A Systematic Review and Meta-Analysis of Studies on the Circular Economy in the Textile Industry

A Systematic Review and Meta-Analysis of Studies on the Circular Economy in the Textile Industry

Zhannеt Seisenbayeva* | Gulzhan Isatayeva | Aziza Mergenbayeva | Zhamilya Kydyrova | Darikul Kulanova

Higher School of Management and Business, M. Auezov South Kazakhstan University, Shymkent 160000, Kazakhstan

Faculty of Natural Sciences, South Kazakhstan State Pedagogical University, Shymkent 160000, Kazakhstan

Corresponding Author Email: 
gulzhan.isatayeva@mail.ru
Page: 
511-521
|
DOI: 
https://doi.org/10.18280/ijei.080309
Received: 
14 November 2024
|
Revised: 
6 March 2025
|
Accepted: 
3 April 2025
|
Available online: 
30 June 2025
| Citation

© 2025 The authors. This article is published by IIETA and is licensed under the CC BY 4.0 license (http://creativecommons.org/licenses/by/4.0/).

OPEN ACCESS

Abstract: 

The textile industry is recognized as one of the most environmentally impactful sectors, confronting significant ecological challenges such as elevated carbon emissions, chemical pollution, and extensive waste generation. Shifting toward a circular economy offers promising solutions to minimize waste and improve resource efficiency. This study presents a systematic review of 273 scientific publications (2009-2024) on circular economy issues in textiles. Adopting both quantitative and qualitative (content) analyses, we sourced articles from Scopus and identified leading authors, key journals, and regional distributions of research. Our findings categorize prevailing methodologies (modeling, case studies, conceptual frameworks), levels of analysis (micro, meso, macro), circular economy business models, and emerging trends. A deeper investigation into the 25 most cited articles highlights dominant themes—particularly the social dimensions of sustainability and technological advancements in textile waste recycling. These results suggest that implementing circular economy principles is foundational for sustainably transforming the textile industry, promoting global collaboration, and fostering innovative resource management strategies.

Keywords: 

circular economy, textile industry, systematic review, sustainable development, meta-analysis, waste recycling, environmental sustainability, resource management

1. Introduction

Rapidly growing global demand for textiles places the textile industry among the most environmentally impactful sectors, generating large volumes of carbon emissions, chemical pollutants, and post-consumer waste. According to various estimates, textile production also accounts for a significant share of global water and energy consumption, particularly in dyeing and finishing operations that utilize a broad array of chemical agents [1, 2]. These issues highlight an urgent call for more sustainable practices throughout the textile sector.

In response to heightened environmental concerns and the imperative of resource efficiency, the textile industry is progressively discarding the traditional “production–consumption–disposal” model in transitioning toward a CE. Central to CE is the principle of closed-loop resource utilization and waste minimization, enabling organizations to substantially reduce their ecological footprint. Notably, circular strategies that reintroduce materials back into production loops directly support multiple sustainable development goals [3]. Key CE practices—particularly Product-as-a-Service (PaaS) and Cleaner Production Practices (CPP)—serve as robust foundations for environmentally responsible business models benefiting producers, consumers, and regulators alike [4, 5].

The rapid growth of CE-oriented research in the textile sector underscores the importance of conducting a systematic literature review (SLR). Such a review can pinpoint key trends, expose existing knowledge gaps, and illuminate future avenues for investigation. While systematic reviews provide a critical evaluation of current findings, meta-analyses further strengthen credibility by quantitatively comparing outcomes across multiple investigations, thereby enhancing reliability and generalizability [3, 6-8].

Accordingly, this study offers a holistic analysis of CE implementation in the textile industry by (1) evaluating the relevance of CE concepts to the sector, (2) identifying the most frequently cited authors and outlets influencing the research agenda, and (3) conducting an in-depth content analysis of the 25 most influential publications in this field. Collectively, these objectives provide a comprehensive overview of contemporary CE research, while highlighting strategic directions for advancing both theory and practice in textile industry sustainability.

2. Literature Review

The textile industry stands at a critical nexus of environmental and economic challenges, given its high resource consumption and considerable contributions to pollution and waste. Within this context, the CE model has emerged as a vital approach for driving sustainability goals forward. By focusing on closed material loops, extended product lifespans, and minimized waste, CE effectively addresses contemporary demands for responsible production and consumption. In a comprehensive assessment, Merli et al. [7] demonstrate that circular approaches simultaneously address environmental, economic, and social dimensions of sustainability, allowing firms to remain competitive in evolving markets.

Within textile manufacturing, Cleaner Production Practices (CPP) offer a promising path to reducing environmental degradation and operational inefficiencies [9]. By systematically lowering resource use and emissions, these practices help organizations achieve higher standards of environmental stewardship [4]. Baas [10] and Ho and Lin [5] note that cleaner production not only mitigates ecological harm but also ensures compliance with increasingly stringent global standards. This dual advantage proves especially crucial in export-driven settings like Vietnam and Bangladesh, where adherence to international benchmarks can determine market access.

An expanding body of literature also points to Product-as-a-Service (PaaS) as a transformative business model for textiles [11]. Rather than relying on conventional product sales, PaaS centers on providing services tied to product performance, thereby lowering production volumes and waste streams. Meanwhile, stakeholders—including governments, investors, and end consumers—are placing greater emphasis on transparency and environmental responsibility. Other authors [12] underscore that cultural nuances and regional policies significantly impact CE adoption, necessitating context-specific solutions. In parallel, Ho and Lin [5] and Saha [13] identify robust stakeholder engagement as a key driver of faster and more effective CE implementation.

Despite these promising developments, the literature acknowledges substantial challenges that impede the full potential of circular strategies in textiles. Financial and technological constraints frequently stall progress. Insufficient government support further undermines the adoption of sustainable innovations [14, 15]. Overcoming these hurdles demands coordinated policy initiatives, supportive financial mechanisms, and enhanced technical capacity-building. Against this backdrop, an extensive systematic review and meta-analysis of 273 peer-reviewed articles (2009-2024) aims to distill current research findings, highlight evidence gaps, and propose actionable insights for researchers, policymakers, and industry practitioners committed to advancing circular economy principles in the textile sector.

3. Methodology

In this study, established literature review protocols were selected as the research methodology for conducting a systematic review of CE studies in the textile sector [16]. We employed an integrated research design that combined quantitative methods, focusing on descriptive statistics of publication trends, with qualitative methods, including content analysis of the most cited publications. This approach provides a robust foundation for identifying emerging research gaps [17, 18].

The Scopus database was chosen due to its comprehensive coverage of peer-reviewed sources, stringent selection criteria, and advanced analytical tools [19, 20]. Compared to other platforms such as Web of Science and Google Scholar, Scopus updates its indexing more frequently and maintains high curation standards, thereby reducing the likelihood of including non-scholarly or irrelevant materials [21]. However, relying on a single database may limit the inclusion of regional publications and introduce database bias.

To ensure relevance and precision, we employed a keyword strategy that aimed to minimize irrelevant results. Initially, we tested a broad range of keywords and synonyms (e.g., fashion industry, sustainable production, cleaner production methods), but this resulted in an overly broad scope. After that stage, we finalized the keywords "Circular Economy" and "Textile Industry", applying them to titles, abstracts, and keywords to maintain focus and relevance.

The eligibility criteria included articles published between 2009 and 2024, written in English, and appearing in peer-reviewed journals. While these criteria ensured scientific rigor, they also introduced language and publication biases, potentially excluding valuable studies published in other languages or non-journal formats.

The Preferred Reporting Items for Systematic Reviews and Meta-Analyses (PRISMA) flow diagram (Figure 1) visually summarizes the screening process. Initially, we screened titles and abstracts for explicit references to CE in textiles, removing duplicates and irrelevant entries. The remaining articles underwent full-text assessment, during which studies lacking sufficient methodological detail or explicit discussion of CE were excluded. This process ultimately yielded 273 articles. While rigorous screening enhances the overall quality, it may also unintentionally exclude innovative studies that employ unconventional methods or explore emerging CE concepts.

Figure 1. PRISMA flow diagram

We began by conducting a descriptive analysis of the included studies to examine their chronological output, geographical distribution, leading publication venues, and collaboration networks. Subsequently, a qualitative content analysis followed Mayring’s [22] thematic approach, categorizing articles under recurring CE concepts such as Cleaner Production Practices (CPP), Product as a Service (PaaS), and industrial symbiosis. To enhance both rigor and reproducibility, we applied a meta-analytic lens [23, 24] to identify broader research patterns.

In the final phase, we performed an in-depth examination of the 25 most cited articles, illuminating key insights into social dimensions, policy barriers, and technological developments. Despite comprehensive procedures, the review acknowledges certain limitations. Restricting the dataset to English-language, peer-reviewed articles may exclude valuable non-English research, trade publications, or conference proceedings. Additionally, reliance on a single database—Scopus—could omit regional or emerging sources not indexed therein. Future reviews might broaden their scope to include additional databases, languages, and publication formats, thereby capturing a wider range of CE research in textiles.

Collectively, these elements—data gathering, systematic screening, content analysis, and comprehensive citation-based review—establish a solid framework for examining and interpreting the present landscape of circular economy research in textiles.

4. Results

The dataset comprises 273 scientific articles published between 2009 and 2024 across 132 journals. Although the earliest entry dates to 2009, indicating relatively recent scholarly engagement with this topic, the average annual growth rate of 33.11% over the past 15 years underscores a rapidly expanding focus in the field.

To capture the breadth of investigated themes and approaches, two keyword sources were analyzed: Keywords Plus (2,360 unique terms) and author keywords (900 unique terms). This extensive terminology range reflects the diversity of research methods and subtopics within the CE framework for textiles. Notably, the review identified 1,022 individual authors, yet only 22 produced a sole-authored study, which suggests a high degree of collaboration—about 30% of the publications involved international co-authorship—thereby emphasizing the global significance of CE in the textile sector.

Figure 2 depicts annual scientific productivity from 2009 to 2023, measured by the number of published articles. A notable surge in output begins around 2020, following a relatively modest period of publication from 2009 to 2019. This uptick seems associated with a heightened interest during the COVID-19 pandemic, as researchers and industry experts sought new strategies and innovations to address sustainability challenges in a rapidly evolving global context.

Figure 2. Annual scientific productivity

4.1 Average number of citations by year

Examining publication dates alongside citation data illuminates shifts in scholarly impact over time. Figure 3 shows the dynamics of the average number of citations per publication from 2009 to 2024. Between 2009 and 2016, average citation counts gradually increase, peaking in 2017 and reflecting a surge of interest in circular economy topics within the textile industry. The subsequent decline after 2017 likely reflects the relatively short timeframe for newer publications (e.g., 2023-2024) to accumulate citations, while older articles may have reached a plateau. Such a pattern is typical in academic research, where a lag generally exists between publication and peak citation rates.

Figure 3. Average number of citations by year

4.2 The most significant sources

An H-index analysis shows that Sustainability (Switzerland) leads with 23 CE-related textile articles, reflecting a robust editorial emphasis on sustainability. The Journal of Cleaner Production and Resources, Conservation and Recycling follow with 19 and 16 publications, respectively (see Figure 4). Collectively, these journals occupy a prominent position in driving sustainable development and circular economy research, underscoring a consistent focus on environmental management and resource efficiency. The concentration of articles in these specialized outlets also streamlines literature searches for future researchers, highlighting the rising prominence of sustainability in academic inquiry.

4.3 Primary sources according to Bradford's law

Bradford's law, introduced by Samuel Bradford in 1934, posits that research articles on a given topic tend to cluster within a small number of “core” journals, while the remaining works appear in a much larger set of less prominent outlets [25]. Figure 5 visualizes how these major publication sources follow Bradford’s distribution. The shaded “core sources” region includes Sustainability (Switzerland), the Journal of Cleaner Production, and Resources, Conservation and Recycling, which collectively host a substantial portion of articles on the subject. Because these outlets publish the most sought-after studies, they provide a highly visible platform for cutting-edge research. Further down the graph, each journal features fewer publications, indicating a lower concentration of relevant articles. Hence, the small set of core sources underpins the bulk of published work in the field, while many additional journals contribute fewer documents. This pattern typifies academic publication activity, where a small number of journals dominate the dissemination of research.

Figure 4. The most significant sources

Figure 5. Primary sources according to Bradford's law local influence of sources by H-index

Figure 6 showcases the local influence of various sources, measured through the H-index, a widely recognized metric that gauges a journal’s significance by the number of its publications and citation rates. Experts typically suggest that higher H-index values correspond to greater influence within a field. In this analysis, the Journal of Cleaner Production leads with an H-index of 14, confirming its high citation rate and strong reputation in the scientific community. Sustainability (Switzerland) and Resources, Conservation and Recycling follow with H-index scores of 10 and 8, respectively, underscoring their sustained impact on research areas such as sustainability, ecology, and resource management. Other outlets exhibit a gradual decline in H-index, indicating a narrower audience or fewer influential publications. Nonetheless, journals like Science of the Total Environment and Business Strategy and the Environment continue to enrich discussions surrounding environmental and economic issues, even with comparatively lower H-index scores.

4.4 Most significant authors

Figure 7 highlights the authors with the highest publication counts in this domain. Leading the list, Rana, R. has six articles, reflecting a significant contribution to the field. Cheema, R. follows with five, and Shah, A. with four. Meanwhile, Khan, M. and Rodriguez, L. each have three, underscoring their considerable involvement in shaping ongoing research. Collectively, their strong output underscores an active role in advancing scientific ideas and a prominent influence on this area of study.

Figure 6. Local influence of sources by H-index

Figure 7. Most significant authors

Figure 8. Authors' productivity according to Lotka's law

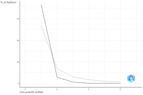
4.5 Authors' productivity according to Lotka's law

Lotka's law serves as an important indicator of author productivity. This principle suggests that most authors—about 75%—publish only one article, a trend reflected by a steep drop in the graph after the initial publication. As an author’s publication count rises, the percentage of such prolific contributors falls significantly, and the curve eventually levels off. Only a small fraction publishes more than three articles, demonstrating higher productivity. Figure 8 illustrates this phenomenon by depicting the distribution of publications per author based on Lotka’s law. The data reveal an uneven spread of scientific output, where a relatively small group accounts for the majority of contributions, and most authors publish less frequently. This pattern, which appears in many scientific fields, underscores the presence of a “core” of active researchers within the subject.

4.6 Distribution of publications by country

Figure 9 displays the geographical distribution of publications in this field. India tops the list with 68 articles, followed by Italy with 61, and both Brazil and the UK recording 47 each. This visualization also reveals that most of the research on the topic originates in European and North American countries, indicating a notable focus in these regions.

Figure 9. Distribution of the number of publications by country

4.7 Content analysis of the 25 most cited publications on the topic of circular economy in the textile industry

The next part of the review is organized using a concept-oriented approach to literature review [26]. In accordance with the research questions presented in the previous sections, we selected the 25 most cited publications for content analysis (Table 1). This selection was based on the high citation rate of the works, which indicates their significance and relevance in the area under study.

During the analysis, we selected publications, defined structural dimensions, and established analytical categories to organize the data. Because each publication could fit into multiple categories, the process enabled a deeper, more nuanced examination. We then mapped structural categories—such as levels of analysis, research types, and methodologies—to corresponding analytical frameworks, yielding a comprehensive overview of circular economy research.

We employed an iterative procedure, beginning with a deductive approach grounded in analytical categories drawn from previous studies. After an initial examination of the materials, we incorporated new categories—including industry focus and waste type—to more precisely capture distinct facets of the circular economy in the textile and fashion sectors.

Table 1. 25 most cited publications on the topic of circular economy in the textile industry

Authors

Publication Title

Total Citations

TC per year

Shirvanimoghaddam et al. [27]

Science of the Total Environment

309

61.80

Franco [28]

Journal of Cleaner Production

304

38.00

Fischer and Pascucci [29]

Journal of Cleaner Production

264

33.00

Gazzola et al. [30]

Sustainability

239

47.80

Koszewska [31]

Autex Research Journal

185

26.43

Moktadir et al. [32]

Business Strategy and the Environment

181

36.20

Yu et al. [33]

Journal of Cleaner Production

165

16.50

Haslinger et al. [34]

Waste Management

137

22.83

Kazancoglu et al. [35]

Sustainable Development

116

23.20

Patti et al. [36]

Polymers

113

28.25

Subramanian et al. [37]

Resources, Conservation and Recycling

103

20.60

Saha [38]

Business Strategy and the Environment

101

25.25

Bukhari et al. [39]

Waste Management & Research

99

14.14

Navone et al. [40]

Waste Management

95

19.00

Mo et al. [41]

Resources, Conservation and Recycling

94

5.88

Quartinello et al. [42]

Microbial Biotechnology

92

11.50

Laitala et al. [43]

Journal of Cleaner Production

87

21.75

Provin and de Aguiar Dutra [44]

Technological Forecasting and Social Change

87

21.75

Ribul et al. [45]

Journal of Cleaner Production

86

21.5

Majumdar et al. [46]

Resources, Conservation and Recycling

84

16.8

Repp et al. [47]

Resources, Conservation and Recycling

78

19.5

Kazancoglu et al. [48]

International Journal of Logistics Research and Applications

75

25

Jain et al. [49]

Resources, Conservation and Recycling

71

11.83

Bressanelli et al. [50]

International Journal of Production Economics

70

23.33

Rovanto and Bask [51]

Business Strategy and the Environment

63

15.75

Table 2. Content analysis of the 25 most cited publications

Category

Description

Related Articles

Methodologies research

Modeling and LCA

Modeling and life cycle assessment methods for environmental impact assessment

[27, 37, 46]

Cases and case-based studies

Case studies and real examples of the application of the CE

[28, 31, 41]

Conceptual and framework developments

Conceptual approaches and development of frameworks for the analysis of the CE

[30, 36, 48]

Types of research and areas of focus

Economic models

Analysis of the economic feasibility and profitability of the CE

[32, 50, 51]

Policy and regulation framework

Research on the impact of policy and regulation on the implementation of digital economy

[29, 41, 44]

Engineering processes and upcycling

Technologies recycling and upcycling

[34, 40, 42]

Levels analysis

Micro level

Research at the level of individual companies and their CE practices

[30, 39, 43]

Meso level

Industry research on the implementation of the digital economy

[28, 31]

Macro level

National level and analysis of the CE policy

[29, 41, 49]

Level chains supplies

Research at the production chain level

[47, 48, 50]

Measurements sustainable development

Ecological impact

Environmental impact including reduction of waste and emissions

[33, 35, 37]

Economic expediency

Analysis of economic aspects and profitability of CE models

[29, 32, 35]

Social impact

Social aspects such as employment and impact on society

[30, 47]

Business models in the CE

Industrial symbiosis

Industrial symbiosis models that facilitate resource sharing

[33, 35, 49]

Extension term product services

Strategies to increase product lifespan

[30, 43, 49]

Product How service (PaaS)

Rental and leasing models instead of sales, which optimizes the use of resources

[32, 36, 51]

New trends and gaps

Innovations in recycling

New technologies for processing and upcycling textile waste

[34, 40, 42]

Political support

Regulatory measures and government support to promote the CE

[29, 31, 41]

Social sustainability

Social sustainability research related to work and community

[30, 44, 47]

Table 2 provides a structured overview of crucial aspects of circular economy research in the textile and fashion industries. Each section describes the methodologies, research types, levels of analysis, sustainability dimensions, business models, and emerging trends and gaps, while also presenting a quantitative summary of key indicators.

The content analysis incorporates diverse research methods, such as modeling, life cycle assessment (LCA), case studies, and conceptual frameworks. These approaches offer a broad perspective on how scholars measure the environmental and economic impacts of CE strategies at multiple scales—from micro-level interventions within individual enterprises to meso-level and macro-level initiatives spanning entire industries and national contexts. Many authors concentrate on evaluating the economic viability and return on investment of eco-friendly solutions, while also exploring the role of government regulations and engineering-based upcycling in driving sustainable outcomes.

In addition, the content analysis highlights practical CE business models, including industrial symbiosis and the “product as a service” format, as well as various sustainability metrics (ecological, economic, and social). According to the reviewed data, key trends involve recycling and upcycling innovations, backed by supportive government programs and socially oriented business practices. Studies consistently stress the importance of extending product life cycles, fostering stakeholder engagement, and generating positive outcomes for local communities through adherence to CE principles.

A systematic review of the 25 most cited publications on CE in the textile industry reveals five main interconnected themes. Each theme addresses the main findings, barriers, and emerging research gaps, backed by concrete examples from leading studies:

1. Cleaner Production (CP) emphasizes reducing resource use—such as water, energy, and raw materials—while minimizing waste and emissions throughout a product’s life cycle. Numerous authors point to eco-efficient technologies, process optimization, and pollution prevention measures as pivotal for incorporating CE into the textile industry [10, 27, 46]. However, other authors—such as Amindoust and Saghafinia [14], Franco [28], Fischer and Pascucci [29] note obstacles to implementing cleaner production, including lack of capital, insufficient technical expertise, and minimal regulatory incentives.

2. Product as a Service (PaaS) shifts the business model from selling physical goods to providing services (for example, rentals and leasing). This approach extends product lifespan, promotes reuse, and curbs the manufacturing demand for new resources—key principles of CE. Moktadir et al. [32] report that transitioning to rental or leasing models can significantly reduce post-consumer waste by delaying the end of a product’s useful life. Patti et al. [36] observe that longer product lifecycles also improve brand reputation in sustainability-oriented markets. Additionally, Rovanto and Bask [51] offer evidence that PaaS can open new revenue streams and customer segments, though success depends on reliable logistics (e.g., efficient returns and refurbishments).

3. Industrial symbiosis refers to intersectoral resource sharing, where byproducts (e.g., textile waste, wastewater) from one enterprise become resources for another, thereby reducing overall resource use and waste. Yu et al. [33] present a compelling case study of an eco-industrial park in China, demonstrating how textile waste can be repurposed in other manufacturing sectors to cut total emissions. Kazancoglu et al. [35] describe similar initiatives, emphasizing the role of stakeholder collaboration in ensuring the smooth exchange of materials. From an economic and environmental standpoint, Navone et al. [40] document cost savings achieved by repurposing textile industry byproducts (such as cotton lint or polyester leftovers) as raw materials in related sectors, while Haslinger et al. [34] show that these symbiotic networks can diminish landfill reliance and lower greenhouse gas emissions.

4. Effective policy measures and regulations—from tax breaks for recycled materials to strict waste-disposal standards—create a favorable environment for adopting CE in the textile industry. Fischer and Pascucci [29] underscore how institutional incentives accelerate CE implementation by offering financial advantages (e.g., reduced tariffs) and administrative support for cleaner production. Provin and de Aguiar Dutra [44] note that tailored legislation can encourage local textile manufacturers to invest in advanced recycling or upcycling processes.

5. Social and stakeholder perspectives: Beyond economic and technical considerations, the success of CE transitions depends on public recognition, stakeholder collaboration, and the interaction of cultural norms that shape consumer and industry behavior. Repp et al. [47] and Gazzola et al. [30] stress that multilateral alliances—encompassing producers, investors, NGOs, and consumers—are vital for effective knowledge-sharing, joint investments, and widespread CE adoption. Civic [12] indicates that attitudes toward repair, reuse, and sustainability vary greatly across different regions, highlighting the need for context-sensitive educational and marketing strategies. Researchers [13, 28] observe that broader employment opportunities may arise under CE, especially in repair, refurbishment, and recycling sectors. However, the literature lacks substantial coverage on the equitable distribution of these benefits.

Taken together, these five themes constitute a dynamic, interdisciplinary research landscape, illustrating how technical innovations (CP, industrial symbiosis), business models (PaaS), and policy frameworks intersect with social dimensions to foster circular transformations in the textile sector. While the articles point to significant resource savings, market prospects, and stakeholder interest, persistent barriers remain, including financial constraints, regulatory fragmentation, and limited consumer awareness. Future research could benefit from integrating multi-level policy coordination, stakeholder education, and new technologies into comprehensive strategies for advancing circular economy principles in textile production.

The findings of this study offer a structured view of the primary research areas in CE within the textile and fashion industries. A diverse range of methodologies and approaches were identified, with particular emphasis on environmental and economic sustainability—further evidence of the growing academic and practical significance of these topics. By highlighting different levels of analysis, from micro- to macro-scale and along entire supply chains, the study demonstrates the multidimensional nature of CE, extending from internal business processes to international logistics. Additionally, the results affirm the importance of developing new business models—such as industrial symbiosis and product life extension—to foster more sustainable growth in this sector.

5. Conclusions

This systematic review provides a comprehensive mapping of the CE literature within the textile and fashion industries, encompassing 273 peer-reviewed articles published between 2009 and 2024. The findings underscore a rapidly expanding research focus, supported by a notable degree of international collaboration. Through descriptive and content analyses, the review identifies five major themes—Cleaner Production (CP), Product-as-a-Service (PaaS), Industrial Symbiosis, Policy and Regulatory Frameworks, and Social and Stakeholder Perspectives—underscoring the multifaceted nature of CE implementation.

Several clear takeaways emerge. First, environmental sustainability remains paramount, with numerous studies emphasizing waste reduction, resource efficiency, and emissions mitigation. Second, economic viability looms large: while promising new business models and upcycling technologies show potential for cost savings and revenue streams, widespread adoption often hinges on financial incentives, supportive legislation, and investment in technical expertise. Third, social considerations—spanning stakeholder engagement, labor impacts, and consumer behavior—highlight the role of cultural context and community-driven initiatives in advancing CE practices.

Despite these advances, persistent barriers constrain the transition toward circularity. Financial and technical hurdles can hamper small and medium-sized enterprises, while fragmented policies and limited consumer awareness impede large-scale adoption. Addressing these challenges will require cross-sector collaboration, robust policy support, and targeted capacity-building programs. Future research could benefit from deeper quantitative evaluations of social outcomes, comparative cross-regional case studies, and more nuanced investigations of how new technologies (e.g., digital platforms, advanced recycling methods) can enhance circular supply chains.

This review shows that coordinated efforts among policymakers, industry actors, and researchers are pivotal for driving CE strategies forward. On the policy side, establishing clear and harmonized regulations, along with economic incentives, can help overcome market barriers. From an industry perspective, investing in cleaner production and innovative business models can simultaneously reduce environmental impact and unlock new revenue streams. For research and development, expanding studies on social and cultural dimensions can illuminate how best to tailor circular initiatives to different communities.

Overall, CE in textiles is a growing, interdisciplinary field offering both environmental and economic benefits. By pinpointing pressing research gaps and highlighting effective strategies, this study provides a valuable roadmap for those committed to reducing the sector’s ecological footprint and fostering more resilient, sustainable textile systems.

  References

[1] Raj, A., Chowdhury, A., Ali, S.W. (2022). Green chemistry: Its opportunities and challenges in colouration and chemical finishing of textiles. Sustainable Chemistry and Pharmacy, 27: 100689. https://doi.org/10.1016/j.scp.2022.100689

[2] Alkaya, E., Demirer, G.N. (2014). Sustainable textile production: a case study from a woven fabric manufacturing mill in Turkey. Journal of Cleaner Production, 65: 595-603. https://doi.org/10.1016/j.jclepro.2013.07.008

[3] Ghisellini, P., Cialani, C., Ulgiati, S. (2016). A review on circular economy: The expected transition to a balanced interplay of environmental and economic systems. Journal of Cleaner Production, 114: 11-32. https://doi.org/10.1016/j.jclepro.2015.09.007

[4] Oliveira Neto, G.C., da Silva, P.C., Tucci, H.N.P., Amorim, M. (2021). Reuse of water and materials as a cleaner production practice in the textile industry contributing to blue economy. Journal of Cleaner Production, 305: 127075. https://doi.org/10.1016/j.jclepro.2021.127075

[5] Ho, Y.H., Lin, C.Y. (2024). Circular economy implementation and sustainability performance of the textile industry in an emerging economy. International Journal of Clothing Science and Technology, 36(2): 197-212. https://doi.org/10.1108/IJCST-02-2024-0048

[6] Higgins, J.P., Thompson, S.G., Deeks, J.J., Altman, D.G. (2011). Measuring inconsistency in meta-analyses. BMJ, 327(7414): 557-560. https://doi.org/10.1136/bmj.327.7414.557

[7] Merli, R., Preziosi, M., Acampora, A. (2017). How do scholars approach the circular economy? A systematic literature review. Journal of Cleaner Production, 178: 703–722. https://doi.org/10.1016/j.jclepro.2017.12.112

[8] Tranfield, D., Denyer, D., Smart, P. (2003). Towards a methodology for developing evidence-informed management knowledge by means of systematic review. British Journal of Management, 14(3): 207-222. https://doi.org/10.1111/1467-8551.00375

[9] Oliveira Neto, G.C., Silva, G.F., Dantas, J., Agostinho, F. (2022). Sustainability resilience in the textile industry through cleaner production and circular economy. Journal of Cleaner Production, 380: 134633. https://doi.org/10.1016/j.jclepro.2022.134633

[10] Baas, L. W. (1995). Cleaner production: Beyond projects. Journal of Cleaner Production, 3(1-2): 55-59. https://doi.org/10.1016/0959-6526(95)00033-x

[11] Petänen, P., Sundqvist, H., Antikainen, M. (2024). Deconstructing customer value propositions for the circular product-as-a-service business model: A case study from the textile industry. Circular Economy and Sustainable Practices, 56-74. https://doi.org/10.1007/s43615-024-00351-z

[12] Civic, A., Jovanović, M., Todorović, I., Marič, M. (2024). Comparison of attitudes in Slovenia and Serbia towards circular economy in the textile industry. Sustainable Development in Emerging Economies, 29(1): 1-10. https://doi.org/10.7595/management.fon.2023.0019

[13] Saha, K. (2021). Implementing circular economy in the textile and clothing industry. Business Strategy and the Environment, 30(4): 1253-1265. https://doi.org/10.1002/bse.2670

[14] Amindoust, A., Saghafinia, A. (2016). Sustainable supply chain modeling for the textile industry using Fuzzy Analytical Network Process and Fuzzy TOPSIS. Journal of Cleaner Production, 130: 688-698. https://doi.org/10.1016/j.jclepro.2016.01.135

[15] Farrukh, A., Sajjad, A. (2024). Drivers for and barriers to circular economy transition in the textile industry: A developing economy perspective. Sustainable Development, 32(2): 312-325. https://doi.org/10.1002/sd.3088

[16] Denyer, D., Tranfield, D. (2009). Producing a systematic review. In The SAGE Handbook of Organizational Research Methods. SAGE Publications Ltd. pp. 671-689

[17] Brewerton, P., Millward, L. (2001). Organizational Research Methods: A Guide for Students and Researchers. SAGE Publications Ltd.

[18] Kitchenham, B., Brereton, P. (2013). A systematic review of systematic review process research in software engineering. Information and Software Technology, 55(12): 2049-2075. https://doi.org/10.1016/j.infsof.2013.07.010

[19] Zhu, J., Liu, W. (2020). A tale of two databases: The use of Web of Science and Scopus in academic papers. Scientometrics, 123: 321-335. https://doi.org/10.1007/s11192-020-03387-8

[20] Guz, A.N., Rushchitsky, J.J. (2009). Scopus: A system for the evaluation of scientific journals. Scientific and Technical Information Processing, 36(5): 288-294. https://doi.org/10.3103/S014768820905007X

[21] Genç, R., Bada, S.O. (2010). Why English is a global language? A theoretical perspective. Journal of Social Sciences, 6(3): 282-287. https://doi.org/10.3844/jssp.2010.282.287

[22] Mayring, P. (2015). Qualitative content analysis: Theoretical background and procedures. In Approaches to Qualitative Research in Mathematics Education. Advances in Mathematics Education. Springer, Dordrecht. pp. 63-80. https://doi.org/10.1007/978-94-017-9181-6_13

[23] Seuring, S., Müller, M. (2008). From a literature review to a conceptual framework for sustainable supply chain management. Journal of Cleaner Production, 16(15): 1699-1710. https://doi.org/10.1002/bse.607

[24] Shukla, M., Jharkharia, S. (2013). Agri-fresh produce supply chain management: A state-of-the-art literature review. International Journal of Operations & Production Management, 33(2): 114-158. https://doi.org/10.1108/01443571311295608

[25] Fedorets, O.V., Soloshenko, N.S. (2024). The practical significance of Bradford’s informetric model to predict the scattering of articles and optimize journal selection. Automatic Documentation and Mathematical Linguistics, 58: 32-42. https://doi.org/10.3103/S0005105524010023

[26] Webster, J., Watson, R. T. (2002). Analyzing the past to prepare for the future: Writing a literature review. MIS Quarterly, 26(2): xiii-xxiii. http://www.jstor.org/stable/4132319.

[27] Shirvanimoghaddam, K., Motamed, B., Ramakrishna, S., Naebe, M. (2020). Death by waste: Fashion and textile circular economy case. Science of the Total Environment, 718: 137317. https://doi.org/10.1016/j.scitotenv.2020.137317

[28] Franco, M.A. (2017). Circular economy at the micro level: A dynamic view of incumbents’ struggles and challenges in the textile industry. Journal of Cleaner Production, 168: 833-845. https://doi.org/10.1016/j.jclepro.2017.09.056

[29] Fischer, A., Pascucci, S. (2017). Institutional incentives in circular economy transition: The case of material use in the Dutch textile industry. Journal of Cleaner Production, 155: 17-32. https://doi.org/10.1016/j.jclepro.2016.12.038

[30] Gazzola, P., Pavione, E., Pezzetti, R., Grechi, D. (2020). Trends in the fashion industry. The perception of sustainability and circular economy: A gender/generation quantitative approach. Sustainability, 12(7): 2809. https://doi.org/10.3390/su12072809

[31] Koszewska, M. (2018). Circular economy—Challenges for the textile and clothing industry. Autex Research Journal, 18(4): 337-347. https://doi.org/10.1515/aut-2018-0023

[32] Moktadir, M.A., Kumar, A., Ali, S.M., Paul, S.K., Sultana, R., Rezaei, J. (2020). Critical success factors for a circular economy: Implications for business strategy and the environment. Business Strategy and the Environment, 29(8): 3611-3635. https://doi.org/10.1002/bse.2600

[33] Yu, F., Han, F., Cui, Z. (2015). Evolution of industrial symbiosis in an eco-industrial park in China. Journal of Cleaner Production, 87: 339-347. https://doi.org/10.1016/j.jclepro.2014.10.058

[34] Haslinger, S., Hummel, M., Anghelescu-Hakala, A., Määttänen, M., Sixta, H. (2019). Upcycling of cotton polyester blended textile waste to new man-made cellulose fibers. Waste Management, 97: 88-96. https://doi.org/10.1016/j.wasman.2019.07.040

[35] Kazancoglu, I., Kazancoglu, Y., Yarimoglu, E., Kahraman, A. (2020). A conceptual framework for barriers of circular supply chains for sustainability in the textile industry. Sustainable Development, 28(5): 1477-1492. https://doi.org/10.1002/sd.2100

[36] Patti, A., Cicala, G., Acierno, S. (2021). Rotational rheology of wood flour composites based on recycled polyethylene. Polymers, 13(14): 2226. https://doi.org/10.3390/polym13142226

[37] Subramanian, K., Chopra, S.S., Cakin, E., Li, X., Lin, C. S.K. (2020). Environmental life cycle assessment of textile bio-recycling-valorizing cotton-polyester textile waste to pet fiber and glucose syrup. Resources, Conservation and Recycling, 161: 104989. https://doi.org/10.1016/j.resconrec.2020.104989

[38] Saha, K., Dey, P.K., Papagiannaki, E. (2021). Implementing circular economy in the textile and clothing industry. Business Strategy and the Environment, 30(4): 1497-1530. https://doi.org/10.1002/bse.2670

[39] Bukhari, M.A., Carrasco-Gallego, R., Ponce-Cueto, E. (2018). Developing a national programme for textiles and clothing recovery. Waste Management & Research, 36(4): 321-331. https://doi.org/10.1177/0734242X18759190

[40] Navone, L., Moffitt, K., Hansen, K.A., Blinco, J., Payne, A., Speight, R. (2020). Closing the textile loop: Enzymatic fibre separation and recycling of wool/polyester fabric blends. Waste Management, 102: 149-160. https://doi.org/10.1016/j.wasman.2019.10.026

[41] Mo, H., Wen, Z., Chen, J. (2009). China's recyclable resources recycling system and policy: A case study in Suzhou. Resources, Conservation and Recycling, 53(7): 409-419. https://doi.org/10.1016/j.resconrec.2009.03.002

[42] Quartinello, F., Vajnhandl, S., Volmajer Valh, J., Farmer, T.J., Vončina, B., Lobnik, A., Guebitz, G.M. (2017). Synergistic chemo-enzymatic hydrolysis of poly (ethylene terephthalate) from textile waste. Microbial Biotechnology, 10(6): 1376-1383. https://doi.org/10.1111/1751-7915.12734

[43] Laitala, K., Klepp, I.G., Haugrønning, V., Throne-Holst, H., Strandbakken, P. (2021). Increasing repair of household appliances, mobile phones and clothing: Experiences from consumers and the repair industry. Journal of Cleaner Production, 282: 125349. https://doi.org/10.1016/j.jclepro.2020.125349

[44] Provin, A.P., de Aguiar Dutra, A.R. (2021). Circular economy for fashion industry: Use of waste from the food industry for the production of biotextiles. Technological Forecasting and Social Change, 169: 120858. https://doi.org/10.1016/j.techfore.2021.120858

[45] Ribul, M., Lanot, A., Pisapia, C.T., Purnell, P., McQueen-Mason, S.J., Baurley, S. (2021). Mechanical, chemical, biological: Moving towards closed-loop bio-based recycling in a circular economy of sustainable textiles. Journal of Cleaner Production, 326: 129325. https://doi.org/10.1016/j.jclepro.2021.129325

[46] Majumdar, A., Shukla, S., Singh, A.A., Arora, S. (2020). Circular fashion: Properties of fabrics made from mechanically recycled poly-ethylene terephthalate (PET) bottles. Resources, Conservation and Recycling, 161: 104915. https://doi.org/10.1016/j.resconrec.2020.104915

[47] Repp, L., Hekkert, M., Kirchherr, J. (2021). Circular economy-induced global employment shifts in apparel value chains: Job reduction in apparel production activities, job growth in reuse and recycling activities. Resources, Conservation and Recycling, 171: 105621. https://doi.org/10.1016/j.resconrec.2021.105621

[48] Kazancoglu, I., Kazancoglu, Y., Kahraman, A., Yarimoglu, E., Soni, G. (2022). Investigating barriers to circular supply chain in the textile industry from Stakeholders’ perspective. International Journal of Logistics Research and Applications, 25(4-5): 521-548. https://doi.org/10.1080/13675567.2020.1846694

[49] Jain, S., Singhal, S., Pandey, S. (2020). Environmental life cycle assessment of construction and demolition waste recycling: A case of urban India. Resources, Conservation and Recycling, 155: 104642. https://doi.org/10.1016/j.resconrec.2019.104642

[50] Bressanelli, G., Visintin, F., Saccani, N. (2022). Circular Economy and the evolution of industrial districts: A supply chain perspective. International Journal of Production Economics, 243: 108348. https://doi.org/10.1016/j.ijpe.2021.108348

[51] Rovanto, I.K., Bask, A. (2021). Systemic circular business model application at the company, supply chain and society levels—A view into circular economy native and adopter companies. Business Strategy and the Environment, 30(2): 1153-1173. https://doi.org/10.1002/bse.2677