An Investigation of the Impacts of Ethanol-Diesel Blends on Emission and Combustion Parameters of Diesel Engine

An Investigation of the Impacts of Ethanol-Diesel Blends on Emission and Combustion Parameters of Diesel Engine

Hemin Othman Ghareeb* Hassan Abad Al-Wahab Anjal

Department of Mechanical and Mechatronics Engineering, College of Engineering, Salahaddin University, Erbil 44001, Iraq

Department of Aeronautical Engineering, College of Technical Engineering, Alkitab University, Kurkuk 36001, Iraq

Corresponding Author Email: 
hemin.ghareeb@univsul.edu.iq
Page: 
513-528
|
DOI: 
https://doi.org/10.18280/ijht.410304
Received: 
15 April 2023
|
Revised: 
7 June 2023
|
Accepted: 
18 June 2023
|
Available online: 
30 June 2023
| Citation

© 2023 IIETA. This article is published by IIETA and is licensed under the CC BY 4.0 license (http://creativecommons.org/licenses/by/4.0/).

OPEN ACCESS

Abstract: 

An investigation was conducted to evaluate the impact of ethanol/diesel fuel blends on the diesel engine's performance and emissions. The objective of this study is to determine the optimum ethanol/diesel fuel blend percentage, in comparison to using diesel fuel alone, that achieves both improved performance and reduced emissions concurrently. A test is being carried out on five different ethanol/diesel fuel blends. One of them is pure diesel fuel and the others are blended with diesel fuel using 5% to 20% absolute ethanol in increments of 5%. Ethanol-diesel blends have garnered significant attention as an alternative fuel. Making it an environmentally sustainable choice. This fuel option is cleaner-burning, undergoing more complete combustion and resulting in reduced emissions of greenhouse gases linked to climate change. Additionally, ethanol possesses a higher octane rating than diesel, which enhances the performance of compression-ignition engines. By blending ethanol with diesel, engine efficiency, and power output can be improved while reducing issues like engine knock and noise levels. Moreover, it has positive economic implications, generating job opportunities in agriculture. The test measurements were carried out with engine torque ranging from 0 to 21 N.m. with an addition of 6 N.m, at a constant engine speed of 1,500 rpm, and with various compression ratios of 16, 17, and 18. In this study, the performance parameters of an engine were evaluated. These parameters included imep, bsfc, ƞbth, ƞm, and Tex. Also analyzed the engine's exhaust emissions, which included CO, NOx, HC, O2, and CO2. To measure these emissions, an exhaust gas analyzer was used, and the smoke opacity was measured using a smoke meter. The results indicated that the highest bsfc was recorded for E20 fuel and the lowest for E0. E0 diesel fuel exhibits the highest ƞbth, followed by E5, E10, E15, and E20 diesel fuel blends. The value of Tex for E5, E10, E15, and E20 is lower than that of E0, with values of 419℃, 421℃, 423℃, and 424℃ respectively, under full load conditions. In comparison, the Tex of E0 is 426℃. Using ethanol/diesel fuel blends results in reduced CO emissions and increased CO2 emissions under specific load conditions and decreasing the percentage of NOx emissions and increasing the emission of O2. Finally, according to the test results, the engine running on blends produced lower smoke opacity compared to the engine running on diesel.

Keywords: 

smoke opacity, diesel fuel, brake thermal efficiency, ethanol, mechanical efficiency, emission, exhaust gas temperature

1. Introduction

Internal combustion engines (ICE) are now used in a broad range of transportation applications. They play an important role in drive systems and are the primary power source in several industrial sectors. The ICE converts the potential energy present in fuel into kinetic energy in the form of mechanical work., which is generally delivered through a rotating engine crankshaft. According to Pulkarbed [1], the fuel's chemical energy is initially converted to thermal energy through combustion or oxidation when inside the engine. As a result of this thermal energy, the gases within the engine are heated, leading to an increase in their temperature and pressure. The mechanical components of the engine are subjected to high-pressure gas expansion, which is translated into a rotating crankshaft by the engine's mechanical connections, resulting in the engine's output. Diesel engines are internal combustion engines with a significantly higher compression ratio than spark ignition (S.I.) engines, which means they create a lot of power while being more efficient in terms of thermal efficiency. As a result, these engines are more commonly used for off-roading [2]. For internal combustion engines, there are a variety of alternative fuels accessible. Ethanol, which is readily available, can be used as biodiesel when it is blended with diesel fuel, thus making it one of the alternative fuels that can be easily accessed [3]. Ethanol is a renewable, environmentally friendly diesel fuel that will be used alone or blended with other diesel fuels. Many researchers are paying increasing attention related to the usage of ethanol combined with diesel in recent decades. Study on Biodiesel is growing rapidly due to the fact that it is less harmful and renewable than regular fuel. Biodiesel provides some benefits over diesel, however, qualities such as viscous, volatile, and compressibility, which influence an engine's combustion performance, must be improved. Ethanol/diesel fuel blends were discovered to be a well-suitable technique for conventional diesel engines [4].

Ethanol is a chemical compound with the formula CH3CH2OH (see Figure 1). Ethanol is a substance that belongs to the organic chemical family. Fuel ethyl alcohol, which is produced from crops and adds oxygen to fuel, enhances automobile performance and reduces air pollution. Ethanol is a desirable alternative fuel since it comes from a renewable bio-based source and is oxygenated, which may reduce the particulate pollutants produced by diesel engines [5].

Figure 1. Chemical representation of methane as: (a) a 2D formula and (b) a 3D formula [6]

Engine performance and emissions are crucial factors that could define the combustion characteristics of a diesel engine. Examples of engine performance include brake power (bp), indicated power (ip), thermal efficiency (ƞth), indicated specific fuel consumption (isfc), and some others. In the context of our investigation, engine emissions include carbon dioxide (CO2), carbon monoxide (CO), hydrocarbon (HC), oxygen (O2), and nitrogen oxide (NOx). These engine parameters, such as engine speed, torque, and compression ratio, are used in the engine test.

The reduction of emissions from diesel engines holds significant importance due to their substantial contribution to air pollution and their adverse effects on human health and the environment. The emissions associated with diesel engines have various negative consequences, including respiratory illnesses, the formation of smog, and climate change. In response to these concerns, we have been exploring alternative fuels and technologies to mitigate the environmental impact of diesel engines. Among the promising alternatives is the utilization of ethanol/diesel fuel blends. When ethanol is combined with diesel fuel, it has the potential to decrease harmful emissions. The oxygen content present in ethanol enhances the combustion process, resulting in more thorough fuel burn and a reduction in particulate matter formation. Additionally, ethanol possesses a higher octane rating, which enables more efficient and cleaner combustion, thus reducing nitrogen oxide emissions. Moreover, ethanol is considered a low-carbon fuel due to its renewable nature. When compared to pure diesel fuel, ethanol/diesel blends have the ability to decrease greenhouse gas emissions, particularly carbon dioxide emissions.

Tangoz et al. [7] investigate the impact of compression ratio on diesel engine performance using varied percentage blends of hydrogen-enriched compression natural gas. They found that, by raising the compression ratio from 12 to 15, the overall cylinder volume is decreased. As a result, the cylinder receives less fuel. The findings for bsfc decreased when the compression ratio was between 9.5 and 12.5. The bsfc values subsequently start to rise after being increased to 15. Their results clearly show that the lines of the heat release rate usually increase as the compression ratio and hydrogen percentage in the blends increase. By utilizing palm biodiesel and petro diesel in a diesel engine [8], investigated the impact of compression ratio on engine performance, combustion characteristics, and emissions. The results reveal that using palm biodiesel in place of diesel significantly reduced the ƞbth and increased the bsfc. Additionally, as the compression ratio rises, the ƞth rises while the bsfc drop. Finally, they discovered that utilizing biodiesel reduces the ignition delay period, and raising the compression ratio slightly lengthens it. According to the study [9], When the compression ratio was increased from 14 to 18, the B10, B20, B30, and B50 blends showed respective increases in ƞbth of 18.4%, 27.5%, 18.5%, and 19.8%. In a study [10], found that raising the compression ratio increased peak cylinder pressure, and ƞbth, and reduced bsfc. The impact of diesel-ethanol combinations on the four-stroke diesel engine performances, including ƞm, Tex, bsfc, and ƞbth was studied by Prasad et al. [11]. In comparison to diesel alone, the estimated bsfc is greater for blends. Their findings indicate that there are certain variations between the ƞbth for both ethanol and diesel alone. Ethanol blends have lower engine Tex and are more ƞm than neat diesel.

The single-cylinder direct injection diesel engine's performance was investigated by applying ten various blends of pure diesel fuel, biodiesel with jatropha, and ethanol [12]. His findings indicate that because diesel has a higher heating value compared to fuel blends exclusively, a fuel blend's specific fuel consumption has increased. The increased oxygenate concentration in biodiesel, which significantly improves the oxidation reaction, contributes to the fuel blends' slightly higher ƞbth than diesel.

Using blends of ethanol in diesel fuel, experimental studies were carried out on a diesel engine to examine its performance, including bp, bsfc, and ƞbth [13]. They investigated diesel engine exhaust emissions concurrently. Their findings demonstrate that engine output gradually reduced as the mixture's ethanol concentration increased. The lowest number of bsfc was consumed by neat diesel. The amount of fuel consumed solely for the brakes increased as the mixture's ethanol content increased. Finally, their findings indicate that adding 30% ethanol to diesel fuel generates the greatest CO emission value and the smallest smoke value.

Bilgin et al. [14] used ethanol diesel fuel blends on single-cylinder, four-stroke diesel engines to perform experimental investigations on the performance of the variable compression ratios of diesel engines. They are attempting to determine which combination of ethanol percentage and compression ratio will produce the best engine performance. They use ethanol blend percentages of 2, 4, and 6 and three different compression ratios: 19, 21, and 23. According to their experimental outcomes, adding 4 percent ethanol to diesel fuel improves the engine's performance and with a compression ratio of 21, the best performance was achieved.

To experimentally study single-cylinder diesel engine performance with variable speed and constant load, Al-Hassan, et al. [15] used blends of ethanol and biodiesel within the diesel fuel at varied percentages. According to their experimental findings, the equivalent A/F ratio and the bsfc are greater for blended fuels than that for diesel fuel alone and they rise as the ethanol percentage in the blends increases. They indicate that a diesel engine can run on ethanol-diesel blends without making any modifications to the engine's design.

Experimental studies were conducted on the performance, exhaust emissions, and combustion properties of single-cylinder diesel engines [16]. He utilized ethanol blends with 10, 20, 30, and 40% percentages. Diesel fuel was blended with ethanol. According to his findings, for the 40% ethanol blend, the ƞbth climbed to 14.7 percent at a given the highest engine torque, and the bsfc was reduced to 8.7 percent. However, at this percentage, HC emissions were higher than those from diesel fuel alone. Additionally, the 40 percent ethanol blend's CO emission was less than those of pure diesel, but its CO2 emission was significantly greater than diesel's, at 0.036 percent. According to his finding with the part of the influence of blends on combustion characteristics, the peak engine cylinder pressure for blends is 75 bar, compared to 69 bar for pure diesel. Lastly, his study tells us how various fuel blends may enhance combustion, improve performance, and reduce emissions in future vehicle fuels. This research will involve conducting experimental and theoretical studies to analyze the impact of ethanol/diesel fuel blends on both the performance and emissions of a four-stroke, single-cylinder, direct injection diesel engine. The objective is to determine the optimal percentage of ethanol/diesel fuel blend, in comparison to using diesel fuel alone, that achieves improved performance characteristics while simultaneously reducing emissions in compression ignition engines. By incorporating ethanol/diesel blends, it becomes feasible to achieve a balance between improved engine performance and reduced emissions. This aspect makes them an appealing option for the transition towards cleaner and more sustainable transportation systems. However, it is crucial to conduct comprehensive studies and optimize the blend percentages to ensure the desired benefits are realized while addressing potential challenges, such as fuel system compatibility. In the final analysis, I look at how ethanol/diesel blends have become an efficient method to reduce emissions from diesel engines. Their capacity to enhance combustion efficiency, diminish harmful pollutants, and contribute to lower carbon emissions positions them as a promising alternative fuel choice in the pursuit of cleaner and more environmentally friendly transportation.

2. Gas Emissions and Smoke

One of the most serious problems with internal combustion engines is pollution in the environment. The emissions produced by ICE include CO, NOx, and HC, which can have a negative impact on air quality and human health. Engine emissions are significantly affected by the quality of fuel combustion, as poor combustion can lead to incomplete burning of fuel, resulting in higher emissions of pollutants.

Ethanol is a biofuel that has been shown to reduce exhaust emissions when blended with diesel fuel. Ethanol's abundance of oxygen assists in achieving more complete combustion of the fuel, resulting in lower emissions of pollutants like PM and NOx. The effects of various ratios of ethanol-diesel blends on both engine performance and emissions have been examined in studies, with some finding that blends of up to 20% ethanol can significantly reduce emissions without negatively impacting engine performance. It's worth noting that using a higher ethanol blend ratio may not be practical as it may affect the engine performance and durability negatively. Diesel engines produce pollutants through the combustion of fuel and air in the engine cylinders. The main pollutants are HC, PM, NOx, and CO. These pollutants are released through the exhaust system and can have negative impacts on air quality and human health. According to the study by Ullman et al. [17], the quality of diesel fuel can have an impact on exhaust emissions, particularly on NOx emissions. They found that the cetane number of a fuel used in a diesel engine has a significant impact on emissions of NOx, CO2, HC, and CO. When assessing emissions, it is crucial to take into account the cetane number of the fuel that was utilized in my research.

In this study, emissions parameters were measured to evaluate the effects of ethanol/diesel fuel blends on diesel engine performance. The parameters examined included carbon monoxide (CO), nitrogen oxides (NOx), and hydrocarbons (HC). CO is a colorless and odorless gas produced during incomplete combustion, posing health risks and contributing to smog formation. NOx, is a major air pollutant with adverse impacts on health and the environment. HC, organic compounds in fuel that can be released as unburned or partially burned fuel, contribute to smog formation and health issues. Exhaust Gas Analyzers used for measuring CO, NOx, and HC were used to make the determination. The goal of the study is to determine how various emissions parameters are impacted by ethanol/diesel fuel blends. If the blends are found to reduce these emissions, it suggests their potential in mitigating the environmental impact of diesel engines. This research may support the adoption of ethanol/diesel fuel blends as a strategy to reduce emissions and improve air quality. Additionally, the study's findings can contribute to understanding the role of alternative fuels in achieving sustainability goals and transitioning to greener transportation systems. By showcasing the emissions-reducing potential of ethanol/diesel fuel blends, the research can inform policy decisions, industry practices, and technological advancements focused on mitigating the environmental impact of diesel engines and promoting cleaner and more sustainable fuels.

3. Theoretical Approach

The process of combustion, which changes the energy in the fuel into the internal energy of the product gases, plays a significant role in how the engine operates. When studying the diesel engine’s performance, a theoretical method often employs thermodynamic concepts to simulate the internal processes of the engine, including combustion and heat transfer. Computer simulations are utilized to predict certain performance characteristics.

3.1 Brake power

Brake power refers to the measurement of the highest power output generated by an engine. The brake power is calculated through a formula.

$b p=\frac{2 \pi N T}{60000} \quad(k W)$             (1)

3.2 Indicated power

Indicated power refers to the power produced within an engine's cylinders, which is proportional to the work performed on the piston. The calculation for indicated power is done using the following formula.

$i p=\frac{i m e p * A * L * n * k * 100}{60}\,\,\,\,(k W)$            (2)

3.3 Mechanical efficiency

To indicate mechanical efficiency, the proportion of brake power to indicated power is utilized, mathematically represented as:

$\eta_{\mathrm{m}}=\frac{\mathrm{bp}}{\mathrm{ip}}(\%)$              (3)

3.4 Indicated mean effective pressure

This is the pressure measured by the indicator diagram, reflecting the pressure on the piston during the power stroke before accounting for any losses due to factors such as friction and heat.

$imep=\frac{ip*60}{A*L*n*k}\,\,\,\,\,(kN/m{}^{2})\,\,\,$           (4)

3.5 Fuel consumption

Fuel consumption refers to the amount of fuel utilized by an engine over a set distance. By measuring the time taken by the engine to consume a set amount of fuel, it is possible to calculate the quantity of fuel used. Mathematically represented as:

$\overset{.}{\mathop{m}}\,f=\frac{\rho {}_{f}\,*\,V{}_{f}}{t}*3600\,$           (5)

3.6 Brake specific fuel consumption

Calculates the fuel used in relation to the engine’s output power, often shown in units of kilograms per kilowatt hour. It indicates the engine’s fuel efficiency.

$bsfc=\frac{\overset{.}{\mathop{m}}\,{}_{f}}{bp}\,\,\,\,\,(kg/kW.hr)$             (6)

3.7 Brake thermal efficiency

It is the thermal efficiency determined during dynamometer tests, where the engine's output power is measured at the crankshaft. It is calculated by dividing the useful work output by the energy input from the fuel and expressed as a percentage.

$\eta {}_{bth}=\frac{bp*3600}{\overset{.}{\mathop{m}}\,{}_{f}*CV}\,\,\,\,\,(\%)$            (7)

Comprehending these essential parameters plays a significant role in optimizing engine design, evaluating its performance, and implementing improvements. For instance, power output serves as a metric for quantifying the engine's work capacity within a given time frame. It holds utmost importance in determining the engine's capability to execute various tasks. Additionally, mathematical formulas pertaining to engine performance are actively utilized to analyze, forecast, and enhance engine functionality. By taking into consideration parameters like engine speed, torque, and ambient conditions, it becomes possible to estimate values such as power output, fuel consumption, and efficiencies. These estimations enable engineers to evaluate an engine's suitability for specific applications, identify potential concerns, and make necessary adjustments to optimize performance.

The upper performance equations play a crucial role in conducting predictive analysis and forecasting. we can input various operating conditions and scenarios into these equations to estimate the performance characteristics of an engine, such as power output, fuel consumption, and efficiency. This information is valuable for decision-making processes, including selecting the most appropriate engine for a specific application or predicting the effects of modifications or changes in operating conditions.

4. Experimental Work

In this section, should provide detailed information about the experimental diesel engine used in the study, including its components and instrumentation.

4.1 Engine test diagram

The diesel engine test rig described in the given information is a vertical single-cylinder engine that is four-stroke and direct-injection. It is also water-cooled and has a variable compression ratio. The schematic representation of this test rig is illustrated in Figure 2. The test rig allows for the measurement of various engine performance parameters. The computer program Engine VCR can be used to analyze the recorded engine performance data from the test rig. The program can display the data graphically and in tabular form. A test rig typically consists of various components that are used to perform tests and measure the performance of a system or device. In this case, the test rig includes a single-cylinder diesel component, a single-phase eddy current dynamometer, and a data acquisition unit. Emissions and smoke opacity are important parameters to measure in diesel engine testing. The CG450 gas analyzer, and the Texa OPABOX diesel smoke meters, are commonly used instruments for this purpose.

Figure 2. Schematic representation of the measuring diesel engine system

Figure 3. The layout of the diesel engine experimental setup

Summarizing the engine specifications in a Table 1 can be a useful way to organize and present the information, making it easier for readers to understand and compare the different specifications of the engine. Figure 3 can also be helpful in illustrating the experimental setup and showing how the different components of the test rig are connected and interact with each other. This can aid in understanding the process of measuring the performance, smoke, and gas emissions of a single-cylinder diesel engine.

Table 1. Technical specifications of the compression ignition engine

Parameter

Specifications

Maximum Engine power

3.3 kW

Engine speed

1,500 rpm

Maximum torque

21 N.m

Fuel Type

Diesel

No. of Cylinder

One

No. of Stroke

Four

Bore

0.08 m

Stroke Length

0.11 m

Compression ratio Range

18:1

Connecting road length

0.23 m

4.2 Detailed experimental procedure

Due to the diversity of variable parameters of the engine torque (loading engine) and the change of compression ratio of five different diesel fuel blends, a limited number of them were only tested in our investigation. To obtain accurate results and obtain the approximate value for computations, the measurements were repeated.

In this study, five different ethanol/diesel fuel blends are being investigated, with one of them being pure diesel fuel and the others using different percentages of absolute ethanol blended with diesel fuel. This study aims to evaluate the effect of these different fuel blends on engine performance and emissions, and determine which blend may offer the best results. In this study, the test fuels used in the experiment include E0, E5, E10, E15 and E20 at three different compression ratios (16, 17, and 18) and five different torque levels (0, 6, 11, 16, and 21) while maintaining a constant engine speed of 1,500 rpm. The various ethanol blend amounts with diesel fuel samples and pure diesel fuel alone are illustrated in Figure 4. Before starting the engine, the compression ratio needs to be set at 16. The engine performance was analyzed. The engine was given a "purge period" of 15 minutes before collecting data for a new experiment with a different fuel. This is likely to ensure that any remaining fuel from the previous test is used up and does not affect the results of the new experiment.

To measure exhaust gas emissions, use a sample probe that is connected to the engine exhaust gas system's outlet. This probe will collect a sample of the exhaust gas, which can then be analyzed to determine the emissions levels. Additionally, use a smoke probe to monitor the amount of smoke present in the exhaust gas. The smoke probe can be attached to the engine exhaust gas pipe's output, and it will measure the amount of smoke in the exhaust gas. This data can provide additional information about the emissions levels and the performance of the engine. The thermocouple is installed close to the exhaust valve in the exhaust manifold to measure the exhaust gas temperature. The working plans of our investigations are summarized in Figure 5.

Prior to conducting engine experiments, fuel chemical examinations were conducted by enterprises and the quality control center in Sulaymani city. Table 2 displays the chemical analysis results for the five types of fuel under discussion. The characteristics of both diesel fuels alone and their blends were assessed according to ASTM standards.

Figure 4. Bazian pure diesel fuel and the ethanol blended samples

Figure 5. Experimental procedures

Table 2. The properties of blending diesel fuel

Lab Inspection Data

E0

E5

E10

E15

E20

Density @15℃ (g/ccm)

0.827

0.8255

0.8236

0.8219

0.8195

Cetane Number

47.6

47.9

49.1

51.3

52.3

Flash point (℃)

56.7

58.8

54.7

57.3

56.7

Viscosity @ 40℃ (cSt)

1.8

1.78

1.94

2.1

1.77

Calorific Value (kJ/kg)

45872.12

45894.3

45921.5

45946.17

45980.9

The utilization of ethanol-diesel blends as an alternative fuel has garnered significant attention for several compelling reasons. Here is an overview of the context and background information: Ethanol, derived primarily from renewable sources, offers a sustainable and environmentally friendly option due to its continuous production capability. Compared to diesel fuel, ethanol exhibits lower CO2 emissions, making it a cleaner-burning fuel that undergoes more complete combustion and reduces the release of greenhouse gases responsible for climate change. The production of ethanol can contribute to reducing dependence on imported fossil fuels, enhancing energy security and stability in countries. By promoting the use of domestically produced ethanol, nations can lessen their reliance on foreign oil and stabilize fuel prices. Furthermore, ethanol possesses a higher octane rating than diesel, improving the performance of compression-ignition engines. The blending of ethanol with diesel fuel can enhance engine efficiency and power output, while also reducing engine knock and noise levels. Ethanol can be easily blended with diesel fuel in varying proportions, typically ranging from 5% to 20% ethanol (E5 to E20), allowing for the utilization of existing infrastructure and distribution networks with minimal modifications or investments in the fuel supply chain. Ethanol-diesel blends contribute to meeting strict emissions regulations by reducing NOx emissions. These blends have demonstrated the potential to lower harmful pollutants, thereby improving air quality and public health. The production and blending of ethanol also have positive economic impacts, including job creation in the agricultural and biofuel sectors, as well as diversification of the energy industry with additional revenue streams for farmers and biofuel producers. It is worth noting that the use of ethanol-diesel blends does present challenges, such as compatibility issues with certain engine components, potential corrosion of fuel system materials, and lower energy density compared to pure diesel. Ongoing research and development efforts are being carried out to address these challenges and optimize the performance and reliability of ethanol-diesel blends as a viable alternative fuel.

5. Results and Discussion

The outcomes of an experimental investigation on a diesel engine's combustion performances, exhaust emissions and smoke opacity level of the ethanol/diesel blends were studied and described in the following.

5.1 Brake specific fuel consumption

According to the information presented in Figure 6, as the engine torque increases from 6 Nm to 16 Nm, there is a decrease in brake specific fuel consumption (bsfc) for all type of fuels and compression ratios. The difference in fuel consumption between different fuels becomes more pronounced at a compression ratio of 16, with the highest bsfc recorded for E20 fuel and the lowest for diesel (E0). As the compression ratio increases from 16 to 18, the differentiation in bsfc decreases, and at 18 compression ratio, the highest bsfc is recorded for E15 fuel, and the lowest for E5.

According to the study [18], the bsfc is highest for the E20 blended fuel, followed by E15, E10, E5, and E0. This is primarily due to the lower energy content of ethanol compared to pure diesel, resulting in an increase in bsfc.

The increase in bsfc as the percentage of ethanol in the fuel blends rises can be attributed to the lower energy content of ethanol compared to pure diesel. Ethanol has a lower heating value than diesel, indicating that it contains less energy per unit mass. Consequently, as the proportion of ethanol in the fuel blend increases, the overall energy content of the fuel decreases. As the percentage of ethanol increases in the blend, the engine must consume more fuel to maintain its power output, leading to higher fuel consumption. This relationship is evident in the higher bsfc values observed for ethanol-blended fuels compared to pure diesel (E0). A higher bsfc value indicates greater fuel consumption.

Figure 6. The effect of engine torque on brake specific fuel consumption at various compression ratios

Figure 7. Effect of engine torque on the brake specific fuel consumption for different compression ratio at E20

Figure 8. The relationship between brake-specific fuel consumption and torque at various compression ratios

In Figure 7, the relationship between engine torque and brake specific fuel consumption of an E20 ethanol-diesel blend at various compression ratios is shown. The highest bsfc was observed when the compression ratio was 16 and the torque was low. However, as the torque increased, the differences in bsfc values between the various compression ratios became similar because the engine was operating near its maximum power output, where combustion efficiency remains constant.

Figure 8 clearly demonstrates that there is a considerably closer relationship between the measured and practical values when the compression ratio is increased. The graph illustrates how changes in compression ratio can affect fuel consumption at different levels of torque. If there is good agreement between theoretical and practical bsfc data, it indicates that the engine is likely operating at an efficient level.

5.2 Brake thermal efficiency

The graph presented in Figure 9 showcases how the engine torque and brake thermal efficiency of diesel and ethanol-diesel blends and all compression ratio. As the torque increases, the brake thermal efficiency values for all blended fuels improve. Among the blended fuels, E0 diesel fuel exhibits the highest brake thermal efficiency, followed by E5, E10, E15, and E20 diesel fuel blends. The reason for this trend is the higher oxygenating content in the blended diesel fuels, which boosts the oxidation process. Assanis et al. [19] reported these findings in 2003.

Figure 9. The relationship between engine torque and brake thermal efficiency at various compression ratios

Figure 10. The relationship between engine torque and brake thermal efficiency for E20

Figure 10 displays how the engine torque and brake thermal efficiency of an E20 ethanol-diesel blend are related at different compression ratios. The study's findings reveal that the E20 ethanol-diesel blend is most efficient in terms of ƞbth when the compression ratio is 18, as the highest ƞbth was achieved at this compression ratio. However, as the torque increased, the differences in ƞbth values between compression ratios became less distinct. This suggests that at high torque levels, factors such as fuel injection timing, air-fuel ratio, and combustion chamber design may have a more significant impact on ƞbth than the compression ratio.

Figure 11 illustrates the theoretical and practical values of brake thermal efficiency and torque for different compression ratios. As the compression ratio increases, the difference between the theoretical and practical values decreases. This indicates that when the compression ratio is increased, the error in ƞbth between the two values is reduced.

5.3 Mechanical efficiency

Figure 12 illustrates the impact of engine torque and compression ratios on the mechanical efficiency of different diesel fuel blends while keeping the speed constant. The results demonstrate that ƞm increases when engine torque rises, primarily due to the increase in power, while frictional power remains stable. The study also revealed that, for a compression ratio of 17, E20 blends had superior ƞm, irrespective of the applied torque level.

Figure 11. The relationship between brake thermal efficiency and torque at various compression ratios

However, for compression ratios of 16 and 18, the ƞm varied at different torque points. The increase in the concentration of E20 in the blends resulted in a rise in viscosity, leading to improved ƞm, according to the study of Chhabra [20]. Frictional power loss is a significant factor affecting ƞm, representing the energy consumed due to friction between moving components in the engine. These frictional losses play a role in reducing the overall mechanical efficiency. Changes in fuel type and compression ratio can impact frictional power and, consequently, mechanical efficiency. The characteristics of the fuel, influence frictional losses. Some fuels incorporate additives that decrease friction and enhance lubrication, leading to reduced frictional power loss. The compression ratio also influences ƞm. A higher compression ratio can optimize fuel combustion by facilitating improved air-fuel mixing and more thorough combustion. This optimization minimizes wasted energy and decreases unburned fuel, ultimately resulting in lower frictional losses and improved ƞm.

Figure 12. The relationship between engine torque and mechanical efficiency at various compression ratios

Figure 13. The relationship between mechanical efficiency and torque at various compression ratios

Figure 13 presents a comparison of both practical and theoretical data for mechanical efficiency at different levels of torque. The comparison indicates that there is little variation in mechanical efficiency between practical and theoretical data at lower torque levels. However, as the torque increases, the difference between practical and theoretical data becomes more pronounced. This suggests that theoretical models may not accurately predict mechanical efficiency at high loads. Additionally, the comparison suggests that compression ratio has an impact on mechanical efficiency. Specifically, as the compression ratio increases, the difference between practical and theoretical data decreases. This outcome suggests that compression ratio is an important factor to consider when using theoretical models to predict mechanical efficiency.

5.4 Indicate mean effective pressure

The correlation between engine torque and indicated mean effective pressure at a compression ratio of 16 is illustrated in Figure 14. In general, when the engine torque is high, the imep is also high due to the increased force on the pistons during the power stroke. However, the relationship between torque and imep can differ based on the properties of the fuel being used. If an ethanol-diesel fuel blend is employed, the addition of ethanol can enhance the combustion efficiency by raising the oxygen content and possibly increasing the imep. E20 blend, for instance, generates more imep. The relationship between torque and imep is more intricate for diesel-ethanol blends. At lower engine torque values, the imep is slightly higher for the diesel-ethanol blend compared to pure diesel fuel, which could be due to improved combustion efficiency resulting from the ethanol addition.

Figure 15 illustrates the non-linear correlation between indicated mean effective pressure and torque across various compression ratios, both in practical and theoretical scenarios. Notably, increasing the compression ratio reaches a threshold beyond which further increases will actually lead to a decrease in imep. It is worth mentioning that the discrepancy between practical and theoretical data on indicated mean effective pressure at higher compression ratios is less.

Figure 14. The impact of engine torque on the indicated mean effective pressure

Figure 15. The relationship between indicated mean effective pressure and torque at various compression ratios

5.5 Exhaust gas temperature

Figure 16 depicts how exhaust gas temperatures differ among various diesel blends at different engine loads.

Figure 16. Effect of engine load on variation of exhaust gas temperature at 16 compression ratio

Figure 16 showing us the exhaust gas temperature for blends E5, E10, E15, and E20 is lower than that of diesel alone (E0), with values of 419℃, 421℃, 423℃, and 424℃ respectively, under full load conditions. In comparison, the Texh of neat diesel at full load is 426℃. When ethanol is blended with diesel, the overall energy content of the blend decreases, potentially resulting in lower exhaust gas temperatures. The decrease in Texh associated with increased ethanol concentration is influenced by the high evaporative heat and lower heating values of ethanol, which extract heat from the combustion space. As a consequence, the Texh is highest for diesel fuel.

6. Engine Emissions

6.1 Carbon monoxide

The correlation between the quantity of carbon monoxide discharged and the engine's load is demonstrated in Figure 17. The graph plots the changes in CO emissions as the engine's load increases, with the x-axis indicating the engine load and the y-axis indicating the CO emissions.

According to the data presented in Figure 17, the CO emissions decrease at first as the load increases for all fuel blends, but then sharply rise up to full load due to insufficient mixing of air and fuel. This leads to incomplete combustion and consequently higher CO emissions.

The presence of oxygen in ethanol's molecular structure enhances combustion, leading to decreased emissions of carbon monoxide. Blending ethanol with diesel fuel can help lower CO emissions when compared to using pure diesel fuel alone. This aligns with efforts to reduce CO emissions, improve air quality, and address climate change. The utilization of ethanol/diesel blends is in line with emissions regulations and strategies aimed at reducing CO emissions.

Figure 17. Variations in carbon monoxide emissions with load at various compression ratios

6.2 Carbon dioxide

Figure 18 shows that when the engine load is raised, both diesel fuel and ethanol diesel blends emit more carbon dioxide. This is because higher in-cylinder temperature, greater oxygen availability, and full fuel combustion all contribute to this effect. Conversely, at lower engine loads, carbon dioxide emissions decrease due to a poorer combustion rate resulting from a leaner mixture and cooling effects.

Compared to diesel fuel, ethanol has a lower carbon-to-hydrogen ratio, which means it contains more oxygen and less carbon per unit of energy. Blending diesel with ethanol can improve the combustion process, thereby reducing CO2 emissions. However, increasing the proportion of ethanol in the blend may result in decreased fuel efficiency and increased CO2 emissions due to higher fuel consumption under certain load conditions.

Thus, while an increase in ethanol content in a diesel blend could potentially reduce CO2 emissions, the relationship between the two is complex and depends on multiple factors that need to be carefully considered to accurately predict actual emissions.

Reducing CO2 emissions and maintaining fuel efficiency are closely linked, but when higher concentrations of ethanol are added to fuel blends, there can be trade-offs. Increased ethanol content reduces the available energy per unit volume, leading to higher fuel consumption for the same power output, potentially negating CO2 emission reductions. Although ethanol can enhance combustion efficiency and reduce CO2 emissions in certain cases, higher concentrations may lead to suboptimal combustion.

6.3 Hydrocarbon

Figure 19 displays how hydrocarbon emissions vary with engine load for both ethanol-diesel blends and diesel fuel alone. Regardless of the fuel used, HC emissions tend to be lower at low engine loads but increase as engine load increases. The reason for this is that ethanol's vaporization is hindered by its high latent heat of vaporization, which results in lower combustion temperatures and incomplete combustion, leading to increased HC formation.

The emission of hydrocarbons can be reduced by increasing the compression ratio of the engine, which in turn reduces the delay between ignition and combustion. This leads to a smaller amount of fuel accumulating in the combustion chamber, resulting in lower HC emissions, as noted by studies [21-23].

Unburned hydrocarbons are a significant factor in air pollution. By raising the compression ratio, the air-fuel mixture becomes denser and more effectively mixed, facilitating improved combustion. This results in decreased emissions of unburned hydrocarbons, thereby reducing the amount of hydrocarbon pollutants released from the engine. Increasing the compression ratio enables the use of leaner air-fuel mixtures during combustion. Lean mixtures have a higher proportion of air compared to fuel. Lean-burn combustion minimizes hydrocarbon emissions because there is less fuel available to generate unburned hydrocarbons.

Figure 18. Variations in carbon dioxide emissions with load at various compression ratios

Figure 19. Variations in hydrocarbon emissions with load at various compression ratios

6.4 Oxygen emission

The relationship between the engine load on oxygen emissions as shown in Figure 20, as we can see when the engine load is increased, the amount of O2 in the exhaust gas tends to decrease, while at lower loads, the amount of O2 in the exhaust gas more. When the engine load is low, less fuel is injected, resulting in a relatively high level of O2 needed for combustion. Conversely, when the engine load is high, more fuel is injected, which requires more O2 for combustion, leading to a reduction in oxygen levels within the engine. However, it should be noted that the correlation between engine load and O2 emissions is not a linear relationship.

The impact of mixing ethanol with diesel on O2 emissions is influenced by the concentration of ethanol in the blend and the engine technology employed. When ethanol is blended with diesel in small quantities like E5 or E10 blends, there is usually minimal impact on O2 emissions. Nonetheless, when higher concentrations of ethanol are used, such as E15 or E20 blends, the O2 content of the fuel increases, which can reduce CO and HC emissions by improving the combustion of diesel fuel.

The utilization of ethanol/diesel blends and compression ratio can significantly impact the release of oxygen emissions. Incorporating ethanol into diesel fuel raises the oxygen content in the blend, facilitating enhanced fuel oxidation during combustion. Consequently, this promotes more thorough burning of the fuel. Furthermore, higher compression ratios can elevate combustion temperatures and pressures, thereby facilitating improved mixing of fuel and air and more complete combustion. The findings concerning ethanol/diesel blends and compression ratio have significant implications for emissions regulations and strategies aimed at mitigating oxygen emissions. Understanding the impact of these factors can assist in formulating emissions standards that encourage the adoption of ethanol/diesel blends and optimize compression ratios to achieve overall emission reduction goals.

Figure 20. Variations in oxygen emissions with load at various compression ratios

6.5 Nitrogen oxide emissions

Figure 21 depicts the correlation between engine load and NOx, at 1500 rpm engine speed, using different diesel blends with ethanol and diesel alone at various compression ratios. The results showed that as engine load increases, the NOx value also increases. This is because high engine loads cause an increase in temperature and pressure inside the engine cylinder, resulting in more NOx emissions. The addition of ethanol to diesel blends can lower NOx emissions due to its higher oxygen content, leading to more complete combustion and less soot and particulate matter. However, the impact of ethanol on NOx emissions may vary based on the blend ratio and operating conditions. Higher ethanol blend ratios may lead to increased engine loads to maintain the same power output, resulting in higher NOx emissions due to the fuel's lower energy content. Conversely, diesel alone has higher NOx emissions than diesel blends with ethanol because of its higher combustion temperature and pressure.

Balancing the reduction of NOx emissions with the maintenance of ethanol/diesel fuel efficiency entails trade-offs, particularly when higher ethanol blend ratios are utilized. Using higher ethanol blend ratios requires larger fuel volumes to achieve equivalent energy content compared to pure diesel fuel. Consequently, the engine load may increase to compensate for the lower energy density of ethanol. This elevated engine load can raise combustion temperatures and pressures, thereby increasing the likelihood of heightened NOx emissions. Additionally, ethanol exhibits a higher heat of vaporization than diesel, necessitating more energy for evaporation during combustion. This characteristic can impact the mixing of fuel and air as well as the combustion process, potentially influencing combustion efficiency. Inefficient combustion may lead to incomplete fuel oxidation, resulting in increased emissions of CO and unburned hydrocarbons without necessarily reducing NOx emissions.

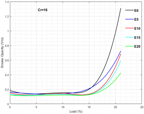
6.6 Smoke opacity

Smoke opacity is the extent to which smoke blocks light, hindering visibility. It is a gauge of the quantity of particulate matter in the exhaust gas produced by an engine or combustion system. Greater smoke opacity indicates a greater presence of particulate matter, which can have adverse environmental effects and suggest inadequate combustion.

Figure 21. Variation of NOx emissions with load at various compression ratios

Figure 22 illustrates how the relationship between engine load and smoke opacity changes when various diesel/ethanol blends and diesel alone are used at different compression ratios. The figure indicates that the use of diesel-ethanol blends has a beneficial impact on decreasing smoke opacity in comparison to diesel alone. Additionally, the reduction in smoke opacity is more significant when the percentage of ethanol in the blend is increased. This can be attributed to the fact that ethanol has a higher oxygen content and a lower carbon/hydrogen ratio compared to diesel, leading to more efficient combustion and fewer particulate emissions during the combustion process. Furthermore, the level of smoke opacity can also be influenced by the engine load. Increasing engine load results in higher smoke opacity due to the increased amount of fuel being burned and less time available for complete combustion. This also causes a higher concentration of particulate matter in the exhaust as more fuel is injected into the engine. Increasing the compression ratio in diesel engines can have a significant impact on the combustion process and emissions. While it has the potential to improve combustion and reduce smoke opacity, it can also have adverse effects if the compression ratio is too high. In such cases, it may lead to an increase in NOx emissions, which can contribute to smoke opacity.

Figure 22. Variation of smoke opacity with load at various compression ratios

Increasing the proportion of ethanol in diesel fuel has the potential to be a viable strategy for reducing smoke opacity and improving air quality. Our findings regarding ethanol/diesel blends and engine load can have an impact on emissions regulations by offering insights into potential solutions for mitigating smoke opacity. As a way to reduce smoke opacity and total particle emissions from diesel engines, our findings may be used to justify providing incentives for the usage of ethanol/diesel blends. Promoting the use of ethanol/diesel blends can be an effective approach in this regard. Additionally, research endeavors can concentrate on advancing combustion technologies to enhance the efficiency and cleanliness of diesel engines. This could involve advancements in fuel injection systems, engine design, aftertreatment systems, and the exploration of alternative fuels.

7. Conclusions

The current study draws the following conclusions:

(1) When the compression ratio is increased, the relationship between measured and practical brake specific fuel consumption values becomes closer.

(2) E20 blended fuel exhibits the highest brake specific fuel consumption value.

(3) The brake thermal efficiency values for all blended fuels improve as torque increases.

(4) E0 diesel fuel has the highest brake thermal efficiency, followed by E5, E10, E15, and E20 diesel fuel blends.

(5) The most efficient blend in terms of brake thermal efficiency is E20 at a compression ratio of 18.

(6) Under full load conditions, exhaust gas temperature is low for E5, E10, E15, and E20 blends compared to E0, with values of 419℃, 421℃, 423℃, and 424℃ respectively, while E0 has an exhaust gas temperature of 426℃.

(7) Ethanol/diesel fuel blends result in decreased carbon monoxide emissions, reduce the percentage of nitrogen oxide emissions in the exhaust, increasing the emission of oxygen, lower smoke opacity, and increased carbon dioxide emissions.

(8) Increasing the compression ratio of the engine can reduce hydrocarbon emissions.

Our provided results have implications for engine design and fuel selection, as well as potential strategies to enhance engine efficiency and reduce emissions. The efficiency of engines could be improved by utilizing higher compression ratios. Engine designers might need to optimize the fuel blend composition to achieve better efficiency. It's important to note that blended fuels, especially the ethanol/diesel blend, tend to perform better in terms of thermal efficiency under higher load conditions, thereby enhancing engine performance. To maximize thermal efficiency, engine designers should consider optimizing the blend composition. Furthermore, a specific combination of blend and compression ratio can lead to optimal engine efficiency, which should be taken into account during the design process for maximum efficiency. The ethanol/diesel blend has two notable effects. Firstly, it results in lower exhaust gas temperatures, which could influence engine cooling system design and materials selection. Secondly, it can have positive effects on emissions, although it may also contribute to increased carbon dioxide emissions. To minimize emissions, engine designers can focus on optimizing compression ratios. These findings can guide engine designers in optimizing engine design and fuel selection for improved efficiency and reduced emissions. However, further research and testing are necessary to validate these findings and explore their specific implications for different engine types and operating conditions.

Based on our findings, there are multiple potential avenues for future research aimed at better understanding the connections between engine performance parameters and emissions. It is crucial to conduct comprehensive analysis of emissions in order to develop a deeper understanding of the impact of fuel blends and compression ratios on pollutant emissions. Further investigation is required to optimize the composition of fuel blends by exploring different ratios of ethanol, diesel, and other potential additives. By examining the effects of various blend compositions on both engine performance and emissions, we can gather valuable insights. While our current findings primarily focus on ethanol blends, it is important to explore alternative fuel sources and technologies. Future research could delve into the effects of different biofuels, synthetic fuels, hydrogen, and electrification technologies on engine performance and emissions. This research will aid in identifying the most promising pathways toward achieving sustainable transportation. To bridge the gap between laboratory testing and real-world performance, future studies should prioritize evaluating engine performance and emissions under representative driving conditions. Field studies and on-road measurements can provide valuable insights into the challenges and opportunities associated with engine design, fuel selection, and emissions reduction in real-world scenarios.

Nomenclature

Cr

Compression ratio

N

Engine speed, (rpm)

T

Torque, (Nm)

A

Surface Area, (m2)

L

Stroke Length, (m)

k

No. of cylinder

n

N/2 for 4 stroke

$\dot{m}_f$

Fuel consumption

t

Time, (s)

Vf

Volume of fuel, (m3)

Va

Actual volume, (m3)

Vd

Displacement volume, (m3)

Greek symbols

Ƞm

Mechanical efficiency, %

Ƞbth

Brake thermal efficiency, %

ρf

Density of fuel, (kg/m3)

Ƞv

Volumetric efficiency, %

Ƞith

indicated thermal efficiency, %

Subscripts

bp

Brake power, (kW)

ip

Indicated power, (kW)

bmep

Brake mean effective pressure, (bar)

imep

Indicated mean effective pressure, (bar)

CO

Carbon monoxide, (%)

CO2

Carbon dioxide, (%)

HC

Hydrocarbon, (ppm)

O2

Oxygen, (%)

NOx

Nitrogen oxide, (ppm)

E

Ethanol

Tex

Exhaust gas temperature, ()

CN

Cetane number

OPABOX

Opacimeter box

ASTM

American Society for Testing and Materials

VCR

Variable Compression Ratio

fp

Friction power, (kW)

fmep

Friction mean effective pressure, (bar)

CV

Calorific value, (kJ/kg)

PM

Particular matter

  References

[1] Pulkarbed W.W. (1997). Engineering fundamental of the internal combustion engine. University of Wisconsin, New Jersey.

[2] Taylor, C.F. (1985). The Internal Combustion Engine in Theory and Practice: Combustion, Fuels, Materials, Design. The MIT Press. http://dx.doi.org/10.7551/mitpress/3851.001.0001 

[3] Wrage, K.E., Goering, C.E. (1980). Technical feasibility of diesohol, Transactions of the ASAE, 23(6): 1338-1343. https://doi.org/10.13031/2013.34775

[4] Selvakumar, R., Nithiyananadam, T., Senthilkumar, P. (2015). Theoretical model to predict the ignition delay and its effects on performance and emission characteristics of biodiesel fueled diesel engine. Journal of Chemical and Pharmaceutical Sciences, JCHPS Special, (6): 19-23.

[5] Hansen, A.C., Zhang, Q., Lyne, P.W. (2005). Ethanol–diesel fuel blends––a review. Bioresource Technology, 96(3): 277-285. http://dx.doi.org/10.1016/j.biortech.2004.04.007

[6] Speight, J.G. (2019). Handbook of Industrial Hydrocarbon Processes, 2nd Edition. Gulf Professional Publishing.

[7] Tangöz, S., Akansu, S.O., Kahraman, N., Malkoç, Y. (2015). Effects of compression ratio on performance and emissions of a modified diesel engine fueled by HCNG. International Journal of Hydrogen Energy, 40(44): 15374-15380. https://doi.org/10.1016/j.ijhydene.2015.02.058

[8] Datta, A., Mandal, B.K. (2016). Effect of compression ratio on the performance, combustion and emission from a diesel engine using palm biodiesel. In AIP Conference Proceedings, 1754(1): 050005. https://doi.org/10.1063/1.4958396

[9] EL_Kassaby, M., Nemit_allah, M.A. (2013). Studying the effect of compression ratio on an engine fueled with waste oil produced biodiesel/diesel fuel. Alexandria Engineering Journal, 52(1): 1-11. https://doi.org/10.1016/j.aej.2012.11.007

[10] Khalefa, R.A. (2013). Performance of a Small 4-Stroke Single Cylinder Diesel Engine Under Effect of the Friction Losses. International Journal of Applied Engineering Research, 8(6): 675-687.

[11] Prasad, S.D., Rao, G.V., Murthy, K.S.R. (2013). Effect of diesel-ethanol blends on performance of a diesel engine at different injection pressures. International Journal of Scientific & Engineering Research, 4(6): 1223-1231. 

[12] Vijayan, N. (2013). Performance and emission characteristics of diesel engine fuelled with diesel-biodiesel-ethanol blends. Biomass and Bioenergy, 4: 1-8.

[13] Sandalcı, T., Karagöz, Y., Orak, E., Yüksek, L. (2014). An experimental investigation of ethanol-diesel blends on performance and exhaust emissions of diesel engines. Advances in Mechanical Engineering, 6: 409739. http://dx.doi.org/10.1155/2014/409739

[14] Bilgin, A., Durgun, O., Sahin, Z. (2002). The effects of diesel-ethanol blends on diesel engine performance. Energy Sources, 24(5): 431-440. https://doi.org/10.1080/00908310252889933

[15] Al-Hassan, M., Mujafet, H., Al-Shannag, M. (2012). An experimental study on the solubility of a diesel-ethanol blend and on the performance of a diesel engine fueled with diesel-biodiesel-ethanol blends. Jordan Journal of Mechanical & Industrial Engineering, 6(2): 147-153.

[16] Suyambazhahan, S. (2019). Experimental investigation of performance, emissions and combustion on 4 stroke single cylinder direct injection compression ignition (Dici) engine using diesel blends. International Journal of Recent Technology and Engineering (IJRTE), 8(1): 3442-3449.

[17] Ullman, T.L., Mason, R.L., Montalvo, D.A. (1990). Effects of fuel aromatics, cetane number, and cetane improver on emissions from a 1991 prototype heavy-duty diesel engine. SAE Transactions, 99(4): 1092-1109.

[18] Venkata Subbaiah, G., Raja Gopal, K., Altaf Hussain, S. (2010). The effect of biodiesel and bioethanol blended diesel fuel on the performance and emission characteristics of a direct injection diesel engine. Iranian (Iranica) Journal of Energy & Environment, 1(3): 211-221.

[19] Assanis, D.N., Filipi, Z.S., Fiveland, S.B., Syrimis, M. (2003). A predictive ignition delay correlation under steady-state and transient operation of a direct injection diesel engine. Journal of Engineering for Gas Turbines and Power, 125(2): 450-457. https://doi.org/10.1115/1.1563238 

[20] Chhabra, M. (2014). Performance characteristics of automotive diesel engine fueled with diesel and blends of biodiesel produced from waste soybean cooking oil. Archives of Applied Science Research, 6(5): 163-171.

[21] Kalam, M., Masjuki, H.H. (2004). Emissions and deposit characteristics of a small diesel engine when operated on preheated crude palm oil. Biomass and Bioenergy, 27(3): 289-297. https://doi.org/10.1016/j.biombioe.2004.01.009

[22] Nagaraja, S., Sakthivel, M., Sudhakaran, R. (2012). Comparative study of combustion, performance and emission characteristics of variable compression ratio engine fuelled with diesel, corn oil methyl ester and palm oil methyl ester. Journal of Renewable and Sustainable Energy, 4: 063122. https://doi.org/10.1063/1.4768543

[23] Nagaraja, S., Sakthivel, M., Sudhakaran, R. (2013). Combustion and performance analysis of variable compression ratio engine fueled with preheated palm oil-diesel blends. Indian Journal of Chemical Technology, 20(3): 189-194.