Characterizing the Chemical Composition of Eco-Enzymes Derived from Vegetable and Fruit Sources

Characterizing the Chemical Composition of Eco-Enzymes Derived from Vegetable and Fruit Sources

Agus Yadi Ismail* | Mai Fernando Nainggolan Asti Permata Nauli 

Master Biology Education Study Program, University of Kuningan, West Java 45513, Indonesia

Department of Agribusiness, Faculty of Agriculture, Santo Thomas University, North Sumatra 20133, Indonesia

Department of Agriculture Product Technology, Faculty of Agriculture, Santo Thomas University, North Sumatra 20133, Indonesia

Corresponding Author Email: 
agus.yadi@uniku.ac.id
Page: 
1051-1060
|
DOI: 
https://doi.org/10.18280/ijdne.190334
Received: 
27 March 2024
|
Revised: 
16 May 2024
|
Accepted: 
21 May 2024
|
Available online: 
25 June 2024
| Citation

© 2024 The authors. This article is published by IIETA and is licensed under the CC BY 4.0 license (http://creativecommons.org/licenses/by/4.0/).

OPEN ACCESS

Abstract: 

Various raw materials used to produce eco-enzymes produce diverse chemical compounds. Eco-enzyme comes from the fermentation process of organic waste, such as vegetables and fruit. The aim of this research is to characterize the organic compounds contained in eco-enzymes originating from various raw materials. The research phase involves the extraction of environmentally friendly eco-enzymes from different raw materials and identification of the chemical compounds in them Data analysis of eco-enzyme extraction results was carried out using High-Performance Liquid Chromatography (HPLC) to ensure the levels of organic chemical compounds produced. His findings revealed eight organic compounds categorized as organic acids (acetic acid, citric acid, lactic acid, oxalic acid) and organic sugars (glucose, sucrose, fructose, ethanol) originating from organic waste from vegetables and fruit. The results of data analysis show that eco-enzyme production is related to the levels of organic chemical compounds produced and the chromatogram results. In organic vegetable waste, the organic compound oxalic acid had a retention time of 7.292 minutes with a content of 0.08%, acetic acid 12.033 minutes with a content of 5.20%, lactic acid 12.867 minutes with a content of 3.62%, and acid citrate 16,100 minutes with a content of 0.10%. Meanwhile, in fruit, the organic compound oxalic acid was identified at a retention time of 7.192 minutes with a content of 0.13%, lactic acid 12.150 minutes with a content of 4.44%, acetic acid 13.092 minutes with a content of 1.81%, and citric acid 16.517% with a content of 0.08%. The highest content in organic vegetable waste is acetic acid, 5.20%. The highest organic compound in fruit waste is lactic acid, 4.44%.

Keywords: 

eco-enzyme, fermentation, chemical compound, acid, HPLC

1. Introduction

Increasing global population growth is the cause of increasing food waste production based on world food demand. The condition of waste that is not processed properly will certainly have a negative impact on the ecosystem. The agricultural sector is one of the biggest factors producing food waste.

Through the principles of modernization, the production and consumption process are expected to be the right step to increase competition in the agricultural sector. Efficient processing of food waste is expected to reduce environmental and health problems [1].

Wastes from the processing of fruits and vegetables in the food industry can be used to develop functional foods and edible coatings, offering protection against various environmental factors [2]. Eco-enzymes a method of processing organic waste in the form of liquid organic compounds that has many benefits [3]. This liquid has a role in protecting the environment from the use of chemicals [3]. This eco enzyme is commonly used in improving air quality, and nutrients in the soil [4]. It also plays a role in the process of purifying river water contaminated with waste [5]. Other benefits can be a source of nutrients for plants to increase plant growth and as a natural pesticide in controlling pests and diseases [6]. Valorization of fruit and vegetable agricultural waste for the production of carotenoid-based sustainable dyes with increased bioavailability hence the health-related properties of carotenoids make them promising candidates for use not only as functional food ingredients but also in therapeutic applications and in the nutraceutical and cosmetic industries also considered [7].

Eco-enzymes derived from fruit peels could be a good solution. This approach to recycling and reusing natural waste is environmentally friendly and economical. The aim of developing eco-enzymes is to lead to environmentally friendly industrial practices [8].

In its manufacture, eco enzymes use raw materials in the form of varied organic waste such as fruit peels, vegetables, and a mixture of fruit and vegetable peels [9].

Vegetable and fruit peels rich in organic acid content are the best source to produce eco-enzymes. Eco-enzymes can be obtained from the orange and tomato peels with effective disinfectant properties to treat aquaculture sludge to enhance the aerobic digestion in the sludge and reduce the problems of the environment [10, 11].

The research on Characterizing the Chemical Composition of Eco-Enzymes Derived from Vegetable and Fruit Sources is supported by a growing body of literature focusing on sustainable waste management and eco-friendly alternatives. Traditional waste disposal methods, particularly of organic waste from vegetables and fruits, pose significant environmental challenges, including pollution and resource depletion [12]. In response, eco-enzymes have emerged as a promising solution. These enzymes, derived from the fermentation process of organic waste materials, offer a sustainable approach to waste management by converting biodegradable matter into valuable products [13]. They have garnered attention for their potential applications in various sectors, including agriculture, food processing, and bioremediation [14]. Understanding the chemical composition of eco-enzymes is critical for optimizing their production processes and enhancing their efficiency.

By characterizing the specific organic compounds present in eco-enzymes derived from vegetable and fruit sources, researchers aim to identify key components that contribute to their functional properties and efficacy [15]. Moreover, investigating the chemical composition of eco-enzymes can provide insights into their potential applications in different industries. For instance, knowledge of the organic acids and sugars present in these enzymes could inform their use as biofertilizers in agriculture or as additives in food processing for improved sustainability and nutritional value [15, 16].

A number of studies have been carried out to characterize the chemical composition of eco-enzymes derived from vegetable and fruit sources. A comprehensive analysis of eco-enzymes originating from various vegetable and fruit sources [17]. The researchers used chromatography and spectroscopy techniques to identify the organic components in the eco-enzyme. The results provide deep insight into the chemical composition of eco-enzymes originating from various sources. The characterization of eco-enzymes produced from fruit waste using various analytical methods to determine the chemical composition of eco-enzymes and also test their potential application in various fields, including agriculture and food [17]. Studies [17, 18] identified active compounds contained in eco-enzymes originating from vegetable sources using high-liquid chromatography (HPLC) techniques for chemical composition analysis and isolating compounds that have high potential biological activity. Eco-enzymes produced from vegetable and fruit sources for bioremediation applications were tested by characterizing the chemical composition of eco-enzymes and evaluating their effectiveness in cleaning environmental pollution, such as industrial waste and soil pollution.

The properties of this eco-enzyme reveal the chemical compounds it contains. According to the study by Maryanti and Wulandari [13], the sour aroma detected in the eco-enzyme liquid stems from flavonoid compounds, which offer antibacterial benefits. Vika et al. [18] elucidated that the varying pH levels of eco-enzyme liquid are attributable to acetic acid compounds. Extensive research on eco-enzyme characteristics has been undertaken, as evidenced by studies such as Jannah et al. [15], which utilized vegetable and fruit waste materials, and the study by Vika et al. [18] which examined eight different combinations of vegetable and fruit waste, focusing on organoleptic tests or eco-enzyme characteristics. In contrast, this study delves into the chemical compound content of eco-enzymes derived from nabati and fruit raw materials.

2. Research Methods

2.1 Sample preparation

The Research related to making eco-enzymes was carried out at the Ecology and Environment Laboratory, Faculty of Life and Environment, Kuningan University, by fermenting eco-enzyme raw materials originating from fruit and vegetable sources (Figure 1). The process of making eco enzymes is carried out in the following stages: Mixing the raw materials 100g of granulated sugar with 1,000 ml of water. The resulting mixture is fermented for three months. After two months, leave it until the eco enzyme liquid can be harvested.

Figure 1. Fermentation of vegetables and fruit

2.2 Preparation of standard solvent

The standard solution in the Eco-enzyme test plays an important role as a reference for identifying peak retention times and measuring the concentration of organic acids in the chromatogram contained in the Eco-enzyme solution to be tested. Based on the statement [19], retention time is the time interval required by the analyze from the time of injection until it leaves the column and the signal is maximally captured by the detector. The retention time of analyzes that are retained in the stationary phase is expressed as tR (retention time), while the retention time of analyzes that are not retained in the stationary phase often called the retention time of the eluting solvent is expressed as tO or tM (migration time). This test uses various levels of solution to create a calibration curve as in Table 1. The standard solution will be injected first before the Eco-enzyme solvent.

Table 1. Standard solvent and levels of organic acid solvent

Standard Solvent

Level (g/L)

Acetic Acid

0.01

0.1

1

5

10

Lactic Acid

0.1

0.5

1

1.5

2

Citric Acid

5

10

15

20

30

Oxalic Acid

0.05

0.1

0.5

1

5

2.3 Analysis method

The identification analysis for the organic chemical compounds it contains was carried out at the ITB Faculty of Science and Technology using a set of HPLC Shimadzu LC20A (Figure 2). Next, the chemical compounds alkaloids, flavonoids, steroids, saponins, terpenoids and tannins were identified using the HPLC (High Performance Liquid Chromatography) Shimadzu LC20A method. During sample analysis, the stationary phase column used was a C-18 column type, then the mobile phase used was a solution of acetonitrile and 0.1% phosphoric acid with a ratio of 2:98. The fluent was 0.4ml/min and measurements were carried out at a wavelength of 210nm.

Figure 2. HPLC Shimadzu LC20A fruit

2.4 Data analysis

Initial preparation Column Selection and Column Temperature: Make sure the C18 column is properly installed in the HPLC system and the column temperature is set at 30 degrees Celsius. Preparation of Mobile Phase, preparation of Mobile Phase solution: Mix acetonitrile and 0.1% H3PO4 solution in appropriate proportions (2:98) to obtain the required mobile phase. Make sure the solution has been filtered to avoid contamination of the column. Preparation of Standard Solutions: Standard solutions in eco-enzyme testing play an important role as a reference for identifying peak retention times and measuring the concentration of organic acids in the chromatogram contained in the eco-enzyme solution to be tested. This test uses various levels of solution to create a calibration curve. The following levels and standard solutions were tested. Dilution of samples from the fermentation of vegetable and fruit raw materials: Prepare an eco-enzyme solution of 20µL each. Wavelength and Flow Rate Settings: Set the detector at a wavelength of 210nm and set the flow rate at 0.4mL/min. Identification of Organic Acids: Identify any peaks that appear to correspond to expected organic acids based on the retention time and response characteristics of the detector at the specified wavelength. Figure 3 below shows the flow of the stages of eco-enzyme analysis using HPLC.

Figure 3. Sample analysis flow using HPLC

3. Results and Discussion

3.1 Analysis composition of chemical compounds contained on organic materials

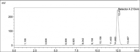
Based on the analysis of organic acid chemical compounds using the HPLC test method on fermented vegetable samples, four organic acid compounds contained in the samples were identified, including oxalic acid, lactic acid, acetic acid, and citric acid. Each organic chemical compound was identified at a different retention time (Figure 4). Oxalic acid was identified at a retention time of 7.292, acetic acid was identified at a retention time of 12.033, acetic acid was identified at a retention time of 12.867, and citric acid was identified at a retention time of 16.100.

When testing fruit fermentation samples using HPLC, organic acid chemical compounds contained in these samples were also identified, among others. Each organic chemical compound was identified at a different retention time (Figure 5). Oxalic acid was identified at a retention time of 7.192, acetic acid was identified at a retention time of 12.150, acetic acid was identified at a retention time of 13.092, and citric acid was identified at a retention time of 16.517.

Figure 4. HPLC analysis results using fermented samples from vegetable materials

Figure 5. HPLC analysis results using fermented samples from fruit ingredients

3.2 HPLC analysis results on organic acid compounds

Based on the test results for each standard solution of organic acid compounds using HPLC, can be seen in the following chromatogram (Figures 6-9):

Acetic Acid

Acetic Acid with a standard concentration solution content of 0.01, 0.1, 5, and 10 (g/L) based on an analysis time of 20-35 minutes to obtain peaks with retention times (RT) as follows: 13.358, 13.358, 13.283, and 13.208 minutes. Resolution (R) was obtained respectively as follows: 2.529, 9.527, 9.309, and 8.611. Meanwhile in the standard solution with a concentration of 1 (g/L), no organic compound acetic acid was detected. The resulting resolution value confirms that the acetic acid peak has shown fairly good separation from other compounds. This is reinforced by the statement [20] that the resolution value meets the requirements if R ≥ 1.5 and the compound peak is clear and not split into two parts.

Citric Acid

Citric Acid with a standard solution of concentration 5, 10, 15, 20, and 30 (g/L) based on an analysis time of 20-35 minutes, peaks with retention times (RT) were obtained as follows: 17.867, 17.617, 17.392, 17.217, and 16.917 minutes. The resolution (R) obtained respectively is as follows: 11.452, 6.380, 5.598, 9.334, and 4.310. These results show that a high solution concentration can identify organic compounds more quickly. Higher concentrations tend to saturate the column and cause earlier elution.

Figure 6. HPLC analysis results acetic acid standard solvent

Figure 7. HPLC analysis results citric acid standard solvent

Lactic Acid

Chromatogram results of a standard solution of lactic acid with a concentration of 0.1, 0.5, 1, 1.5, and 2 (g/L) can be seen in Figure 8. Based on an analysis time of 20-35 minutes, peaks with retention times (RT) were obtained as follows: 12.400, 12.408, 12.417, 12.417, and 12.425 minutes. The resolution (R) obtained respectively is as follows: 1.154, 1.252, 1.336, 1.363, and 1.445. The resolution results show that the concentration of the standard lactic acid solution used has not been able to produce a resolution value that meets the requirements (R ≥ 1.5). Even though the peak is quite clear. That is because the distance between the chromatograms is close together and needs a longer column. Resolution is the ability to separate two adjacent chromatograms. A resolution value > 1.5 indicates that the two chromatograms are separate perfectly.

Oxalic Acid

Oxalic acid with standard solution respectively 0.05, 0.1, 0.5, 1, and 5 (g/L) are shown in Figure 9. The results of HPLC analysis show that the retention times (RT) respectively were 7.500, 7.483, 7.467, 7.458, and 7.533. The resolution (R) obtained respectively is as follows: 0 (no previous chromatogram); 2,594; 2,651; 2,611; and 0 (no previous chromatogram). The retention time results show that the organic compound oxalic acid was identified in a short time. The resolution value also meets the requirements because there are no adjacent chromatograms (R ≥ 1.5).

Figure 8. HPLC analysis results lactic acid standard solvent

Figure 9. HPLC analysis results oxalic acid standard solvent

Table 2. The content of organic acid compounds in eco-enzyme extraction from vegetables and fruit

Eco-Enzyme

Sample

Level (g/L)

Acetic Acid

Citric Acid

Lactic Acid

Oxalic Acid

Vegetable

1

5.09

0.10

3.57

-0.21

 

2

5.30

0.09

3.66

-0.26

Fruit

1

1.99

0.08

4.39

-0.15

 

2

1.63

0.09

4.49

-0.22

3.3 Organic chemical compounds derived from vegetable and fruit sources

The assorted characteristics of eco chemicals on different crude materials are in line with the chemical compounds contained in that, this appears that the chemical compounds of eco proteins are impacted by the crude materials. Based on the investigation, it was clarified that eco protein inferred from vegetables had an acidic corrosive substance of 5.09-5.30g/L, citric corrosive substance of 0.09-0.10g/L, lactic corrosive substance of 3.57-3.66g/L, and oxalic corrosive substance of -0.21-0.26g/L. Eco-enzyme determined from blended natural product has an acidic corrosive substance of 1.63-1.99g/L, acidic corrosive substance of 0.08-0.09g/L, lactic corrosive substance of 4.39-4.49g/L, and oxalic corrosive substance of -0.15- -0.22g/L. For eco protein inferred from pineapple, the acidic corrosive substance was 0.37-1.83g/L, citric corrosive substance was 0.54g/L, lactic corrosive substance was 2.72-2.74g/L, and oxalic corrosive substance was -0.31g/L. Eco chemical determined from banana has an acidic corrosive substance of 1.47-1.50g/L, citric corrosive substance of 3.37g/L, lactic corrosive substance of 2.78-2.79g/L, oxalic corrosive substance of -0.29- -0.30g/L and the final eco protein inferred from orange has acidic corrosive substance of 1.25-1.32g/L, citric corrosive substance of 1.00g/L, lactic corrosive substance of 4.80-4.88g/L, and oxalic corrosive substance of -0.14- -0.15g/L. The substance of acidic natural chemical compounds from eco proteins is displayed in Table 2.

Based on the results of the analysis of acetic acid chemical compounds, the highest average level of vegetable waste was 5.20%. This organic compound is a by-product resulting from the fermentation process in the form of the result of enzyme activity in bacteria or fungi found in the vegetable waste [19].

Acetic acid is classified as an organic acid commonly used as a disinfectant because it has antibacterial, antifungal and antiviral content [20]. Some studies use acetic acid as a disinfectant such as the COVID-19virus and swine fever virus [21-23].

4. Conclusions

The organic acid chemical compounds contained in samples originating from waste vegetables and fruit include oxalic acid, lactic acid, acetic acid, and citric acid. HPLC results show that the organic chemical compounds contained in organic samples have different levels. The highest content in organic vegetable waste is acetic acid, 5.20%. The highest content in organic fruit is lactic acid, 4.44%.

Authorship Contribution

Agus Yadi Ismail: Writing – original draft, Conceptualization, Methodology, Validation. Mai Fernando Nainggolan: Writing – review & editing, Data curation. Asti Permata Nauli: Writing – review & editing, Data curation.

Acknowledgment

We are gratefully acknowledging Kuningan University, West Java, Indonesia for their financial support in this research.

  References

[1] Ezeorba, T.P.C., Okeke, E.S., Mayel, M.H., Nwuche, C.O., Ezike, T.C. (2024). Recent advances in biotechnological valorization of agro-food wastes (AFW): Optimizing integrated approaches for sustainable biorefinery and circular bioeconomy. Bioresource Technology Reports, 101823. https://doi.org/10.1016/j.biteb.2024.101823

[2] Nabi, B.G., Mukhtar, K., Ansar, S., Hassan, S.A., Hafeez, M.A., Bhat, Z.F., Khaneghah, A.M., Haq, A.U., Aadil, R.M. (2024). Application of ultrasound technology for the effective management of waste from fruit and vegetable. Ultrasonics Sonochemistry, 102: 106744. https://doi.org/10.1016/j.ultsonch.2023.106744

[3] Hasanah, Y. (2020). Eco enzyme and its benefits for organic rice production and disinfectant. Journal of Saintech Transfer, 3(2): 119-128. https://doi.org/10.32734/jst.v3i2.4519

[4] Widhiarso, W., Jatiningsih, M.G.D., Nayla, M. (2023). Utilization of organic fruit peel waste into eco-enzyme for disinfectant at the Kusuma Pertiwi waste bank. Wikrama Parahita: Journal of Community Service, 7(2): 236-242. https://doi.org/10.30656/jpmwp.v7i2.5893.

[5] Muliarta, I.N., Darmawan, I.K. (2021). Processing household organic waste into eco-enzyme as an effort to realize zero waste. Agriwar Journal, 1(1): 6-11.

[6] Das, S.C., Khan, O., Khadem, A.H., Rahman, M.A., Bedoura, S., Uddin, M.A., Islam, M.S. (2024). Evaluating the biocatalytic potential of fruit peel-derived eco-enzymes for sustainable textile wastewater treatment. Results in Engineering, 21: 101898. https://doi.org/10.1016/j.rineng.2024.101898

[7] Noviana, N., Johan, H., Mayub, A., Firdaus, M.L. (2024). Determination of organic content and the use of eco-enzyme solutions in reducing organic levels in water samples from Cukuh Raya Beach, Kaur Regency, Bengkulu Province, Indonesia. Aquatic Science & Management, 12(1). https://doi.org/10.35800/jasm.v12i1.54930.

[8] Cassani, L., Marcovich, N.E., Gomez-Zavaglia, A. (2022). Valorization of fruit and vegetables agro-wastes for the sustainable production of carotenoid-based colorants with enhanced bioavailability. Food Research International, 152: 110924. https://doi.org/10.1016/j.foodres.2021.110924

[9] Larasati, D., Andari, P.A., Endang, T.M. (2020). Organoleptic test of eco-enzyme products from fruit peel waste (case study in Semarang city) in EDUSAINTEK national seminar. FMIPA UNIMUS, https://prosiding.unimus.ac.id/index.php/edusaintek/article/view/569/572.

[10] Janarthanan, M., Mani, K., Raja, S.R.S. (2020). Purification of contaminated water using eco enzyme. In IOP Conference Series: Materials Science and Engineering. IOP Publishing, 955(1): 012098. https://doi.org/10.1088/1757-899X/955/1/012098

[11] Benny, N., Shams, R., Dash, K.K., Pandey, V.K., Bashir, O. (2023). Recent trends in utilization of citrus fruits in production of eco-enzyme. Journal of Agriculture and Food Research, 100657. https://doi.org/10.1016/j.jafr.2023.100657

[12] Rasit, N., Hwe Fern, L., Ab Karim Ghani, W.A.W. (2019). Production and characterization of eco enzyme produced from tomato and orange wastes and its influence on the aquaculture sludge. International Journal of Civil Engineering and Technology, 10(3): 967-980.

[13] Maryanti, A., Wulandari, F. (2023). The production and organoleptic test of onion peel eco enzyme. Jurnal Biologi Tropis, 23(2): 311-318. https://doi.org/10.29303/jbt.v23i2.4708

[14] Viza, R.Y. (2022). Organoleptic test of eco-enzyme from fruit peel waste. Bioedusains. 5(1): 24-30. https://doi.org/10.31539/bioedusains.v5i1.3387

[15] Jannah, M., Firdha, N., Idrus, H., Farma, S. (2021). Organoleptic test of eco enzyme product from vegetable and fruit waste. Prosiding SEMNAS, 1(1): 198-205.

[16] Basheer, S.M., Chellappan, S., Sabu, A. (2022). Chapter 8-Enzymes in fruit and vegetable processing. Value-Addition in Food Products and Processing Through Enzyme Technology. Academic Press, 101-110. https://doi.org/10.1016/B978-0-323-89929-1.00014-7

[17] Shao, L., Zhao, Y., Zou, B., Li, X., Dai, R. (2021). Ohmic heating in fruit and vegetable processing: Quality characteristics, enzyme inactivation, challenges and prospective. Trends in Food Science & Technology, 118: 601-616. https://doi.org/10.1016/j.tifs.2021.10.009

[18] Vika, M., Andari, P.A., Endang, T.W.M. (2020). Comparison of organoleptic tests on eight ekoenzyme product variables in edusaintek national seminar. FMIPA Unimus, 393-399, https://prosiding.unimus.ac.id/index.php/edusaintek/article/view/580.

[19] Sitorus, L., Pontoh, J., Kamu, V. (2015). Analisis beberapa asam organik dengan metode high performance liquid chromatography (HPLC) grace smart Rp 18 5µ. Jurnal MIPA, 4(2): 148-152. https://doi.org/10.35799/jm.4.2.2015.9113

[20] Alatas, F., Sujono, H., Sucipto, W.A. (2019). Development and validation of a high-performance liquid chromatography (HPLC) method for simultaneous estimation of antiemetic levels of pyridoxine hydrochloride and pyrathiazine theoclate in tablet dosage forms. Kartika: Jurnal Ilmiah Farmasi, 6(2): 95-100. https://doi.org/10.26874/kjif.v6i2.187

[21] Yuliono, A., Mega, S.J.S., Ikha, S., Warsidah, Arie, A., Kushadiwijayanto, Shifa, H. (2021). Improving the health of the batang bay community independently through the manufacture of eco-enzyme-based handsanitizers and disinfectants from vegetable and fruit waste. Journal of Community Engagement in Health, 4(2): 371-377. https://doi.org/10.30994/jceh.v4i2.248

[22] Mahdia, A., Safitri, P.A., Setiarini, R.F., Maherani, V.F.A., Ahsani, M.N., Soenarno, M.S. (2022). Analisis keefektifan ekoenzim sebagai pembersih kandang ayam dari limbah buah jeruk (Citrus sp.). Jurnal Ilmu Produksi Dan Teknologi Hasil Peternakan, 10(1): 42-46. https://doi.org/10.29244/jipthp.10.1.42-46

[23] Juszkiewicz, M., Walczak, M., Mazur-Panasiuk, N., Woźniakowski, G. (2020). Effectiveness of chemical compounds used against African swine fever virus in commercial available disinfectants. Pathogens, 9(11): 878. https://doi.org/10.3390/pathogens9110878