d} \alpha / \mathrm{dt}$ = reaction rate (s-1);

$\alpha$ (conversion rate) = $\left(M_o-M\right) / M_o$, $\mathrm{M}$ is the mass of reactant at time $\mathrm{t}(\mathrm{g}), \mathrm{M}_{\mathrm{o}}$ is the initial mass of reactant $(\mathrm{g})$;

$\mathrm{k}(\mathrm{T})$ = specific rate constant at temperature T (s-1);

$\mathrm{n}$ = reaction order.

The B/D approach assumes Arrhenius dependence for kinetic reaction:

$\mathrm{k}(\mathrm{T})=\mathrm{Ae}^{-\mathrm{E}_{\mathrm{a}} / \mathrm{RT}}$         (2)

where, $\mathrm{E}_{\mathrm{a}}=$ Activation energy $(\mathrm{J} / \mathrm{mol})$;

A = Pre-exponential factor (s-1);

R = Gas constant, 8.314 (J/mol K);

Take Eq. (2) into Eq. (1):

$\mathrm{d} \alpha / \mathrm{dt}=\mathrm{Ae}^{-\mathrm{E}_{\mathrm{a}} / \mathrm{RT}}[1-\alpha]^{\mathrm{n}}$           (3)

Substitute expression of conversion rate into Eq. (3):

$-\mathrm{dM} / \mathrm{M}_{\mathrm{o}} \mathrm{dt}=\mathrm{Ae}^{-\mathrm{E}_{\mathrm{a}} / \mathrm{RT}}\left(\mathrm{M} / \mathrm{M}_{\mathrm{o}}\right)^{\mathrm{n}}$       (4)

For low temperature coal oxidation, the consumption of coal might be negligible and the mass can therefore be deemed unchanged. Rearrange Eq. (4):

$-\mathrm{dM} / \mathrm{M}_{\mathrm{o}} \mathrm{dt}=\mathrm{Ae}^{-\mathrm{E}_{\mathrm{a}} / \mathrm{RT}}$          (5)

In Eq. (5) any real time consumption on mass of coal correlates to heat release and Eq. (6) therefore can be obtained by converting mass to heat appearance:

$\frac{\mathrm{dH} / \mathrm{dt}}{\Delta \mathrm{HM}_{\mathrm{o}}}=\mathrm{Ae}^{-\mathrm{E}_{\mathrm{a}} / \mathrm{RT}}$        (6)

Take natural logarithm to Eq. (6):

$\ln \left(\frac{\mathrm{dH} / \mathrm{dt}}{\Delta \mathrm{HM}_{\mathrm{o}}}\right)=-\frac{\mathrm{E}_{\mathrm{a}}}{\mathrm{R}} \frac{1}{\mathrm{~T}}+\ln \mathrm{A}$           (7)

By plotting the curve of $\ln \left(\frac{\mathrm{dH} / \mathrm{dt}}{\Delta \mathrm{HM}_{\mathrm{o}}}\right)$ versus inverse temperature $\left(\frac{1}{T}\right)$, the activation energy $\left(E_a\right)$ and frequency factor (A) can be easily calculated by interpreting the slope and interception of the linear trending lines.

The two plots of LGY coal and SGT coal can be seen in Figure 6 and Figure 7, respectively. A clear break of linear correlation can be identified for each of the plot. The critical temperatures are 143℃ and 127℃ for LGY coal and SGT coal, respectively. The break can also be found in another study [19]. The data beyond the critical temperature is called supercritical in which the high temperature kinetics cannot be determined due to lack of data or because the applicability of B/D method is questionable as mass of coal would starts to noticeably change at high temperatures. The data below the critical point is named subcritical and it is used to determine low temperature coal oxidation kinetics by B/D method.

Figure 6. Plot of $\ln \left(\frac{\mathrm{dH} / \mathrm{dt}}{\Delta \mathrm{HM}_0}\right)$ against $\frac{1000}{\mathrm{~T}}$ of different samples of LGY coal

Figure 7. Plot of $\ln \left(\frac{\mathrm{dH} / \mathrm{dt}}{\Delta \mathrm{HM}_{\mathrm{O}}}\right)$ against $\frac{1000}{\mathrm{~T}}$ of different samples of SGT coal

Figure 8. Subcritical oxidation kinetic parameters of LGY coal samples

The low temperature oxidation kinetics (i.e., activation energy and pre-exponential factor) of the two coals are listed in Figure 8 and Figure 10, respectively. Figure 9 and Figure 11 show plot of rate constant against temperature of the two coals.

From Figure 8 it can be observed both the activation energy and pre-exponential factor of LGY coal sample decrease firstly and reach the lowest value for coal sample with 110℃ pre-heating history. After that the magnitude of two parameters start to increase for 140 and 170 coal samples while further reduction occurs for 200 coal sample. It has been reported that the greater the activation energy, the less likely the oxidation and combustion reactions of the coal will proceed, the less likely the coal will spontaneously combust, and the less likely it will have a tendency to spontaneously combust. It is presumed that the coal samples with 110℃ pre-heating history have the greatest propensity to spontaneous combustion.

As can be seen from Figure 9, for temperatures during DSC test below 80℃, LGY coal samples with pre-heating histories are more reactive than fresh coal sample. More specifically, the order of reactivity of coal samples below 80℃ is 110>80>50>140>200>170. For temperature between 80℃ and 140℃, reactivity of fresh coal sample increases the most rapidly due to the highest activation energy and inversely for the 110 coal samples due to its lowest activation energy. The reactivity of fresh coal sample surpasses 140, 170, and 200 coal sample from 80℃ to 140℃ and it is expected to exceed 50, 80, and 110 coal samples during higher temperature oxidation. It appears slight pre-heating (up to 110℃) can increase reactivity of coal during low temperature coal oxidation and over pre-heated coals are likely to, more or less, lose reactivity of coal oxidation.

From Figure 10 it is noticeable that both the kinetic parameters of SGT coal samples increase with higher temperature pre-heating history. It is speculated that SGT coals with higher temperature pre-heating history may not be conducive to the occurrence of spontaneous combustion.

From Figure 11 it can be seen, unlike LGY coal, all pre-heated SGT coal samples become less reactive than fresh coal. It also appears more reactivity will lose for coal samples with higher pre-heated temperature. For coal samples with higher values of activation energy (e.g., 140, 170, and 200 coal sample), the reactivity may exceed other coal samples as can be seen the final trend of the rate constant curve. It has also been reported coal oxidation may become more temperature sensitive for coals with higher activation energy [2]. It is hypothesized that increasing the temperature can intensify the oxidation reaction of SGT with a history of high temperature preheating and increase its propensity for spontaneous combustion.

Figure 9. Plot of against of LGY coals with different pre-heating histories

Figure 10. Subcritical oxidation kinetic parameters of SGT coal samples

Figure 11. Plot of $\mathrm{k}(\mathrm{T})$ against $\mathrm{T}$ of SGT coals with different pre-heating histories

4. Conclusion

Self-heating of coal mass is a serious hazard. This study employs DSC technique to investigate exothermicity and low temperature oxidation kinetics of coals with different pre-heating histories. Several findings are as listed:

(1) Slight pre-heating (50℃ and 80℃) of LGY coal would decrease exothermicity while over-heating (110℃, 140℃, and 170℃) is possible to produce more heat. Moderate preheating facilitates the spontaneous combustion of coal. Further reduction in heat liberation occurs if LGY coal is pre-heated at higher temperature (200℃). Excessive preheating weakens the tendency of LGY coal to spontaneously combust;

(2) A similar trend of heat flow was found for SGT coal except that the reduction in generated heat for 200 coal sample is much more noticeable than that of LGY coal. Presumably the reaction temperature affects the spontaneous combustion tendency of SGT coals with a higher pre-heated history to a greater extent than LGY coals.

(3) Both the activation energy and pre-exponential factor of LGY coal decrease firstly and reach the lowest value for coal sample with 110℃ pre-heating history. Then the two parameters start to increase for 140 and 170 coal samples while further reduction occurs for 200 coal sample;

(4) For testing temperature below 80℃, LGY coal samples with pre-heating histories become more reactive than fresh coal sample. For testing temperature between 80℃ and 140℃, reactivity of fresh coal sample increases the most rapidly due to the highest activation energy and inversely for the 110 coal samples due to its lowest activation energy;

(5) Both the kinetic parameters of SGT coal samples increase with higher temperature pre-heating history;

(6) All pre-heated SGT coal samples become less reactive than fresh coal. It is presumed that preheating the coal sample is not conducive to the SGT oxidation reaction. For coal samples with higher values of activation energy (e.g., 140, 170, and 200 coal sample), the reactivity may exceed other coal samples at higher temperatures;

(7) The discrepancy between the two coals may attribute to the difference of their properties but more investigation needs to be conducted to confirm it.

The purpose of this study is to provide theoretical basis for coal spontaneous combustion prediction, prevention and degree prediction, and to reduce the risk of multiple coal seams with different thermal histories. However, due to the limitations of the author's own theoretical level and experimental conditions, the research on the relationship between thermal pretreatment effect and kinetic parameters and coal properties needs to be further deepened. In this paper, two coal samples (lignite and bituminous coal) are used in the experiment, which is not universal. The experimental differences may be due to differences in the nature of the coal samples, but more investigations are needed to confirm this. In future experiments, coal samples with more metamorphic degrees can be added to obtain more general conclusions. Other methods, such as adiabatic oven tests, may also be considered to verify the results.

Acknowledgement

The study is mainly supported by Natural Science Foundation of Liaoning Province–Joint Open Fund of Key Science and Technology Innovation Bases Program (Grant No.: 2021-KF-23-06) and National Nature Science Foundation of China (Grant No.: 52174171). The authors also acknowledge the support by Henan Province Key Scientific Research Projects of Institution of Higher Education (Grant No.: 22B413005), Natural Science Foundation of Henan Province (Grant No.: 23230042017), Fundamental Research Funds for the Universities of Henan Province (Grant No.: NSFRF220431), Outstanding Youth Fund of Henan Polytechnic University (Grant No.: J2022-1), Double First Class disciplines create projects in the Division of Safety and Energy Engineering (Grant No.: AQ20230741) and Innovation and Entrepreneurship Training Program for College Student in Henan Province (Grant No.: 202210460077).

  References

[1] Wang, H., Dlugogorski, B.Z., Kennedy, E.M. (2003). Coal oxidation at low temperatures: oxygen consumption, oxidation products, reaction mechanism and kinetic modelling. Progress in Energy and Combustion Science, 29(6): 487-513. https://doi.org/10.1016/S0360-1285(03)00042-X

[2] Zhang, J., Ren, T., Liang, Y., Wang, Z. (2016). A review on numerical solutions to self-heating of coal stockpile: Mechanism, theoretical basis, and variable study. Fuel, 182: 80-109. https://doi.org/10.1016/j.fuel.2016.05.087

[3] Liang, Y., Tian, F., Luo, H., Tang, H. (2015). Characteristics of coal re-oxidation based on microstructural and spectral observation. International Journal of Mining Science and Technology, 25(5): 749-754. https://doi.org/10.1016/j.ijmst.2015.07.008

[4] Jones, J.C., Chiz, P.S., Koh, R., Matthew, J. (1996). Kinetic parameters of oxidation of bituminous coals from heat-release rate measurements. Fuel, 75(15): 1755-1757. https://doi.org/10.1016/S0016-2361(96)00159-7

[5] Jones, J.C., Henderson, K.P., Littlefair, J., Rennie, S. (1998). Kinetic parameters of oxidation of coals by heat-release measurement and their relevance to self-heating tests. Fuel, 77(1-2): 19-22. https://doi.org/10.1016/S0016-2361(97)00155-5

[6] Kaji, R., Hishinuma, Y., Nakamura, Y. (1987). Low temperature oxidation of coals-a calorimetric study. Fuel, 66(2): 154-157. https://doi.org/10.1016/0016-2361(87)90233-X

[7] Zhang, J., Liang, Y., Ren, T., Wang, Z., Wang, G. (2016). Transient CFD modelling of low-temperature spontaneous heating behaviour in multiple coal stockpiles with wind forced convection. Fuel Processing Technology, 149: 55-74. https://doi.org/10.1016/j.fuproc.2016.04.011

[8] Yang, Y., Li, Z., Hou, S., Gu, F., Gao, S., Tang, Y. (2014). The shortest period of coal spontaneous combustion on the basis of oxidative heat release intensity. International Journal of Mining Science and Technology, 24(1): 99-103. https://doi.org/10.1016/j.ijmst.2013.12.017

[9] Song, Z., Kuenzer, C. (2014). Coal fires in China over the last decade: A comprehensive review. International Journal of Coal Geology, 133: 72-99. https://doi.org/10.1016/j.coal.2014.09.004

[10] Stracher, G.B., Taylor, T.P. (2004). Coal fires burning out of control around the world: thermodynamic recipe for environmental catastrophe. International Journal of Coal Geology, 59(1-2): 7-17. https://doi.org/10.1016/j.coal.2003.03.002

[11] MDG 1006-Technical reference. (2011). Technical reference for spontaneous combustion management guideline. Produced by Mine Safety Operations Branch Industry and Investment NSW. 

[12] De Rosa, M.I. (2004). Analysis of mine fires for all us underground and surface coal mining categories: 1990-1999. Information circular (National Institute for Occupational Safety and Health); IC 9470.

[13] Singh, R.V.K., Singh, V.K. (2004). Status of mine fire of Jharia coalfield and suggestions for prevention & control. Coal Mining Technology & Management, 9(6-8): 38-44.

[14] Zhou, F., Ren, W., Wang, D., Song, T., Li, X., Zhang, Y. (2006). Application of three-phase foam to fight an extraordinarily serious coal mine fire. International Journal of Coal Geology, 67(1-2): 95-100. https://doi.org/10.1016/j.coal.2005.09.006

[15] Gouws, M.J., Knoetze, T. (1995). Coal self-heating and explosibility. Journal of the Southern African Institute of Mining and Metallurgy, 95(1): 37-43. https://hdl.handle.net/10520/AJA0038223X_2339

[16] Ren, T.X., Balusu, R. (2009). Proactive goaf inertisation for controlling longwall goaf heatings. Procedia Earth and Planetary Science, 1(1): 309-315. https://doi.org/10.1016/j.proeps.2009.09.049

[17] Arisoy, A., Beamish, B. (2015). Reaction kinetics of coal oxidation at low temperatures. Fuel, 159: 412-417. https://doi.org/10.1016/j.fuel.2015.06.054

[18] Gouws, M.J., Gibbon, G.J., Wade, L., Phillips, H.R. (1991). An adiabatic apparatus to establish the spontaneous combustion propensity of coal. Mining Science and Technology, 13(3): 417-422. https://doi.org/10.1016/0167-9031(91)90890-O

[19] Li, B., Chen, G., Zhang, H., Sheng, C. (2014). Development of non-isothermal TGA-DSC for kinetics analysis of low temperature coal oxidation prior to ignition. Fuel, 118: 385-391. https://doi.org/10.1016/j.fuel.2013.11.011

[20] Ozbas, K., Kök, M., Hicyilmaz, C. (2003). DSC study of the combustion properties of Turkish coals. Journal of Thermal Analysis and Calorimetry, 71(3): 849-856. https://doi.org/10.1023/a:1023378226686

[21] Slovák, V., Taraba, B. (2010). Effect of experimental conditions on parameters derived from TG-DSC measurements of low-temperature oxidation of coal. Journal of thermal analysis and calorimetry, 101(2): 641-646. https://doi.org/10.1007/s10973-010-0878-6

[22] Wang, H.H. (2007). Kinetic analysis of dehydration of a bituminous coal using the TGA technique. Energy & Fuels, 21(6): 3070-3075. https://doi.org/10.1021/ef070170y

[23] Kaljuvee, T., Keelman, M., Trikkel, A., Petkova, V. (2013). TG-FTIR/MS analysis of thermal and kinetic characteristics of some coal samples. Journal of Thermal Analysis and Calorimetry, 113: 1063-1071. https://doi.org/10.1007/s10973-013-2957-y

[24] Kissinger, H.E. (1957). Reaction kinetics in differential thermal analysis. Analytical Chemistry, 29(11): 1702-1706. https://doi.org/10.1021/ac60131a045

[25] Wang, Q., Sun, J., Guo, S. (2008). Spontaneous combustion identification of stored wet cotton using a C80 calorimeter. Industrial Crops and Products, 28(3): 268-272. https://doi.org/10.1016/j.indcrop.2008.02.014

[26] Zhao, X., Wang, Q., Xiao, H., Mao, Z., Chen, P., Sun, J. (2013). Prediction of coal stockpile autoignition delay time using micro-calorimeter technique. Fuel Processing Technology, 110: 86-93. https://doi.org/10.1016/j.fuproc.2012.11.007