Custard Apple Leaves: A Green and Effective Adsorbent for Colourant in Wastewater Treatment

Custard Apple Leaves: A Green and Effective Adsorbent for Colourant in Wastewater Treatment

Kiran V. Mehta

Department of Chemistry, R. R. Mehta College of Science and C. L. Parikh College of Commerce, Palanpur 385001, India

Corresponding Author Email: 
kiranvmehta@ymail.com
Page: 
79-83
|
DOI: 
https://doi.org/10.18280/eesrj.110305
Received: 
12 August 2024
|
Revised: 
5 September 2024
|
Accepted: 
9 September 2024
|
Available online: 
27 September 2024
| Citation

© 2024 The author. This article is published by IIETA and is licensed under the CC BY 4.0 license (http://creativecommons.org/licenses/by/4.0/).

OPEN ACCESS

Abstract: 

The disposal of colorants in wastewater poses threats to aquatic organisms and can adversely affect the well-being of nearby residents. This study explores the effectiveness of using custard apple leaves to address water contamination caused by a colorant SADBS (Sodium 2-anilino-4-(2,4-dinitroanilino)benzene-1-sulfonate). Effect of the custard apple leaves on SADBS adsorption from water was studied by using parameters such as adsorbent amount, initial concentration and contact time, pH of solution. Under optimum conditions (the initial colorant concentration: 100 mg/L), about 91% of the colorants from the standard solution were eliminated. (pH value: 7.1, adsorbent quantity: 0.5 g, contact period: 60 min). The study’s data were examined using Langmuir isotherm as well as Freundlich isotherm. The use of custard apple leaves as an adsorbent for SADBS is noteworthy. The desorption study also exhibited that about 93% of custard apple leaves were recovered by the process of applying acid-base treatment.

Keywords: 

colourant, SADBS, custard apple leaves, adsorption phenomenon

1. Introduction

The uncontrolled release of untreated industrial effluent into water sources has severe consequences, contributing significantly to water pollution. This issue becomes particularly pronounced when industrial wastewater, laden with colorants, is not subjected to proper treatment processes. In the absence of adequate treatment, the discharge of such contaminated water into the environment gives rise to pollution, creating a host of detrimental effects.

This form of pollution poses a direct threat to the well-being of both human populations and various other living organisms. The presence of untreated industrial wastewater, especially when it contains colorants, introduces harmful substances into aquatic ecosystems. These pollutants can adversely affect water quality, disrupt the balance of aquatic ecosystems, and have far-reaching ecological implications.

Moreover, the impact extends beyond aquatic life, as the contaminated water may eventually find its way into drinking water sources. This, in turn, poses serious health risks to human populations who rely on these water supplies. Exposure to pollutants from untreated industrial wastewater can lead to a range of health issues, including waterborne diseases and long-term health complications.

To lessen these negative consequences and protect the health of communities and ecosystems, industrial effluent must be properly managed and treated.

Adsorption is a common technique for colourant removal from industrial wastewater. Activated carbons and organic resins can be used for colourant removal. Adsorbent which is cheap and capable is chosen for the colourant removal processes. The removal of colorants from polluted water can be accomplished by using agricultural by-products as an adsorbent. These types of adsorbents have good adsorption characteristics like large surface area and permeable form [1-11].

Compared to non-biodegradable synthetic adsorbents, leaf-based adsorbents are less likely to cause secondary pollution after usage since they biodegrade after use. This is especially crucial in industrial settings where it's necessary to dispose of a lot of used adsorbents.

Custard apple, scientifically known as Annona squamosa, is a tropical fruit tree that belongs to the family Annonaceae. Custard apple leaves, the byproduct of custard apple cultivation, can be considered for a potential use as an adsorbent. The custard apple leaves were assessed for the effect of adsorbent amount, initial concentration, contact period and pH of the solution. Langmuir and Freundlich isotherms can be explained by the experimental adsorption data for the use of the custard apple leaves to eliminate of a colourant (SADBS) from water.

2. Materials and Methods

2.1 Adsorbate

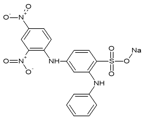
SADBS (Sodium 2-anilino-4-(2,4-dinitroanilino)benzene-1-sulfonate) (Molecular Formula: C18H13N4NaO7S) (M.Wt. 452.37) is a colourant used in industries, particularly in textile and surfactant industries. For the present study, it is used as an adsorbate. Its structure formula is shown in Figure 1.

Figure 1. Structure of adsorbate (SADBS)

2.2 Adsorbent

Custard apple leaves were collected from local farms. Before being used for the adsorption treatment, the leaves were dried in the sun for seven days, mashed into small fragments, and then washed, dried, and sieved. The custard apple leaves were washed with deionized water to remove any dirt if present on it. The leaves were dried in sunlight for eight days. Then, leaves were kept in a vacuum oven at 80℃ temperature for the period of 8 h. After being pulverized and sieved to a mesh size of 100 (149 µm), the dried custard apple leaves were stored in an airtight container of polythene.

2.3 Adsorption study

A volumetric flask holding two liters of DI water was filled with one gram of SADBS to create the stock solution. After that, a magnetic stirrer was used to agitate the stock solution for 60 minutes in order to achieve a uniform colorant composition.

The goal of the batch experiments was to find out adsorption efficiency of custard apple leaves to adsorb SADBS from solution. To determine the pH level at which the highest adsorption occurs, in an amber-coloured bottle holding 250 mL of a colorant solution (50 mg/L), three distinct quantities of adsorbent: 0.5, 0.75 and 1.0 g were added at pH value from 2.0 to 10.0. Then, the mixtures were agitated at 25℃ for one and half hour with a speed of 180 rpm using a magnetic stirrer. Then filtration was carried out with Whatman filter paper (No. 1). For the estimating the concentration of the solutions, analysis was performed with UV-Vis spectrophotometer and the calibration curves were plotted.

For the study of the effect of adsorbent amount, 0.1 to 0.8 g custard apple leaves were added in amber bottles containing 250 mL of a colourant solution (50 mg/L) at pH value approximately 7. Then, the mixtures were agitated with a speed of 180 rpm for 90 minutes at 25℃ by the use of a magnetic stirrer. Then filtration was carried out with Whatman filter paper (No. 1). For the estimating the concentration of the solutions, analysis was performed with UV-Vis spectrophotometer and the calibration curves were plotted.

The adsorption assessment was carried out at optimal pH using various initial concentrations (25, 50, 100 and 150 mg/L) in order to investigate equilibrium conditions. To each 250 ml colored solution at 25℃, 0.5 g of custard apple leaves were added and stirred by a magnetic stirrer for 4 hours. Spectrophotometric analysis of samples was performed at different time intervals (min.): 0, 10, 20, 30, 45, 60, 90 and 120.

When the concentration of the resulting solution became constant over time, equilibrium was achieved Adsorption performance (percent colourant removal) and adsorption capacity (q) (quantity adsorbed) were determined by applying the following equations:

Adsorption capacity in mg/g:

Adsorption capacity $=\left(\frac{C_i-C_f}{M_{{ads }}}\right) \times V$          (1)

Removal efficiency in %:

Removal efficiency $=\left(\frac{C_i-C_f}{C_i}\right) \times 100$          (2)

where, V = the solution volume (L), Mads = weight of adsorbent (g), Ci = initial concentration of the colourant solution (mg/L), Cf = final concentration of the colourant solution (mg/L).

2.4 Adsorption isotherm

The adsorption data obtained for the present work were studied with Langmuir and Freundlich isotherm models. The Langmuir isotherm model characterizes the equilibrium distribution of adsorbate (colourant) between two phases (solid and liquid) [12-14]. The equation for Langmuir isotherm model is as below:

$\frac{C_e}{q_e}=\frac{C_e}{q_m}+\frac{1}{K_L q_m}$          (3)

where, KL = Langmuir isotherm constant in L/mg, qm = maximum adsorption capacity in mg/g, qe = adsorption capacity at equilibrium (mg/g).

The values of KL and qm were determined by graph of Ce/qe against Ce. Here, qm was determined from the reciprocal value of the slope and KL was determined by the value of the intercept. A dimensionless separation factor RL was determined by:

$R_L=\frac{1}{1+K_L C_i}$          (4)

The isotherm model is favorable if RL is between 0 to 1, the isotherm model is linear, unfavorable, or irreversible if the value of RL = 1, RL > 1 and RL = 0 respectively [15].

The Freundlich isotherm model is used for the adsorption on heterogeneous surfaces and reversible adsorption [16-18].

The Freundlich isotherm is given by:

$\ln \left(q_e\right)=\ln \left(K_F\right)+\frac{1}{n_F} \ln \left(C_e\right)$          (5)

where, KF = the Freundlich isotherm constant in mg/g, $\frac{1}{n_F}$ = the heterogeneity factor related with adsorption capacity.

ln(qe) was plotted verses ln(Ce) for the determination of KF by the value of the intercept. The value of nF was determined form the slope. The favourability of adsorption is indicated by $\frac{1}{n_F}$. When $\frac{1}{n_F}$ is between 0 and 1, adsorption is thought to be favourable; however, when $\frac{1}{n_F}$ is more than 1, especially at high adsorbate concentrations, adsorption is deemed inefficient. Adsorption is linear at low doses when $\frac{1}{n_F}$ = 1.

2.5 Desorption study

Using vacuum filtration, the custard apple leaves (0.5 mg/L) used for the colorant solution's adsorption were separated for the desorption assessment. The depleted adsorbent was subjected to either solitary or combined treatment in an acidic and basic medium. Acidic or basic media were created using solutions of 0.1 M HCl or 0.1 M NaOH respectively. The adsorbent was rinsed five times with distilled water to get rid of any remaining acid or base solution before the sample was dried for twenty-four hours at 80℃.

3. Results and Discussion

3.1 Effect of adsorbent amount

The Figure 2 illustrates how the amount of adsorbent affects the removal of colorant. For 0.1 gram of custard apple leaves, about 26% of the colorant was adsorbed; for 0.5 gram of adsorbent, 87% of the colorant was removed. An additional increase in the adsorbent dose has minimal impact on the removal percentage (almost 92% removal for 0.7 g dosage). Adsorption doses were used 0.1 to 0.8 g at 25℃ at pH: 7 for process of 60 minutes (Ci: 50 mg/L, volume of solution: 0.25L, S:180 rpm).

Figure 2. Effect of adsorbent amount

3.2 Effect of initial concentration and contact time

The impact of initial concentration (Ci) and contact time on the adsorption process was studied using different colourant concentrations: 25, 50, 100, and 150 mg/L. Figure 3 presents the relationship between colourant removal and contact time, demonstrating that adsorption occurred rapidly within the first 20 minutes. Initial concentrations were used at 25℃ for process of 0-120 minutes. (Mads: 0.5 g, volume of solution: 0.25 L, S: 180 rpm).

Figure 3. Effect of initial concentration and time

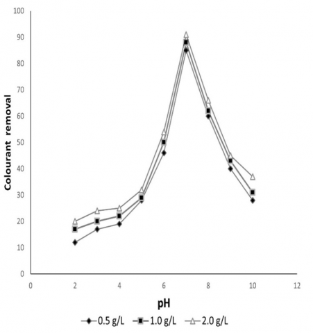
3.3 Effect of pH of solution

Figure 4 illustrates the effect of pH on colorant removal. Adsorption tests were performed over a 60-minute period across a pH range of 2 to 10, using adsorbent doses (0.5, 1.0, and 2.0 g/L) and initial colorant concentration of 50 mg/L. The percentage of colorant removal increased with higher pH levels, reaching its maximum (85%, 88%, and 91% for adsorbent amounts of 0.5, 1.0, and 2.0 g respectively) around pH 7.0. However, beyond this point, the efficiency of adsorption began to decline as pH continued to rise. At a stirring speed of 180 rpm, the process was carried out at temperature of 25℃ (T). (solution volume of 0.25 L). The maximum adsorption is observed at pH almost 7.0. In acidic medium, H+ ions neutralize colourants, while OH ions neutralise colourants in basic medium.

Figure 4. Effect of pH

3.4 Adsorption isotherms

For the adsorption of SADBS onto the custard apple leaves, the SADBS-custard apple leaves mixture was stirred magnetically for 1 hour at a speed of 180 rpm. Isotherm studies were performed using concentrations ranging from 25 to 200 mg/L, with 0.5 g of custard apple leaves, a pH of around 7, and a temperature of 25℃. Following the same method used in the adsorption study, the percentage of colourant removal, the amount of colourant adsorbed, and the equilibrium concentration values were measured. Langmuir isotherm model is shown in Figure 5 (The adsorption was performed with Mads of 0.5 g, initial concentrations (Ci) ranging from 25 to 200 mg/L, a contact time of 1 hour, at a stirring speed of 180 rpm, a temperature of 25℃, pH 7, and a solution volume of 0.25 L).

Figure 5. Langmuir isotherm model

Freundlich isotherm model is shown in Figure 6 (The process was carried out with a 0.5 g, Mads at various initial concentrations of 25, 50, 75, 100, 150, and 200 mg/L, a contact time (t) of 1 hour, pH 7, a stirring speed of 180 rpm, a temperature of 25℃, and a solution volume of 0.25 L).

Figure 6. Freundlich adsorption model

The process of fitting experimental data to isotherm equations entails assessing how well the observed data agrees with the theoretical representations of adsorption behavior. This instance involved a comparison between the model's predictions and the experimental data in order to match the Freundlich and Langmuir isotherm models. Eq. (3) commonly expresses the Langmuir isotherm model, whereas Eq. (5) represents the Freundlich isotherm model. Both equations contain parameters that are found through fitting, and coefficient of determination (R²) is typically used to evaluate how well the fit was made. Higher R2 values in the Langmuir model than in the Freundlich model indicated a superior match to the adsorption data in the study. This suggests that the Langmuir model captures the data more precisely. Table 1 and Table 2 display the adsorption parameters that were obtained through the fitting procedure and their corresponding R2 values.

Table 1. Langmuir adsorption isotherm

$q_e$ (mg/g)

$K_L$ (L/mg)

R2

RL

28.4

0.24

0.9893

0.0204-0.1428

Table 2. Freundlich adsorption isotherm

$\frac{1}{n_F}$

$K_F$ (L/mg)

R2

0.24

1.96

0.9435

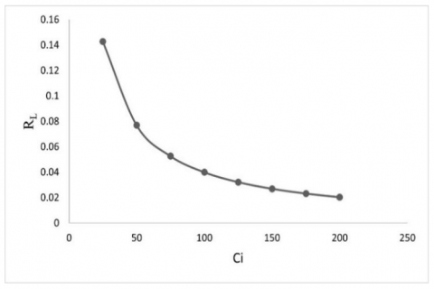
The better fit of the experimental data to the Langmuir model indicates about monolayer adsorption. In contrast, the lower R² values for the Freundlich isotherm model are attributed to its inherently nonlinear adsorption behavior. To assess the favorability of colorant adsorption onto custard apple leaves using the Langmuir model, Initial concentrations of colourant were used: 25, 50, 75, 100, 150 and 200 mg/L at 25℃ (Mads: 0.5 g, t: 60 min, S: 180 rpm, pH: 7, volume of solution: 0.25 L). The separation factor (RL) was plotted against the initial concentration (Ci), as shown in Figure 7. The maximum RL value of 0.143 was observed at 25 mg/L, decreasing to 0.02 at 200 mg/L. Across all the concentrations, the RL values consistently suggest favorable adsorption. Likewise, the Freundlich isotherm model also supports favorable colorant adsorption, as indicated by a $\frac{1}{n_F}$ value of less than 1. Overall, the Langmuir model provided a healthier fit to the experimental data, confirming that the adsorption process followed a monolayer mechanism, typically linked with a favorable adsorption [19, 20].

Figure 7. Separation factor (RL) against Ci

4. Conclusion

The study indicates that custard apple leaves exhibit significant adsorption capabilities for colorant (SADBS) from water. Furthermore, approximately 92% of the custard apple leaves can be recovered through subsequent acid and base treatments, allowing for their reuse in further colorant adsorption processes. The Langmuir isotherm model provided a good fit to the experimental adsorption data. In summary, custard apple leaves present a promising natural adsorbent for colourant removal, offering advantages such as environmental friendliness, renewability, and potential cost-effectiveness. However, optimizing conditions and understanding the specific colourant-adsorbent interactions are crucial for maximizing their efficacy in wastewater treatment and colourant removal applications.

Custard apple Leaves as adsorbent is a cost-effective solution for enterprises aiming to save treatment costs because they are frequently available as agricultural or urban trash. This is especially advantageous for enterprises in areas with a high plant population.

There are a lot of room for innovation in the still-emerging field of adsorption using natural materials like custard apple leaves. The development of novel methods for improving the efficiency of leaf-based adsorbents through industry-research collaboration could result in ground-breaking discoveries.

  References

[1] Poots, V.J.P., McKay, G., Healy, J.J. (1976). The removal of acid dye from effluent using natural adsorbents—I peat. Water Research, 10(12): 1061-1066. https://doi.org/10.1016/0043-1354(76)90036-1

[2] Lemos, E.S., Fiorentini, E.F., Bonilla-Petriciolet, A., Escudero, L.B. (2023). Malachite green removal by grape stalks biosorption from natural waters and effluents. Adsorption Science & Technology, 2023: 6695937. https://doi.org/10.1155/2023/6695937

[3] Giles, C.H., MacEwan, T.H., Nakhva, S.N., Smith, D. (1960). Studies in adsorption. Part XI. A system of classification of solution adsorption isotherms and its use in diagnosis of adsorption mechanisms and in measurement of specific surface areas of solids. Journal of the Chemical Society, 111: 3973-3993. https://doi.org/10.1039/jr9600003973

[4] Annadurai, G., Juang, R.S., Lee, D.J. (2002). Use of cellulose-based wastes for adsorption of dyes from aqueous solutions. Journal of Hazardous Materials, 92(3): 263-274. https://doi.org/10.1016/S0304-3894(02)00017-1

[5] Abdel-Aziz, M.H., El-Ashtoukhy, E.Z., Bassyouni, M., Al-Hossainy, A.F., Fawzy, E.M., Abdel-Hamid, S.M., Zoromba, M.S. (2021). DFT and experimental study on adsorption of dyes on activated carbon prepared from apple leaves. Carbon Letters, 31: 863-878. https://doi.org/10.1007/s42823-020-00187-1

[6] Dhaif-Allah, M.A., Taqui, S.N., Syed, U.T., Syed, A.A. (2020). Kinetic and isotherm modeling for acid blue 113 dye adsorption onto low-cost nutraceutical industrial fenugreek seed spent. Applied Water Science, 10: 1-16. https://doi.org/10.1007/s13201-020-1141-3

[7] Mohamed, G.M., Rashwan, W.E.E., El-Nabarawy, T., El-Hendawy, A.N. (2021). Removal of basic dyes from aqueous solution onto H2SO4-modified rice husk. Egyptian Journal of Chemistry, 64(1): 143-155. http://doi.org/10.21608/ejchem.2020.39613.2807

[8] Farhadi, A., Ameri, A., Tamjidi S. (2021). Application of agricultural wastes as a low-cost adsorbent for removal of heavy metals and dyes from wastewater: A review study. Physical Chemistry Research, 9(2): 211-226. https://doi.org/10.22036/pcr.2021.256683.1852

[9] El-Baz, A.A., Hendy, I.A., Dohdoh, A.M., Srour, M.I. (2020). Adsorption technique for pollutants removal; current new trends and future challenges – A review. The Egyptian International Journal of Engineering Sciences and Technology, 32: 1-24. http://doi.org/10.21608/eijest.2020.45536.1015

[10] Pamula, A.S.P., Hung, Y.T., Paul, H.H. (2021). Utilization of agro-based adsorbents in binary wastewater treatment. Journal of Environmental Science and Pollution Research, 7(1): 451-454. https://doi.org/10.30799/jespr.213.21070103

[11] Assila, O., Tanji, K., Zouheir, M., Arrahli, A., Nahali, L., Zerrouq, F., Kherbeche, A. (2020). Adsorption studies on the removal of textile effluent over two natural eco-friendly adsorbents. Journal of Chemistry, 2020(1): 1-13. https://doi.org/10.1155/2020/6457825

[12] Langmuir, I. (1918). The adsorption of gases on plane surface of glass, mica and platinum. Journal of the American Chemical Society, 40(9): 1361-1403. http://doi.org/10.1021/ja02242a004 

[13] Heraldy, E., Hidayat, Y., Firdaus, M. (2016). The Langmuir isotherm adsorption equation: The monolayer approach. IOP Conference Series: Materials Science and Engineering, 107(1): 012067. http://doi.org/10.1088/1757-899X/107/1/012067

[14] Chiou, M.S., Li, H.Y. (2002). Equilibrium and kinetic modeling of adsorption of reactive dye on cross-linked chitosan beads. Journal of Hazardous Materials, 93(2): 233-248. https://doi.org/10.1016/S0304-3894(02)00030-4

[15] Meroufel, B., Benali, O., Benyahia, M., Benmoussa, Y., Zenasni, M.A. (2013). Adsorptive removal of anionic dye from aqueous solutions by Algerian kaolin: Characteristics, isotherm, kinetic and thermodynamic studies. Journal of Materials and Environmental Sciences, 4(3): 482-491. 

[16] Freundlich, H., Heller, W. (1939). The adsorption of cis- and trans-azobenzene. Journal of the American Chemical Society, 61(8): 2228-2230. https://doi.org/10.1021/ja01877a071

[17] Ayawei, N., Ebelegi, A.N., Wankasi, D. (2017). Modelling and interpretation of adsorption isotherms. Journal of Chemistry, 2017(1): 3039817. https://doi.org/10.1155/2017/3039817

[18] Kinniburgh, D.G. (1986). General purpose adsorption isotherms. Environmental Science & Technology, 20(9): 895-904. https://doi.org/10.1021/es00151a008

[19] Dada, A.O., Lekan, A.P, Olatunya, A.M., Dada, O. (2012). Langmuir, Freundlich, Temkin and Dubinin-Radushkevich isotherms studies of equilibrium sorption of Zn2+ unto phosphoric acid modified rice husk. IOSR Journal of Applied Chemistry, 3(1): 38-45. http://doi.org/10.9790/5736-0313845

[20] Filipkowska, U., Klimiuk, E., Grabowski, S., Siedlecka, E. (2002). Adsorption of reactive dyes by modified chitin from aqueous solutions. Polish Journal of Environmental Studies, 11(4): 315-323.