MHD Mixed Convective Heat Transfer of Cu-Al2O3 Water Hybrid Nanofluid over a Stretching Wedge with Ohmic Heating

MHD Mixed Convective Heat Transfer of Cu-Al2O3 Water Hybrid Nanofluid over a Stretching Wedge with Ohmic Heating

AbdElNasser S. Mahdy Taghreed H. Al-ArabiAhmed M. Rashad Wafaa Saad 

Department of Mathematics, Faculty of Science, South Valley University, Qena 82325, Egypt

Department of Mathematics, Faculty of Science, Taibah University, P.O. Box 344 Al-Madinah Al-Munawara, Saudi Arabia

Department of Mathematics, Faculty of Science, Aswan University, Aswan 81528, Egypt

Corresponding Author Email: 
tarabi@taibahu.edu.sa
Page: 
475-481
|
DOI: 
https://doi.org/10.18280/ijht.400215
Received: 
27 December 2021
|
Revised: 
10 March 2022
|
Accepted: 
16 March 2022
|
Available online: 
30 April 2022
| Citation

© 2022 IIETA. This article is published by IIETA and is licensed under the CC BY 4.0 license (http://creativecommons.org/licenses/by/4.0/).

OPEN ACCESS

Abstract: 

The main purpose of the current article is present exploration scrutinizes a numerical simulation for the magneto-mixed convection flows of hybrid nanofluid over a stretching wedge with Ohmic heating applying Tiwari and Das model. Proper dimensionless variables are applied the governing PDEs which are solved numerically using Matlab program. The obtained results of velocity and temperature profiles for several key parameters are portrayed and construed in detail. It has been observed that the amount of skin friction coefficient and the Nusselt number of the hybrid liquid nano improve and increase with the increase of the nanoparticle size fraction, magnetic field, mixed load, and wedge angle while it decreases when we increase the velocity ratio and increases with the increase of the Nusselt number.

Keywords: 

mixed convection, MHD, hybrid nanofluid, ohmic heating

1. Introduction

Mixed convection flow occurs when natural convection and forced convection technique work with each other to transfer heat. The study of the flow and heat transfer has great practical applications in the field of technology and science. Mixed convection flow over a stretching surface is one of these studies that play an important role in engineering, petroleum and agriculture industries like ion exchange columns, heat-treated materials operating between rolls or on a conveyor belt, materials production by extrusion processes, distillation towers, solar power absorbers and subterranean chemical waste migration etc. [1-9] are some of the studies that concentrate on the mixed convective flow over a perpendicular stretching surface in various cases. The study of the magnetic properties and behavior of electrically conducting fluids is called "Magnetohydrodynamics". This word has come from magneto which means magnetic field, hydro- which means water, and dynamics which mean movement. Saltwater, plasmas, liquid metals and electrolytes are examples of such magnetofluids. Alfvén [10] who is starting MHD. Mahdy and Nabwey [11] reported a numerical analysis of buoyancy-driven nanoliquid flow of gyrotactic time-mixed bioconvection heat transfer in stagnation domain of an impulsively revolving sphere due to convective boundary condition. Ahmed and Mahdy [12] delignated the case of mixed convection flow through an isothermal vertical wedge submersed in saturated porous medium using Buongiorno's nanofluid.

Magnetic fields are vastly utilized in modern metallurgical and metal-working processes like MHD power generators, the cooling of reactors, flow meters and MHD pumps etc. Magnetohydrodynamic debates the induced magnetic features of the electrical conductive fluids. In general, its impact on the stream and heat transfer knows as Lorentz force and Joule heating. Actually, exerting the magnetic field provides the resistance in the stream course and reduce the fluid motion. MHD mixed convective flow over a perpendicular stretching surface has been checked by Kumari and Nath [13] and Ishak et al. [14]. MHD mixed convection flow in an upper sided lid-driven cavity heated by a corner heater which was considered by Oztop et al. [15]. The number of studies associated with mixed convection flow over a wedge is very limited. The numerical results for mixed convection flow over a wedge with variable surface temperature were given by Hossain et al. [16]. The MHD mixed convective mass and heat transfer over a permeable wedge in the existence of a chemical reaction was checked by Muhaimin et al. [17]. MHD mixed convective mass and heat transfer past a permeable wedge was studied by Kandasamy et al. [18] and took into the effects of chemical reaction, thermophoresis, and variable viscosity.

A fluid which contains nanoparticles like (oxides, metals, carbon nanotubes or carbides) suspended in a base fluid like (oil, ethylene glycol, and water) is defined as nanofluid. This technique improves the effective conductivity of the resulting fluid comparing to the base fluid Choi [19] considered the first one introduce nanofluids. This increasing on the nanofluid conductivity depends on various parameters such as volume concentration of nanoparticles, shape, size, and material of nanoparticles, working temperature, and the material of base fluid. Recently, Momin [20] and Suresh et al. [21] have made a new experimental work on reinforcing the thermal conductivity of the prime fluid. it observed a new type called hybrid nanofluid by adding two various types or more of nanoparticles in a base fluid which improve the rate of heat transfer and thermal conductivity of the prime fluid better than nanofluids. For example, Al2O3 seems more chemical stagnation and stabilization than metallic nano particles, so metallic nanoparticles like zinc, aluminum and copper have high thermal conductivities. Hybrid nanofluid have many applications in different engineering fields like micro fluidics, nuclear safety, manufacturing, military, transportation, pharmaceutical, acoustics, naval structures, buildings or cooling of flush-mounted electronic heaters in supercomputers and modern electronic devices. So, due to these benefits of hybrid nanofluid, a lot of researchers are interested to use hybrid nanofluid for developing nanotechnology. Mourad et al. [22] presented a numerical contribution for heat transmit and magneto-hydrodynamic in a fined cold wavy-walled porous cavity with a hot elliptic inner cylinder occupied by hybrid Fe3O4-MWCNT /water nanofluid. Alwawi et al. [23] concerned with natural convection of ethylene glycol-based non-Newtonian nanoliquid and it is affected by a magnetic field along a horizontal circular cylinder. Niihara [24] shown that the thermal and mechanical properties can be significantly enhancement by adding nanoparticles to materials. The advantage of using the nanofluid in the liquid block is greater than pure water this is which was explored by Mehdi Bahiraei et al. [25]. The heat capacity of a fluid increased by single and hybrid nano-additives as show in the works of many researchers [26-28]. The aim of this article is discussing the effect of some parameters on Cu- Al2O3 water hybrid nanofluid flow over a stretching wedge with ohmic heating in the existence of a magnetic field.

2. Mathematical Formulation

Table 1. Thermo-physical properties of Copper and Alumina [29, 30]

Property

Water

Copper Cu

Alumina Al2O3

$\rho$

Cp

k

$\beta$

$\sigma$

$\mu$

997.1

4179

0.613

21x10-5

0.05

8.9x10-4

8933

385

401

1.67x10-5

5.96x107

--

3970

765

40

0.85x10-5

1x10-10

--

Figure 1. Flow model

Consider the problem of steady 2D magneto-hydrodynamic mixed convection flow of hybrid nanofluid Cu-Al2O3 water and heat transfer over a stretching wedge in an animated viscous, incompressible and electrically conducting fluid. As shown from Figure 1, the x-axis is been selected to be the along the wedge surface, and the normal to it is the y-axis. $U=U_{0} x^{m}$ is the velocity of the stream flow far away from the wedge. Uw=UR is the velocity of the stretching of the wedge, were $(R \geq 0). B(x)=B_{0} x^{(m-1) / 2}$ is the magnetic field and applied in the y-direction. The induced magnetic field is neglected due to the assuming that the magnetic Reynolds number is small. The temperature in the external side of the temperature boundary layer is $T_{\infty}$. The stretching wedge surface temperature is $T_{w}=T_{\infty}+b x^{2 m}. \beta=2 m /(m+1)$, is the angle parameter of the wedge and $\Omega=\beta \pi$ for an overall angle of the wedge. $\beta=0$ in the case of the wall is horizontal and $\beta=1$ in the case of the wall is perpendicular. Table 1 shows the properties of thermophysical of the nanoparticles and base fluid [29, 30]. By these assumptions, the equations governing can be written as:

Continuity equation

$\frac{\partial u}{\partial x}+\frac{\partial v}{\partial y}=0$                     (1)

Momentum equation

$u \frac{\partial u}{\partial x}+v \frac{\partial u}{\partial y}=U \frac{d U}{d x}+v_{h n f}\left(\frac{\partial^{2} u}{\partial y^{2}}\right)+g \beta_{h n f}\left(T-T_{\infty}\right) \sin \frac{\Omega}{2}-\frac{\sigma_{h n f} \,\,B^{2}}{\rho_{h n f}}(u-U)$                     (2)

Energy equation

$\left(\rho C_{p}\right)_{h n f}\left(u \frac{\partial T}{\partial x}+v \frac{\partial T}{\partial y}\right)=-\rho_{h n f} u\left(U \frac{d U}{d x}+\frac{\sigma_{h n f}}{\rho_{h n f}} B_{0}{ }^{2} U\right)+\alpha_{h n f}\left(\frac{\partial^{2} T}{\partial y^{2}}\right)+\sigma_{h n f} B^{2} u^{2}$                       (3)

with the boundary conditions

$\left.\begin{array}{c}y=0: u(x, y)=U_{w}, v(x, y)=0 \\ T=T_{w}(x)=T_{\infty}+b x^{2 m} \\ y \rightarrow \infty: u(x, y)=U(x), T(x, y)=T_{\infty},\end{array}\right\}$             (4)

where, u is the component of the velocity along x-direction and v is the component of the velocity along the y-direction. T is the temperature, g is the gravity field, $\beta_{h n f}$ is the thermal expansion coefficient, $\left(\rho c_{p}\right)_{h n f}$ is the specific heat at a fixed pressure, $\mu_{h n f}$ is the viscosity of the hybrid nanofluid, $\alpha_{h n f}$ is the thermal conductivity of the hybrid nanofluid, $v_{h n f}=\mu_{h n f} / \rho{ }_{h n f}$ is the kinematics viscosity of the hybrid nanofluid.

We can define some of the similarity transformations as:

$\left.\begin{array}{c}\psi(x, \eta)=\sqrt{U x v_{f}} f(\eta) \\ \eta=y \sqrt{\frac{U}{v_{f} x}}, \theta(x, \eta)=\frac{T-T_{\infty}}{T_{w}-T_{\infty}}\end{array}\right\}$                (5)

where, $\theta$ is the dimensionless temperature, $f^{\prime}=u / U$ is the dimensionless velocity.

By substituting from Eq. (5) into Eq. (1:3) we get:

$f^{\prime \prime \prime}=\frac{\sigma_{h n f}}{\sigma_{f}}(1-\varphi)^{2.5} \mathrm{M}\left(f^{\prime}-1\right)-\frac{\rho_{h n f}}{\rho_{f}}(1-\varphi)^{2.5}\left(\frac{m+1}{2} f f^{\prime \prime}+m\left(1-f^{\prime 2}\right)+\frac{\beta_{h n f}}{\beta_{f}} \gamma\left(\sin \frac{\Omega}{2}\right) \theta\right)$                         (6)

$\theta^{\prime \prime}=\operatorname{Pr}\left(\frac{k_{h n f}}{k_{f}} \frac{\left(\rho C_{p}\right)_{f}}{\left(\rho C_{p}\right)_{h n f}}\right)^{-1}\left(\frac{\left(\rho C_{p}\right)_{h n f}}{\left(\rho C_{p}\right)_{f}}\left(-\frac{m+1}{2} f \theta^{\prime}+2 m f^{\prime} \theta\right)-E c\left(M \frac{\sigma_{h n f}}{\sigma_{f}} f^{\prime 2}-\left(m \frac{\rho_{h n f}}{\rho_{f}}+\frac{\sigma_{h n f}}{\sigma_{f}} M\right) f^{\prime}\right)\right)$                       (7)

The factors appeared are $\gamma=\frac{G r_{x}}{R e^{2} x}$, $\mathrm{M}=\frac{\sigma_{f} B_{0}^{2}}{\rho_{f} U_{0}}$, $\operatorname{Pr}=\frac{\mu_{f}\left(C_{p}\right)_{f}}{k_{f}}$, $R e_{x}=\frac{U x}{v_{f}}$, $E c=\frac{U^{2}}{\left(C_{p}\right)_{f}\left(T_{w}-T_{\infty}\right)}$, $G r_{x}=\frac{g \beta_{0} f\left(T_{w}-T_{\infty}\right) x^{3}}{v_{f}^{2}}$.

where, $\gamma$ is the mixed convection parameter that refers to the effect of the thermal buoyancy force on the field of the flow, Pr is the Prandtl number, Ec is Eckert number, M is the magnetic parameter, Grx is local Grashof number, Rex is local Reynolds number.

The boundary conditions which defined in Eq. (4), after transformations become:

$\left.\begin{array}{c}f(0)=0, f^{\prime}(0)=R, f^{\prime}(\infty)=1 \\ \theta(0)=1, \theta(\infty)=0,\end{array}\right\}$                     (8)

where, R is the velocity ratio, when R>1 the wedge stretching is faster, when R<1 the wedge stretching slower. The prime refers to the derivative with respect to $\eta$. The physical quantities of interest, local Nusselt number and local skin friction coefficient are defined as:

Skin friction coefficient and Nusselt number are

$C_{f}=\frac{\mu_{h n f}\left(\frac{\partial u}{\partial y}\right)_{y=0}}{\rho_{f} U_{w}^{2}}$

$N u_{x}=-\frac{x k_{h n f}\left(\frac{\partial T}{\partial y}\right)_{y=0}}{k_{f}\left(T_{w}-T_{\infty}\right)}$

Hence

$R e_{x}^{1 / 2} C_{f}=\frac{f^{\prime \prime}(0)}{(1-\varphi)^{2.5}}$

$R e_{x}^{-1 / 2} N u_{x}=-\frac{k_{h n f}}{k_{f}} \theta^{\prime}(0)$                         (9)

3. Thermo-Physical Properties of Regular Nanofluids and Hybrid Nanofluids

The equation of density in nanofluid is:

$\rho_{n f}=(1-\varphi) \rho_{f}+\varphi \rho s \rho_{n f}=(1-\varphi) \rho_{f}+\varphi \rho_{s}$

And in Hybrid nanofluid is:

$\rho_{h n f}=\left(1-\left(\varphi_{s 1}+\varphi_{s 2}\right)\right) \rho_{f}+\varphi_{s 1} \rho_{s 1}+\varphi_{s 2} \rho_{s 2}$

The effective dynamic viscosity of the nanofluid according to the Brinkman model [31] is given by

$\mu_{n f}=\frac{\mu_{f}}{(1-\varphi)^{2.5}}$

where, $\mu_{f}$ is the viscosity of the fluid fraction, so the effective dynamic viscosity of hybrid nanofluid is

$\mu_{h n f}=\frac{\mu_{b f}}{\left(1-\left(\varphi_{s 1}+\varphi_{s 2}\right)\right)^{2.5}}$

The equation of heat capacity in nanofluid is

$\left(\rho c_{p}\right)_{n f}=(1-\varphi)\left(\rho c_{p}\right)_{f}+\varphi\left(\rho c_{p}\right)_{s}$

The equation of heat capacity in hybrid nanofluid is:

$\left(\rho_{C p}\right)_{h n f}=(1-\varphi)\left(\rho c_{p}\right)_{f}+\varphi_{s 1}\left(\rho c_{p}\right)_{s 1}+\varphi_{s 2}\left(\rho c_{p}\right)_{s 2}$

The equation of thermal conductivity in nanofluid for spherical nanoparticles and according to the Maxwell-Garnetts model [28] is defined as:

$\frac{k_{n f}}{k_{f}}=\frac{\left(k_{s}+2 k_{f}\right)-2 \varphi\left(k_{f}-k_{s}\right)}{\left(k_{s}+2 k_{f}\right)+\varphi\left(k_{f}-k_{s}\right)}$

From this, the thermal diffusivity of nanofluid defined as:

$\alpha_{n f}=\frac{k_{n f}}{\left(\rho C_{p}\right)_{n f}}$

The equation of thermal conductivity in hybrid nanofluid if thermal conductivity is defined as according to the Maxwell-Garnetts model should give by

$\frac{k_{h n f}}{k_{f}}=\frac{\frac{\varphi_{s 1} k_{s 1}+\varphi_{s 2} k_{s 2}}{\varphi}+2 k_{f}+2\left(\varphi_{s 1} k_{s 1}+\varphi_{s 2} k_{s 2}\right)-2 \varphi k_{f}}{\frac{\varphi_{s 1} k_{s 1}+\varphi_{s 2} k_{s 2}}{\varphi}+2 k_{f}-\left(\varphi_{s 1} k_{s 1}+\varphi_{s 2} k_{s 2}\right)+\varphi k_{f}}$

So, the thermal diffusivity of hybrid nanofluid given by

$\alpha_{h n f}=\frac{k_{h n f}}{\left(\rho C_{p}\right)_{h n f}}$

The thermal expansion coefficient of the nanofluid can be determined by:

$(\rho \beta)_{n f}=\varphi(\rho \beta)_{s}+(1-\varphi)(\rho \beta)_{f}$

where, $\beta_{f}$ is the coefficient of thermal expansion of the fluid and $\beta_{s}$ for the solid fractions.

For a hybrid nanofluid, the thermal expansion can be defined as follows:

$(\rho \beta)_{h n f}=\varphi_{s 1}(\rho \beta)_{s 1}+\varphi_{s 2}(\rho \beta)_{s 2}+(1-\varphi)(\rho \beta)_{f}$

The effective electrical conductivity of the nanofluid was given by Maxwell [32] as:

$\frac{\sigma_{n f}}{\sigma_{f}}=1+\frac{3\left(\frac{\sigma_{s}}{\sigma_{f}}-1\right) \varphi}{\left(\frac{\sigma_{s}}{\sigma_{f}}+2\right)-\left(\frac{\sigma_{s}}{\sigma_{f}}-1\right) \varphi}$

where, $\varphi=\varphi_{s 1}+\varphi_{s 2}$, and for hybrid nanofluid is given by

$\frac{\sigma_{h n f}}{\sigma_{f}}=1+\frac{3\left(\frac{\varphi_{s 1} \sigma_{s 1}+\varphi_{s 2} \sigma_{s 2}}{\sigma_{b f}}-\varphi\right)}{\left(\frac{\varphi_{s 1} \sigma_{s 1}+\varphi_{s 2} \sigma_{s 2}}{\varphi \sigma_{f}}+2\right)-\left(\frac{\varphi_{s 1} \sigma_{s 1}+\varphi_{s 2} \sigma_{s 2}}{\sigma_{f}}-\varphi\right)}$

4. Results and Discussion

Table 2. Comparison of numerical values of $f^{\prime \prime}(0)$ and $\theta^{\prime}(0)$

M

R

$f^{\prime \prime}(0)$

Su et al. [33]

Present study

0.0

 

3.0

0.1

2

0.1

2

1.024909003

-1.122862620

1.991260941

-2.144131581

1.0249090030

-1.122862620

1.9912609410

-2.1441330609

M

R

-$\theta^{\prime}(0)$

Su et al.[33]

Present study

0.0

 

3.0

0.1

2.0

0.1

2.0

0.626473534

0.878136319

0.786144878

0.407961083

0.626473534

0.878136342

0.786144878

0.407966998

Table 3. Numerical values of skin-friction coefficient and Nusselt number for different parameters when Pr=1

$\varphi$

M

R

$\gamma$

$\beta$

$R e_{x}^{1 / 2} C_{f}$

$R e_{x}^{-1 / 2} N u_{x}$

1%

2.0

0.1

1.0

1.0

2.00055

2.39129

5%

 

 

 

 

2.36538

2.58523

10%

 

 

 

 

2.90624

2.83484

5%

0

 

 

 

1.74447

2.42940

 

1.0

 

 

 

2.08025

2.51840

 

2.0

 

 

 

2.58523

2.58523

 

2.0

0.1

 

 

2.58523

2.58523

 

 

0.5

 

 

1.45502

3.36365

 

 

2.0

 

 

-2.82672

5.58771

 

 

0.1

-2.0

 

1.66258

2.43215

 

 

 

-1.0

 

1.90339

2.48678

 

 

 

0

 

2.13736

2.53762

 

 

 

1.0

 

2.36538

2.58524

 

 

 

2.0

 

2.58814

2.63010

 

 

 

1.0

0

1.60072

1.03198

 

 

 

 

2/3

2.12664

2.00331

 

 

 

 

1.0

2.36538

2.58524

From Table 3 we notice that the quantity of skin friction coefficient of hybrid nanofluid is improved with increasing of nanoparticle volume fraction, magnetic field, mixed convection, and the angle of the wedge whereas decreases when we increase the ratio of the velocity. Also observed the Nusselt number increase with increasing nanoparticle volume fraction, magnetic field, mixed convection, the angle of the wedge, and the ratio of the velocity.The numerical solutions are obtained for many values of physical parameters. Skin friction and Nusselt number coefficients. The ranges of the magnitude of the nanoparticles volume fraction $\varphi$, mixed convection $\gamma$, the angle of the wedge $\beta$ the magnetic field M, and the ratio of the velocity R, used in this study are $\varphi=[0,1]$, $\gamma=[-2,2]$, $\beta=[0,1]$, $M=[0,2]$, $R=[0.1,2]$ respectively. Table 2 shows the obtained outcomes of our study in the case of $\left(\varphi_{s 1}=0\right.$ and $\left.\varphi_{s 2}=0\right)$ and notice that our outcomes are excellent agreement with the last published results of Su et al. [33].

Figure 2 shows the effect of $\gamma$ on $f^{\prime}$ in the case of existence and absence the magnetic field. It shows that $f^{\prime}$ increases as $\gamma$ increases. It can be seen that related boundary layer thickness and the fluid velocity is improved due to increment in values of $\gamma$. This is because of the fact that an improvement in $\gamma$ means an improvement in the buoyancy force through which the fluid velocity is improved. The effect of $\gamma$ on $\theta$ is depicted in Figure 3 in the case of existence or absence the magnetic field. It refers that the profile $\theta$ decreases with increasing in the values of $\gamma$, so the thickness of the thermal boundary layer is decreased. The mixed convection does not exist in the energy equation explicitly; this explains the low reliance of the heat transfer at the surface. Figure 4 shows the impact of m on the velocity profile $f^{\prime}$. It is observed that an increase in the values m leads to that the thickness of the fluid layer and $f^{\prime}$ are decreased.

Figure 5 shows the impact of m on the temperature profile. It is observed that an increase in m leads to a decrease in the temperature profile. Because the angle parameter of the wedge is reliant over the gradient of the pressure, which its values can be negative or positive.

Figure 2. Velocity distributions versus M and $\gamma$

Figure 3. Temperature distributions versus M and $\gamma$

Figure 4. Velocity distributions versus m

Figure 5. Temperature distribution versus m

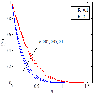
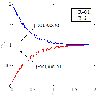
Figure 6. Velocity distribution versus $\varphi$

Figure 7. Temperature distributions versus $\varphi$

Figures 4 and 5 show that the thickness of the velocity and temperature boundary layer in the Cu-water case is less than that in Al2O3-water. Figure 6 shows the effect of volume fraction on the velocity profile as R=0.1 or R=2. It is observed that an increase in the volume fractions leads to that a thickness of the velocity boundary layer is decreased when R=0.1 or R=2. Physically, a varied velocity line is generated by the occurrence of divergent collisions between adjacent particles during fluid diffusion. Moreover, it is found that an increase in the concentration of the nanoparticle improved the resistance among the neighboring layers of moving fluid, which leads to reduce the velocity profile.

Further, Figure 7 Shows the effect of volume fraction on the temperature profile as R=0.1 or R=2. It is observed that an increase in the volume fractions leads to an increase in the temperature profile. This is due to that the exchange of thermal energy in the layer of fluid is enhanced by the dispersion of nanoparticles, that is neighboring to the surface and next neighboring-fluid layers dispersion of nanoparticles. So, results expect that the utilize of nanoparticles can aid to enhance the heat distribution in heat transfer particular equipment and can store energy through the chemical process.

5. Conclusions

The problem of heat transfer by MHD mixed convection of Cu-Al2O3-water hybrid anofluid past over a stretching wedge with Ohmic heating is studied. The governing equations were converted into a similar form. The obtained equations were solved numerically by using the Matlab bvp4c method. The numerical results very agree with the last work. The effects of the different parameters namely magnetic parameter, mixed convection, the angle of the wedge parameter, the ratio of the velocity, the nanoparticles volume fraction, the velocity, temperature profiles as well as the local Nusselt number and the local skin friction coefficients are discussed and shown graphically. From the obtained outcomes of the problem, it was noticed that a rising of the values of the nanoparticles volume fraction, magnetic field, mixed convection and the angle of the wedge parameters resulted in increases in the skin-friction coefficient, local Nusselt numbers whereas the skin-friction coefficient decrease and local Nusselt numbers increase as the ratio of the velocity is an increase.

  References

[1] Chen, C.H. (1998). Laminar mixed convection adjacent to vertical, continuously stretching sheets. Heat Mass Transfer, 33: 471-476. https://doi.org/10.1007/s002310050217

[2] Chen, C.H. (2000). Mixed convection cooling of a heated continuously stretching surface. Heat Mass Transfer, 36: 79-86. https://doi.org/10.1007/s002310050367

[3] Al-Sanea, S.A. (2004). Mixed convection heat transfer along a continuously moving heated vertical plate with suction or injection. International Journal Heat Mass Transfer, 47(6-7): 1445-1465. https://doi.org/10.1016/j.ijheatmasstransfer.2003.09.016

[4] Rashad, A.M., Khan, W.A., EL-Kabeir, S.M.M., EL-Hakiem, A. (2019). Mixed convective flow of micropolar nanofluid across a horizontal cylinder in saturated porous medium. Applied Sciences, 9(23): 5241. https://doi.org/10.3390/app9235241

[5] Ali, M.E. (2007). The effect of lateral mass flux on the natural convection boundary layers induced by a heated vertical plate embedded in a saturated porous medium with internal heat generation. International Journal of Thermal Sciences, 46(2): 157-163. https://doi.org/10.1016/j.ijthermalsci.2006.04.008

[6] Mukhopadhyay, S. (2009). Effect of thermal radiation on unsteady mixed convection flow and heat transfer over a porous stretching surface in porous medium. International Journal Heat Mass Transfer, 52(13-14): 3261-3265. https://doi.org/10.1016/j.ijheatmasstransfer.2008.12.029

[7] Abbas, Z., Wang, Y., Hayat, T., Oberlack, M. (2010). Mixed convection in the stagnation-point flow of a Maxwell fluid towards a vertical stretching surface. Nonlinear Analysis: Real World Applications, 11(4): 3218-3228. https://doi.org/10.1016/j.nonrwa.2009.11.016

[8] Hayat, T., Mustafa, M., Pop, I. (2010). Heat and mass transfer for Soret and Dufour’s effect on mixed convection boundary layer flow over a stretching vertical surface in a porous medium filled with a viscoelastic fluid. Communications in Nonlinear Science and Numerical Simulation, 15(5): 1183-1196. https://doi.org/10.1016/j.cnsns.2009.05.062

[9] Patil, P.M., Roy, S., Chamkha, A.J. (2010). Mixed convection flow over a vertical power law stretching sheet. International Journal of Numerical Methods for Heat & Fluid Flow, 20(4): 445-458. https://doi.org/10.1108/09615531011035839

[10] Alfvén, H. (1942), Existence of electromagnetic-hydrodynamic waves. Nature, 150: 405-406. https://doi.org/10.1038/150405d0

[11] Mahdy, A., Nabwey, H.A. (2020). Microorganisms time-mixed convection nanofluid flow by the stagnation domain of an impulsively rotating sphere due to Newtonian heating. Results in Physics, 19: 103347. https://doi.org/10.1016/j.rinp.2020.103347

[12] Ahmed, S.E., Mahdy, A. (2020). Buongiorno’s nanofluid model for mixed convection flow over a vertical porous wedge with convective boundary conditions. Journal of Porous Media, 23(10): 1001-1014. https://doi.org/10.1615/JPorMedia.2020028850

[13] Kumari, M., Nath, G. (2010). Unsteady MHD mixed convection flow over an impulsively stretched permeable vertical surface in a quiescent fluid. International Journal of Non-Linear Mechanics, 45(3): 310-319. https://doi.org/10.1016/j.ijnonlinmec.2009.12.005

[14] Ishak, A., Nazar, R., Pop, I. (2010). MHD mixed convection boundary layer flow towards a stretching vertical surface with constant wall temperature. International Journal of Heat and Mass Transfer, 53(23-24): 5330-5334. https://doi.org/10.1016/j.ijheatmasstransfer.2010.06.053

[15] Oztop, H.F., Al-Salem, K., Pop, I. (2011). MHD mixed convection in a lid-driven cavity with corner heater. International Journal of Heat and Mass Transfer, 54(15-16): 3494-3504. https://doi.org/10.1016/j.ijheatmasstransfer.2011.03.036

[16] Hossain, M.A., Bhowmik, S., Gorla, R.S.R. (2006). Unsteady mixed-convection boundary layer flow along a symmetric wedge with variable surface temperature. International Journal of Engineering Science, 44(10): 607-620. https://doi.org/10.1016/j.ijengsci.2006.04.007

[17] Muhaimin, I., Kandasamy, R., Khamis, A.B. (2009). Numerical investigation of variable viscosities and thermal stratification effects on MHD mixed convective heat and mass transfer past a porous wedge in the presence of a chemical reaction. Applied Mathematics and Mechanics (English Edition), 30(11): 1353-1364.

[18] Kandasamy, R., Muhaimin, I., Khamis, A.B. (2009). Thermophoresis and variable viscosity effects on MHD mixed convective heat and mass transfer past a porous wedge in the presence of chemical reaction. Heat and Mass Transfer, 45: 703-712. https://doi.org/10.1007/s00231-008-0468-3

[19] Choi, S.U.S. (1995). Enhancing thermal conductivity of fluids with nanoparticles, developments and applications of non-Newtonian flows. Engineers American Society of Mechanical Engineering, 231: 99-105.

[20] Momin, G.G. (2013). Experimental investigation of mixed convection with water Al2O3 & hybrid nanofluid in inclined tube for laminar flow. International Journal of Scientific & Technology Research, 2: 195-202.

[21] Suresh, S., Venkitaraj, K.P., Selvakumar, P., Chandrasekar, M. (2011). Synthesis of Al2O3-Cu-water hybrid nanofluids using two step method and its thermo physical properties. Colloids and Surfaces A: Physicochemical and Engineering Aspects, 388(1): 41-48. http://dx.doi.org/10.1016/j.colsurfa.2011.08.005

[22] Mourad, A., Abderrahmane, A., Mebarek-Oudina, F., Jamshed, W. (2021). Galerkin finite element analysis of thermal aspects of Fe3O4-MWCNT/water hybrid nanofluid filled in wavy enclosure with uniform magnetic field effect. International Communications in Heat and Mass Transfer, 126(3): 105461. http://dx.doi.org/10.1016/j.icheatmasstransfer.2021.105461

[23] Alwawi, F.A., Alkasasbeh, H.T., Rashad, A.M., Idris, R. (2020). Heat transfer analysis of ethylene glycol-based Casson nanofluid around a horizontal circular cylinder with MHD effect. Proceedings of the Institution of Mechanical Engineers, Part C: Journal of Mechanical Engineering Science, 234(13): 2569-2580. http://dx.doi.org/10.1177/0954406220908624

[24] Niihara, K. (1991). New design concept of structural ceramics-ceramic nano composites. Journal of the Ceramic Society of Japan, 99(1154): 974-982. https://doi.org/10.2109/jcersj.99.974

[25] Bahiraei, M., Heshmatian, S. (2017). Efficacy of a novel liquid block working with a nanofluid containing graphene nanoplatelets decorated with silver nanoparticles compared with conventional CPU coolers. Applied Thermal Engineering, 127: 1233-1245. https://doi.org/10.1016/j.applthermaleng.2017.08.136

[26] Bahiraei, M., Heshmatian, S. (2018). Thermal performance and second law characteristics of two new microchannel heat sinks operated with hybrid nanofluid containing grapheneesilver nanoparticles. Energy Conversion and Management, 168: 357-370. https://doi.org/10.1016/j.enconman.2018.05.020

[27] Bahiraei, M., Mazaheri, N. (2018). Application of a novel hybrid nanofluid containing grapheneeplatinum nanoparticles in a chaotic twisted geometry for utilization in miniature devices: thermal and energy efficiency considerations. International Journal of Mechanical Sciences, 138-139: 337-349. http://dx.doi.org/10.1016/j.ijmecsci.2018.02.030

[28] Hayat, T., Nadeem, S. (2017). Heat transfer enhancement with Ag-CuO-water hybrid nanofluid, Results in Physics, 7: 2317-2324. https://doi.org/10.1016/j.rinp.2017.06.034

[29] EL-Zahar, E.R., Rashad, A.M., Saad, W., Seddek, L.F. (2020). Magneto-Hybrid nanofluids flow via mixed convection past a radiative circular cylinder. Scientific Reports, 10: 1-13. https://doi.org/10.1038/s41598-020-66918-6

[30] Mahdy, A., El-Zahar, E.R., Rashad, A.M., Saad, W., Al-Juaydi, H.S. (2021). The magneto-natural convection flow of a micropolar hybrid nanofluid over a vertical plate saturated in a porous medium. Fluids, 6(6): 202. https://doi.org/10.3390/fluids6060202

[31] Brinkman, H.C. (1952). The viscosity of concentrated suspensions and solution. The Journal of Chemical Physics, 20(4): 571-581. https://doi.org/10.1063/1.1700493

[32] Maxwell, J.C. (1873). A Treatise on Electricity and Magnetism, Oxford, UK: Clarendon Press.

[33] Su, X., Zheng, L., Zhang, X., Zhang, J. (2012). MHD mixed convective heat transfer over a permeable stretching wedge with thermal radiation and ohmic heating. Chemical Engineering Science, 78: 1-8.